TEORÍA GENERAL DE LA OCUPACIÓN, EL INTERÉS Y EL DINERO

1936

JOHN MAYNARD KEYNES

(1883-1946)

PDF

ÍNDICE

Libro I. INTRODUCCIÓN

1. La teoría general

2. Los postulados de la economía clásica

3. El principio de la demanda efectiva

Libro II. DEFINICIONES E IDEAS

4. La elección de unidades

5. La expectativa como elemento determinante de la producción y la ocupación

6. La definición de ingreso, ahorro e inversión

Apéndice: Sobre el costo de uso

7. El significado de ahorro e inversión más ampliamente considerado

Libro III. LA PROPENSIÓN A CONSUMIR

8. La propensión a consumir: I. Los factores objetivos

9. La propensión a consumir: II. Los factores subjetivos

10. La propensión marginal a consumir y el multiplicador

Libro IV. EL INCENTIVO PARA INVERTIR

11. La eficiencia marginal del capital

12. El estado de las expectativas a largo plazo

13. La teoría general de la tasa de interés

14. La teoría clásica de la tasa de interés

14b. Apéndice: Sobre la tasa de interés en los “Principles of Economics” de Marshall, Ricardo y en otras obras

15. Los incentivos psicológicos y de negocios para la liquidez

16. Observaciones especiales sobre la naturaleza del capital

17. Las propiedades esenciales del interés y el dinero

18. Nuevo planteamiento de la teoría general de la ocupación

Libro V. SALARIOS NOMINALES Y PRECIOS

19. Modificaciones en los salarios nominales

19.B. Apéndice: La “Teoría de la desocupación” del profesor Pigou

20. La función de la ocupación

21. La teoría de los precios

Libro VI. BREVES CONSIDERACIONES SUGERIDAS POR LA TEORÍA GENERAL

22. Notas sobre el ciclo económico

23. Notas sobre el mercantilismo, las leyes sobre la usura, el dinero sellado y las teorías del subconsumo

24. Notas finales sobre la filosofía social a que podría conducir la teoría general

APÉNDICES

Apéndice I. “Erratas de la primera edición”

Apéndice II. “Fluctuaciones de la inversión neta en Estados Unidos”

Apéndice III. “Movimientos relativos de los salarios y la producción reales”

NOTAS

 


 *

LIBRO I INTRODUCCIÓN

CAPÍTULO 1

LA TEORÍA GENERAL

 

HE LLAMADO A ESTE LIBRO Teoría general de la ocupación, el interés y el dinero, recalcando el sufijo general, con objeto de que el título sirva para contrastar mis argumentos y conclusiones con los de la teoría clásica,[1]en que me eduqué y que domina el pensamiento económico, tanto práctico como teórico, de los académicos y gobernantes de esta generación, igual que lo ha dominado durante los últimos cien años. Sostendré que los postulados de la teoría clásica sólo son aplicables a un caso especial, y no en general, porque las condiciones que supone son un caso extremo de todas las posiciones posibles de equilibrio. Más aún, las características del caso especial supuesto por la teoría clásica no son las de la sociedad económica en que hoy vivimos, razón por la que sus enseñanzas engañan y son desastrosas si intentamos aplicarlas a los hechos reales.

 


 * 

CAPÍTULO 2

LOS POSTULADOS DE LA ECONOMÍA CLÁSICA

LA MAYORÍA DE LOS TRATADOS SOBRE LA TEORÍA DEL VALOR y de la producción se refieren, en primer término, a la distribución de un volumen dado de recursos empleados en diferentes usos, y a las condiciones que, supuesta la ocupación de esta cantidad de recursos, determinen sus remuneraciones relativas y los valores relativos de sus productos. [2]

También se ha sujetado con frecuencia a un procedimiento descriptivo lo relativo al monto de los recursos disponibles (entendiendo por tales la magnitud de población susceptible de tomar empleo), los límites de la riqueza natural y el equipo de producción acumulado; pero rara vez se ha examinado detenidamente en la teoría pura, la explicación de lo que determina la ocupación real de los recursos disponibles. Decir que no se ha considerado en absoluto sería absurdo, por supuesto; porque todo estudio sobre los altibajos de la ocupación, que han sido muchos, ha tenido que ver con el tema. No quiero decir que se haya pasado por alto, sino que la teoría fundamental en que descansa se ha creído tan sencilla y evidente que casi no había para qué mencionarla.[3]

I

A mi modo de ver, la teoría clásica de la ocupación —que se supone sencilla y fácil— descansa en dos postulados fundamentales, que casi no se han discutido y son los siguientes

I. El salario es igual al producto marginal del trabajo

Esto es, el salario de una persona ocupada es igual al valor que se perdería si la ocupación se redujera en una unidad (después de deducir cualquier otro costo que se evitara con esta reducción de la producción), sujeto, sin embargo, al requisito de que la igualdad puede ser perturbada, de acuerdo con ciertos principios, si la competencia y los mercados son imperfectos.

II. La utilidad del salario, cuando se usa determinado volumen de trabajo, es igual a la desutilidad marginal de ese mismo volumen de ocupación.

Esto es, el salario real de una persona ocupada es el que basta precisamente (según la opinión de ésta) para provocar la ocupación del volumen de mano de obra realmente ocupado, quedando esto sujeto a la condición de que la igualdad para cada unidad individual de trabajo (ecuación entre la utilidad del salario real y la desutilidad del trabajo) puede alterarse por combinaciones entre las unidades disponibles, de modo semejante a como las imperfecciones de la competencia condicionan el primer postulado. Por desutilidad* debe entenderse cualquier motivo que induzca a un hombre o a un grupo de hombres a abstenerse de trabajar antes que aceptar un salario que represente para ellos una utilidad inferior a cierto límite.

Este postulado es compatible con lo que podría llamarse desocupación “friccional”, porque una interpretación realista del mismo admite legítimamente varios desajustes que se oponen a un estado de ocupación total continua; por ejemplo, la desocupación debida a un desequilibrio temporal de las cantidades relativas de recursos especializados, a causa de cálculos erróneos o de intermitencias en la demanda; o bien de retardos debidos a cambios imprevistos o a que la transferencia de hombres de una ocupación a otra no pueda efectuarse sin cierta dilación; de manera que en una sociedad dinámica siempre habrá algunos recursos no empleados por hallarse “entre oficios sucesivos” (between jobs). El postulado es también compatible, además de con la desocupación “friccional”, con la desocupación “voluntaria” que resulta de la negativa o incapacidad de una unidad de trabajo para aceptar una remuneración correspondiente al valor del producto atribuible a su productividad marginal, a causa de la legislación o las prácticas sociales, del agrupamiento para la contratación colectiva, de la lentitud para adaptarse a los cambios económicos, o simplemente a consecuencia de la obstinación humana. Pero estas dos categorías “friccional” y “voluntaria” agotan la desocupación: los postulados clásicos no admiten la posibilidad de una tercera, que definiré como “involuntaria”.

Hechas estas salvedades, el volumen de recursos ocupados está claramente determinado, conforme a la teoría clásica, por los dos postulados. El primero nos da la curva de demanda de ocupación y el segundo la de oferta; el volumen de ocupación se fija donde la utilidad marginal del producto compensa la desutilidad de la ocupación marginal.

De esto se deduciría que sólo hay cuatro posibilidades de aumentar la ocupación:

a) un mejoramiento en la organización o en la previsión, que disminuya la desocupación “friccional”;

b) una reducción de la desutilidad marginal del trabajo, expresada por el salario real para el que todavía existe trabajo disponible, de manera que baje la desocupación “voluntaria”;

c) un aumento de la productividad marginal física del trabajo en las industrias que producen artículos para asalariados* (para usar el término adecuado del profesor Pigou aplicable a los artículos de cuyo precio depende la utilidad del salario nominal); o

d) un aumento en el precio de los artículos para no-asalariados, relativamente al de los que sí lo son; acompañado por un desplazamiento de los gastos de quienes no ganan salarios, de los artículos para asalariados a los otros artículos.

Ésta es, según mi leal saber y entender, la esencia de la Teoría de la desocupación del profesor Pigou —la única descripción detallada que existe de la teoría clásica de la ocupación. [4]

II

¿Es cierto que las categorías anteriores son omnicomprensivas debido a que la población rara vez desarrolla la cantidad de trabajo que desearía con el salario corriente? Porque debe reconocerse que, por regla general, si se solicitara, se contaría con más mano de obra al nivel existente de salario nominal. [5]

La escuela clásica reconcilia este fenómeno con su segundo postulado aduciendo que, mientras la demanda de mano de obra al nivel existente de salario nominal puede satisfacerse antes de que todos los que deseen trabajar con estos salarios estén ocupados, tal situación se debe a un acuerdo tácito o expreso entre los trabajadores para no trabajar por menos, y que si todos los trabajadores admitieran una reducción de los salarios nominales aumentaría la ocupación. De ser así, tal desocupación, aunque aparentemente involuntaria, no lo sería en sentido estricto, y debería incluirse en la clase de la desocupación “voluntaria”, causada por los efectos de la contratación colectiva, etc.

Esto exige dos observaciones, la primera de las cuales, que se refiere a la actitud de los trabajadores hacia los salarios reales y a los nominales, respectivamente, no es teóricamente fundamental, pero la segunda sí lo es.

Supongamos, por el momento, que los obreros no están dispuestos a trabajar por un salario nominal menor y que una reducción del nivel existente de salarios nominales conduciría, mediante huelgas o por cualquier otro medio, a que parte de la mano de obra realmente ocupada se retirara del mercado. ¿Se deduce de esto que el nivel presente de salarios reales mide con precisión la desutilidad marginal del trabajo? No necesariamente; porque aunque una reducción en el nivel existente de salarios nominales ocasionara retiro de trabajo, no se desprende de ello que una baja en el valor del salario nominal, medido en artículos para asalariados, produciría el mismo resultado si fuera debida a un alza en el precio de las mercancías respectivas. En otras palabras, puede suceder que, dentro de ciertos límites, lo que los obreros reclaman sea un mínimo de salario nominal y no de salario real. La escuela clásica ha supuesto tácitamente que esto no significa una variación importante en su teoría; pero no es así, porque si la oferta de mano de obra no es función del salario real como su única variable, su argumento se derrumba enteramente y deja el problema de cuanta ocupación habrá muy indeterminada. [6]

Los autores de esta escuela no parecen haberse dado cuenta de que su curva de oferta de mano de obra se desplazará con cada movimiento de los precios, a menos que tal oferta sea función dependiente sólo del salario real. De este modo, su método está supeditado a sus particulares suposiciones y no puede adaptarse para examinar el caso más general.

Ahora bien, la experiencia diaria nos dice, sin dejar lugar a duda, que, lejos de ser mera posibilidad aquella situación en que los trabajadores estipulan (dentro de ciertos límites) un salario nominal y no real, es el caso normal. Si bien los trabajadores suelen resistirse a una reducción de su salario nominal, no acostumbran abandonar el trabajo cuando suben los precios de las mercancías para asalariados. Se dice algunas veces que sería ilógico por parte de la mano de obra resistir a una rebaja del salario nominal y no a otra del salario real. Por razones que damos más adelante (p. 46), y afortunadamente, como veremos después, esto puede no estar tan falto de lógica como parece a primera vista; pero lógica o ilógica, ésta es la conducta real de los obreros.

Más aún, el aserto de que la falta de ocupación que caracteriza una depresión se debe a la negativa de los obreros a aceptar una rebaja en el salario nominal, no se apoya en hechos. No es muy exacto decir que la desocupación en Estados Unidos en 1932 se debió a la obstinada negativa del trabajo a aceptar una rebaja en los salarios nominales o a la tenaz demanda de un salario real superior al que consentía la productividad del sistema económico. Son amplias las variaciones que sufre el volumen de ocupación sin que haya ningún cambio aparente en las exigencias mínimas reales de los obreros ni en su productividad. Los obreros no son —ni mucho menos— más obstinados en la depresión que en el auge, ni flaquea su productividad física. Estos hechos de la experiencia son, prima facie, un motivo para poner en tela de juicio la propiedad del análisis clásico.

Sería interesante observar los resultados de una investigación estadística acerca de las verdaderas relaciones entre los cambios del salario nominal y los del real. En el caso de una modificación privativa de una industria dada uno podría esperar que el cambio en los salarios reales ocurriera en el mismo sentido que en los nominales; pero cuando hay alteraciones en el nivel general de los salarios, se encontrará, según creo, que la modificación de los reales que va unida a la de los nominales, lejos de presentarse normalmente en el mismo sentido, ocurrirá casi siempre en el contrario. Es decir, que cuando los salarios nominales se elevan, los salarios reales bajan: y que cuando aquéllos descienden, éstos suben. Tal cosa se debe a que, en periodo corto, los salarios nominales descendentes y los reales ascendentes son cada uno de ellos por razones privativas, fenómenos ligados a la baja de la ocupación, pues aunque los obreros están más dispuestos a aceptar reducciones en su remuneración al bajar el empleo, los salarios reales suben inevitablemente, en las mismas circunstancias, debido al mayor rendimiento marginal de un determinado equipo de capital, cuando la producción disminuye.

Si efectivamente fuera cierto que el salario real existente es un mínimo por debajo del cual no pudiera contarse en cualquier circunstancia con más trabajo que el empleado en la actualidad, no existiría la desocupación involuntaria, aparte de la “friccional”. Sin embargo, sería absurdo suponer que siempre es así, porque generalmente hay más mano de obra disponible que la ahora empleada al salario nominal vigente, aun cuando el precio de las mercancías para asalariados esté subiendo y, en consecuencia, el salario real bajando. Si esto es verdad, la equivalencia de tales mercancías con el salario nominal existente no es una indicación precisa de la desutilidad marginal del trabajo, y el segundo postulado no es válido.

Hay otra objeción más importante. El segundo postulado parte de la idea de que los salarios reales de los trabajadores dependen de los contratos que éstos celebran con los empresarios. Se admite, por supuesto, que esos convenios se realizan de hecho en términos monetarios e incluso que los salarios reales aceptables por los obreros no son enteramente independientes del correspondiente salario nominal. Sin embargo, se toma este salario nominal, al que se ha llegado por dicho procedimiento, para determinar el real. De este modo la teoría clásica supone que los obreros tienen siempre la posibilidad de reducir su salario real, aceptando una rebaja en el nominal. El postulado de que el salario real tiende a igualarse con la desutilidad marginal del trabajo, claramente supone que los obreros están en posición de fijar por sí mismos su salario real, aunque no el volumen de ocupación que de él se deriva.

La teoría tradicional sostiene, en pocas palabras, que los convenios sobre salarios entre empresarios y trabajadores determinan el salario real, de manera que, suponiendo la libre competencia entre los patrones y ninguna combinación restrictiva entre los trabajadores, éstos pueden, si lo desean, hacer coincidir sus salarios reales con la desutilidad marginal del trabajo resultante del empleo ofrecido por los empresarios con dicho salario. De no ser cierto esto, no queda razón alguna para esperar que exista tendencia a la igualdad entre el salario real y la desutilidad marginal del trabajo.

No debe olvidarse que las conclusiones clásicas pretenden ser aplicables al trabajo en su totalidad y no quiere decir simplemente que un individuo aislado pueda obtener empleo aceptando una reducción de su salario nominal que sus compañeros rehúsan. Se suponen aplicables lo mismo a un sistema cerrado que a otro abierto* y no dependen de las características de un sistema abierto, ni de los efectos de una reducción de los salarios nominales en un solo país sobre su comercio exterior, que está, por supuesto, completamente fuera del campo de este estudio. Tampoco se basan en las consecuencias indirectas de ciertas reacciones que una reducción de las nóminas de salarios en términos monetarios ejerce sobre el sistema bancario y el estado del crédito, efectos que examinaremos detalladamente en el capítulo 19. Las conclusiones se basan en la creencia de que, en un sistema cerrado, una reducción en el nivel general de los salarios nominales irá acompañada, al menos en periodos cortos, y sujeta sólo a salvedades de poca monta, por cierta reducción de los salarios reales, que no siempre es proporcional.

Ahora bien, el supuesto de que el nivel general de los salarios reales depende de los convenios entre empresarios y trabajadores sobre la base de salarios nominales, no es cierto de manera evidente. En realidad, es extraño que se hayan hecho tan frágiles intentos para demostrarlo o refutarlo, porque está muy lejos de concordar con el sentido general de la teoría clásica, la cual nos ha enseñado a creer que los precios están determinados por el costo primo marginal, medido en dinero, y que los salarios nominales influyen sustancialmente en dicho costo. De este modo, si los salarios nominales cambian, debería esperarse que la escuela clásica sostuviera que los precios cambiarían casi en la misma proporción, dejando el nivel de los salarios reales y el de la desocupación prácticamente lo mismo que antes, explicando que cualquier pequeña ganancia o pérdida del trabajo, se efectuaría a expensas de las ganancias o de otros elementos del costo marginal, que no han sido tocados. [7]

Parece ser, sin embargo, que los clásicos se han desviado de este punto de vista, en parte a causa de su arraigada convicción de que los obreros están en posibilidad de fijar su propio salario real, y en parte, quizá, por la preocupación de que los precios dependen de la cantidad de dinero. La creencia en el principio de que los obreros están siempre en posibilidad de poder determinar su propio salario real, una vez aceptada, se ha sostenido porque se confunde con la afirmación de que tienen siempre a su disposición los medios para fijar qué salario real corresponderá a la ocupación plena, es decir, al volumen máximo de ocupación compatible con un salario real dado.

Para resumir: existen dos objeciones contra el segundo postulado de la teoría clásica. La primera hace relación a la conducta real de los obreros; una baja en los salarios reales debida a un alza de los precios, permaneciendo iguales los nominales, no produce, por regla general, una disminución de la oferta de mano de obra disponible al nivel del salario corriente, por debajo del volumen de ocupación anterior al alza de los precios. Suponer lo contrario equivale a admitir que todos aquellos que por el momento están sin ocupación, aunque deseosos de trabajar al salario corriente, retirarán su oferta de trabajo si el costo de la vida se eleva un poco. A pesar de todo, esta extraña hipótesis parece servir de base a la Theory of Unemployment del profesor Pigou y es la que todos los miembros de la escuela ortodoxa admiten tácitamente. [8]

La otra y más importante objeción que desarrollaremos en los capítulos siguientes surge de nuestra inconformidad con el supuesto de que el nivel general de los salarios reales está directamente determinado por el carácter de los convenios sobre salarios. Al suponer tal cosa, la escuela clásica resbaló, cayendo en una hipótesis ilícita; porque los obreros en su conjunto pueden no disponer de un medio que les permita hacer coincidir el equivalente del nivel general de los salarios nominales en artículos para asalariados, con la desutilidad marginal del volumen de ocupación existente. Es posible que no exista un procedimiento para que los trabajadores puedan reducir su salario real a una cantidad determinada, revisando los convenios monetarios con los empresarios. Éste será nuestro caballo de batalla y trataremos de demostrar que, en primer término, son ciertas fuerzas, distintas, las que determinan el nivel general de los salarios reales. El esfuerzo por dilucidar este problema será una de nuestras mayores preocupaciones. Vamos a sostener que ha existido una confusión fundamental de la forma en que opera en realidad a este respecto la economía en que vivimos

III

Aunque a menudo se cree que la lucha por los salarios monetarios entre individuos y grupos determina el nivel general de los salarios reales, de hecho tiene otra finalidad. Desde el momento que existe movilidad imperfecta del trabajo y que los salarios no tienden a producir igualdad precisa de ventajas netas para diferentes ocupaciones, cualquier individuo o grupo de individuos que consienta una reducción de sus salarios nominales en relación con otros, sufrirá una disminución relativa de sus salarios reales, cosa que basta para justificar su resistencia a ella. Por el contrario, sería impracticable oponerse a toda reducción de los salarios reales debida a un cambio en el poder adquisitivo del dinero, que afecta a todos los trabajadores por igual; y, de hecho, por lo general no se opone resistencia a esta clase de fenómenos, a menos que sean extremos. Más aún, la oposición a las reducciones en los salarios nominales, aplicada a determinadas industrias, no levanta la misma barrera insuperable a un aumento en la ocupación global que resultaría de una oposición parecida a toda disminución de los salarios reales.

En otras palabras, la lucha en torno a los salarios nominales afecta primordialmente a la distribución del monto total de salarios reales entre los diferentes grupos de trabajadores y no a su promedio por unidad de ocupación, que depende, como veremos de un conjunto de fuerzas diferentes. El efecto de la unión de un grupo de trabajadores consiste en proteger su salario real relativo. El nivel general de los salarios reales depende de otras fuerzas del sistema económico.

Así, tenemos la suerte de que los trabajadores, bien que inconscientemente, son por instinto economistas más razonables que la escuela clásica en la medida en que se resisten a permitir reducciones de sus salarios nominales, que nunca o rara vez son de carácter general, aun cuando el equivalente real existente de estos salarios exceda de la desutilidad marginal del volumen de ocupación correspondiente. Lo mismo que cuando, por otra parte, no se oponen a las disminuciones del salario real que acompañan a los aumentos en el volumen total de ocupación sin modificar los salarios nominales, a menos que lleguen al extremo de amenazar con una reducción del salario real por debajo de la desutilidad marginal del volumen existente de ocupación. Todo sindicato opondrá cierta resistencia a una reducción de los salarios nominales, sin importar lo pequeña que sea; pero como ninguno pensaría en declarar una huelga cada vez que aumente el costo de la vida, no presentan obstáculos a un aumento en el volumen total de ocupación, como lo pretende la escuela clásica.

IV

Debemos definir ahora la tercera clase de desocupación, la llamada “involuntaria” en sentido estricto, cuya posibilidad de existencia no admite la teoría clásica. Adviértase que por desocupación “involuntaria” no queremos decir la mera existencia de una capacidad no agotada de trabajo. Una jornada de ocho horas no significa desocupación aunque no esté más allá de la capacidad humana el trabajar diez; ni tampoco consideraríamos como desocupación “involuntaria” el abandono del trabajo por un grupo de obreros porque les parezca mejor no trabajar que admitir menos de cierta remuneración real. Más aún, será conveniente eliminar la desocupación “friccional” de nuestra definición de desocupación “involuntaria”, la cual queda, por tanto, como sigue:

los hombres se encuentran involuntariamente sin empleo cuando, en el caso de que se produzca una pequeña alza en el precio de los artículos para asalariados, en relación con el salario nominal, tanto la oferta agregada de mano de obra dispuesta a trabajar por el salario nominal corriente como la demanda agregada de la misma a dicho salario son mayores que el volumen de ocupación existente.

En el capítulo siguiente daremos otra definición que, sin embargo, equivale a lo mismo.

De esta definición se deduce que la igualdad entre el salario real y la desutilidad marginal de la ocupación, presupuesta por el segundo postulado, interpretado de modo realista, corresponde a la ausencia de la desocupación “involuntaria”. Describiremos este estado de cosas como ocupación “plena”, con la que son compatibles tanto la desocupación “debida a resistencias” como la “voluntaria”. Esto está de acuerdo, como veremos, con otras características de la escuela clásica, que más bien se considera como una teoría de la distribución en condiciones de ocupación plena. En la medida en que los postulados clásicos sean válidos, la desocupación, que en el sentido anterior es involuntaria, no puede existir. La desocupación aparente debe, en consecuencia, ser resultado de una pérdida temporal del trabajo del tipo de “cambio de un trabajo a otro” o de una demanda intermitente de factores altamente especializados, o del efecto de la cláusula de inclusión de un sindicato sobre la ocupación libre. Por eso los escritores que siguen la tradición clásica, pasando por alto el supuesto especial que cimienta su teoría, han llegado inevitablemente a la conclusión, perfectamente lógica de acuerdo con su hipótesis, de que la desocupación visible (salvo las excepciones admitidas) tiene que ser consecuencia, a fin de cuentas, de que los factores no empleados se nieguen a aceptar una remuneración que corresponda a su productividad marginal. Un economista clásico puede simpatizar con el obrero cuando éste se niega a aceptar una reducción de su salario monetario, y admitirá que puede no ser inteligente obligarle a sujetarse a condiciones transitorias; pero la integridad científica lo fuerza a declarar que esta negativa es, a pesar de todo, el motivo último de la dificultad.

Evidentemente, sin embargo, si la teoría clásica es aplicable sólo al caso de la ocupación plena, es una falacia aplicarla a los problemas de la desocupación involuntaria —si tal cosa existe (¿quién lo negará?)—. Los teóricos clásicos se asemejan a los geómetras euclidianos en un mundo no euclidiano que, al descubrir que en la realidad las líneas aparentemente paralelas se encuentran con frecuencia, las critican por no conservarse derechas —como único remedio para los desafortunados tropiezos que ocurren—. No obstante, en verdad, no hay más remedio que tirar por la borda el axioma de las paralelas y elaborar una geometría no euclidiana. Hoy la economía exige algo semejante; necesitamos desechar el segundo postulado de la doctrina clásica y elaborar la teoría del comportamiento de un sistema en el cual sea posible la desocupación involuntaria en su sentido riguroso.

V

Al recalcar nuestro punto de partida, divergente del sistema clásico, no debemos olvidar una concordancia importante; porque mantendremos el primer postulado como hasta aquí, sujeto únicamente a las mismas correcciones hechas a la teoría clásica, y debemos detenernos un momento a considerar lo que entraña.

Quiere decir que con una determinada organización, equipo y técnica, los salarios reales y el volumen de producción (y por consiguiente de empleo) están relacionados en una sola forma, de tal manera que, en términos generales, un aumento de la ocupación sólo puede ocurrir acompañada de un descenso en la tasa de salarios reales. Así, pues, no discuto este hecho vital que los economistas clásicos han considerado (con razón) como irrevocable. En un estado conocido de organización, equipo y técnica, el salario real que gana una unidad de trabajo tiene una correlación única (inversa) con el volumen de ocupación. Por eso, si esta última aumenta, entonces, en periodos cortos, la remuneración por unidad de trabajo, medida en mercancías para salariados, debe, por lo general, descender y las ganancias elevarse.[9]

Éste es simplemente el anverso de la proposición familiar de que normalmente la industria trabaja en condiciones de rendimientos decrecientes en periodos cortos, durante los cuales se supone que permanecen constantes el equipo, etc., en tal forma que el producto marginal de las industrias de artículos para asalariados (que determinan el salario real) necesariamente se reduce a medida que crece la ocupación. Sin duda, en la medida que esta proposición sea válida, cualquier medio de aumentar la ocupación tiene que ocasionar al mismo tiempo una reducción del producto marginal y, en consecuencia, otra de la magnitud de los salarios, medida en dicho producto.

Pero una vez abandonado el segundo postulado, una baja de la ocupación, aunque necesariamente asociada con el hecho de que la mano de obra perciba un salario de valor igual a una cantidad mayor de bienes para asalariados, no se debe necesariamente a que la mano de obra demande mayor cantidad de tales bienes; y el que la mano de obra esté dispuesta a aceptar menores salarios nominales no es, por fuerza, un remedio a la desocupación. La teoría de los salarios en relación con el empleo, a que nos estamos refiriendo, no puede aclararse por entero hasta llegar al capítulo 19 y su apéndice.

VI

Desde los tiempos de Say y Ricardo los economistas clásicos han enseñado que la oferta crea su propia demanda —queriendo decir con esto de manera señalada, aunque no claramente definida, que el total de los costos de producción debe necesariamente gastarse por completo, directa o indirectamente, en comprar los productos.

En los Principles of Political Economy de J. S. Mill, la doctrina está expresamente expuesta:

Los medios de pago de los bienes son sencillamente otros bienes. Los medios de que dispone cada persona para pagar la producción de otras consisten en los bienes que posee. Todos los vendedores son, inevitablemente, y por el sentido mismo de la palabra, compradores. Si pudiéramos duplicar repentinamente las fuerzas productoras de un país, duplicaríamos por el mismo acto la oferta de bienes en todos los mercados; pero al mismo tiempo duplicaríamos el poder adquisitivo. Todos ejercerían una demanda y una oferta dobles; todos podrían comprar el doble, porque tendrían dos veces más que ofrecer en cambio. [10] .

Como corolario de la misma doctrina, se ha supuesto que cualquier acto individual de abstención de consumir conduce necesariamente a que el trabajo y los bienes retirados así de la provisión del consumo se inviertan en la producción de riqueza en forma de capital y equivale a lo mismo. El siguiente párrafo, de Pure Theory of Domestic Values, de Marshall ilustra el punto de vista tradicional. [11]

El ingreso total de una persona se gasta en la compra de bienes y servicios. Cierto que generalmente se dice que un hombre gasta parte de su ingreso y ahorra la otra; pero es un axioma económico muy conocido que el hombre compra trabajo y bienes con aquella parte de su ingreso que ahorra, del mismo modo que lo hace con la que gasta. Se dice que gasta cuando procura obtener satisfacción presente de los bienes y servicios que compra, y que ahorra cuando el trabajo y los bienes que compra los dedica a la producción de riqueza de la cual espera derivar medios de satisfacción en el futuro.

Es verdad que no sería fácil citar párrafos semejantes en los trabajos posteriores de Marshall o de Edgeworth o del profesor Pigou. [12]

En la actualidad la doctrina no se expone en forma tan cruda, pero, sin embargo, es el soporte de la teoría clásica en conjunto, ya que sin él ésta se derrumbaría. Los economistas contemporáneos, que podrían titubear en estar de acuerdo con Mill, no vacilan en aceptar conclusiones que requieren su doctrina como premisa. La versión moderna de la tradición clásica consiste en la convicción, frecuente, por ejemplo, en casi todos los trabajos del profesor Pigou, de que el dinero no trae consigo diferencias reales, excepto las propias de la fricción, y de que la teoría de la producción y la ocupación pueden elaborarse (como la de Mill) como si estuvieran basadas en los intercambios “reales”, y con el dinero introducido superficialmente en un capítulo posterior. El pensamiento contemporáneo está todavía profundamente impregnado de la noción de que si la gente no gasta su dinero en una forma lo gastará en otra. [13]

En verdad, los economistas de la posguerra rara vez logran sostener este punto de vista firmemente, porque su pensamiento de hoy está excesivamente permeado de la tendencia contraria y los hechos de la experiencia están obviamente en desacuerdo con su opinión anterior; pero no han sacado consecuencias de bastante alcance, ni han modificado su teoría fundamental.[14]

En primer lugar, estas conclusiones pueden haberse aplicado al tipo de economía en que vivimos actualmente por falsa analogía con alguna de trueque, como la de Robinsón Crusoe, en la cual los ingresos que los individuos consumen o retienen como resultado de su actividad productiva son, real y exclusivamente, la producción en especie resultante de dicha actividad. Pero, fuera de esto, la conclusión de que los costos de producción se cubren siempre en lo agregado con los productos de las ventas derivadas de la demanda, es muy aceptable, porque resulta difícil distinguirla de otra proposición semejante, que es indudable: la de que el ingreso agregado percibido por todos los elementos de la comunidad relacionados con una actividad productiva necesariamente tiene un valor igual al valor de la producción.

De manera semejante, es natural suponer que todo acto de un individuo que lo enriquece sin que aparentemente quite nada a algún otro debe también enriquecer a la comunidad en conjunto; de tal modo que (como en el párrafo de Marshall que se acaba de citar) un acto de ahorro individual conduce inevitablemente a otro paralelo, de inversión, porque, una vez más, es indudable que la suma de los incrementos netos de la riqueza de los individuos debe ser exactamente igual al total del incremento neto de riqueza de la comunidad.

Sin embargo, quienes piensan de este modo se engañan, como resultado de una ilusión óptica, que hace a dos actividades esencialmente diversas aparecer iguales. Caen en una falacia al suponer que existe un eslabón que liga las decisiones de abstenerse del consumo presente con las que proveen al consumo futuro, siendo así que los motivos que determinan las segundas no se relacionan en forma simple con los que determinan las primeras.

Por tanto, el supuesto de la igualdad entre el precio de demanda y el de oferta de la producción total es el que debe considerarse como el “axioma de las paralelas” de la teoría clásica. Esto admitido, todo lo demás se deduce fácilmente —las ventajas sociales de la frugalidad privada o nacional, la actitud tradicional hacia la tasa de interés, la teoría clásica de la desocupación, la teoría cuantitativa del dinero, las ventajas evidentes del laissez-faire con respecto al comercio exterior y muchas otras cosas que habremos de poner en tela de juicio

VII

En diversos lugares de este capítulo hemos hecho depender la teoría clásica, sucesivamente, de los siguientes supuestos:

1) Que el salario real es igual a la desutilidad marginal de la ocupación existente;

2) Que no existe eso que se llama desocupación involuntaria en sentido riguroso;

3) Que la oferta crea su propia demanda en el sentido de que el precio de la demanda agregada es igual al precio de la oferta agregada para cualquier nivel de producción y de ocupación.

Estos tres supuestos, no obstante, quieren decir lo mismo, en el sentido de que todos subsisten o se desploman juntos, pues cualquiera de ellos supone lógicamente a los otros dos.

 


 * 

CAPÍTULO 3

EL PRINCIPIO DE LA DEMANDA EFECTIVA

I

 ANTE TODO NECESITAMOS ADELANTAR EL SIGNIFICADO de algunos términos que serán definidos con precisión posteriormente. Cuando la técnica, los recursos y los costos corresponden a una situación determinada, el empleo de un volumen dado de mano de obra hace incurrir al empresario en dos clases de gastos: en primer lugar, las cantidades que paga a los factores de la producción (excluyendo a los otros empresarios) por sus servicios habituales, a los que denominaremos costo de factores del volumen de ocupación de que se trate; y en segundo lugar, las sumas que paga a otros empresarios por lo que les compra, juntamente con el sacrificio que hace al emplear su equipo en vez de dejarlo inactivo, a lo que llamaremos costo de uso del nivel de ocupación dado. [15]

El excedente de valor que da la producción resultante sobre la suma del costo de factores y el costo de uso es la ganancia, o, como lo llamaremos, el ingreso del empresario. Por supuesto, el costo de factores es lo mismo que lo que los factores de la producción consideran como su ingreso, pero desde el punto de vista del empresario. Así, el costo de factores y la ganancia del empresario, juntos, dan lo que definiremos como el ingreso total derivado del empleo proporcionado por el empresario. La ganancia del empresario así definida debe ser, y es, la cantidad que procura elevar al máximo cuando decide qué volumen de empleo ofrecerá. Conviene algunas veces, desde el punto de vista del empresario, llamar producto de la ocupación al ingreso global (es decir, costo de factores más ganancia) que resulta de un nivel de ese nivel de empleo. [16]

Por otra parte, el precio de la oferta agregada de la producción resultante de ese volumen determinado es precisamente la expectativa de los resultados que se espera obtener y que hará costeable a los empresarios conceder dicha ocupación. [17]

De esto se deduce que, dados la técnica, los recursos y el costo de factores por unidad de empleo, el monto de éste, tanto para cada firma individual como para la industria en conjunto, depende de las ganancias que los empresarios esperan recibir de la producción correspondiente[18] porque éstos se esforzarán por fijar el volumen de ocupación al nivel del cual esperan que aumente al máximo el excedente del importe de la producción sobre el costo de factores.

Sea Z el precio de oferta agregada de la producción resultante del empleo de N hombres, y la relación entre ambos símbolos Z = φ (N), que puede denominarse función de la oferta agregada.[19] Llamemos D al importe del producto que los empresarios esperan recibir con el empleo de N hombres, y a la relación correspondiente, D = f (N), a la que designaremos función de la demanda agregada.

Ahora bien, si para cierto valor de N el importe que se espera recibir es mayor que el precio de la oferta global, es decir, si D es mayor que Z, habrá un estímulo para los empresarios en el sentido de aumentar la ocupación por encima de N y, si es preciso, elevar los costos compitiendo entre sí por los factores de la producción, hasta el valor de N en que Z es igual a D. Así, el volumen de ocupación está determinado por la intersección de la función de la demanda agregada y la función de la oferta agregada, porque es en este punto donde las expectativas de ganancia del empresario alcanzan el máximo. El valor de D en el punto de intersección de la función de demanda agregada con la función de oferta agregada se denominará la demanda efectiva. Como ésta es la esencia de la teoría general de la ocupación, cuya exposición es el objeto que nos proponemos, los capítulos siguientes se ocuparán extensamente de examinar los varios factores de que dependen ambas funciones.

Por otra parte, la doctrina clásica, que se acostumbraba expresar categóricamente con el enunciado “la oferta crea su propia demanda” y el cual sigue siendo el sostén de toda la teoría ortodoxa, implica un supuesto especial respecto a la relación entre estas dos funciones; porque “la oferta crea su propia demanda” debe querer decir que f (N) y φ (N) son iguales para todos los valores de N, es decir, para cualquier nivel de producción y ocupación; y que cuando hay un aumento en Z (= φ (N)) correspondiente a otro en N, D (= f (N)) crece necesariamente en la misma cantidad que Z. La teoría clásica supone, en otras palabras, que el precio de la demanda agregada (o importe de las ventas) siempre se ajusta por sí mismo al precio de la oferta agregada, en tal forma que cualquiera que sea el valor de N, el producto D adquiere un valor igual al del precio de la oferta agregada Z que corresponde a N. Es decir, que la demanda efectiva, en vez de tener un valor de equilibrio único, es una serie infinita de valores, todos ellos igualmente admisibles, y que el volumen de ocupación es indeterminado, salvo en la medida en que la desutilidad marginal del trabajo marque un límite superior.

Si esto fuera cierto, la competencia entre los empresarios conduciría siempre a un aumento de la ocupación hasta el punto en que la oferta en conjunto cesara de ser elástica, es decir, cuando un nuevo aumento en el valor de la demanda efectiva ya no fuera acompañado por un crecimiento de la producción. Evidentemente esto equivale a la ocupación plena. En el capítulo anterior dimos una definición de ésta en términos de la conducta de los obreros; una alternativa, aunque equivalente, es el que ahora hemos alcanzado, o sea, aquella situación en que la ocupación total es inelástica frente a un aumento en la demanda efectiva de la producción correspondiente. De este modo la Ley de Say, según la cual el precio de la demanda agregada de la producción en conjunto es igual al precio de la oferta agregada para cualquier volumen de producción, equivale a decir que no existe obstáculo para la ocupación plena. Sin embargo, si ésta no es la verdadera ley respecto de la demanda y la oferta agregadas, hay un capítulo de importancia capital en la teoría económica que todavía no se ha escrito y sin el cual son fútiles todos los estudios relativos al volumen de la ocupación agregada.

II

Tal vez un breve resumen de la teoría de la ocupación que se desarrollará en el curso de los siguientes capítulos pueda ayudar al lector en esta etapa, aun cuando quizá no sea completamente inteligible. Los términos usados se aclararán con mayor cuidado en su oportunidad. En este resumen supondremos que el salario nominal y el costo de los otros factores son constantes por unidad de trabajo empleado; pero esta simplificación, de la que prescindiremos después, se usa únicamente para facilitar la exposición. El carácter esencial del argumento es exactamente igual, sin importar que los salarios nominales, etc., sean o no susceptibles de modificarse.

El bosquejo de nuestra teoría puede expresarse como sigue: cuando aumenta la ocupación aumenta también el ingreso agregado real de la comunidad; la psicología de ésta es tal que cuando el ingreso real agregado aumenta, el consumo agregado crece, pero no tanto como el ingreso. De aquí que los empresarios resentirían una pérdida si el aumento total de la ocupación se destinara a satisfacer la mayor demanda de artículos de consumo inmediato. En consecuencia, para justificar cualquier cantidad dada de ocupación, debe existir cierto volumen de inversión que baste para absorber el excedente que arroja la producción total sobre lo que la comunidad decide consumir cuando la ocupación se encuentra a dicho nivel; porque a menos de que exista este volumen de inversión, los ingresos de los empresarios serán menores que los requeridos para inducirlos a ofrecer la cantidad de ocupación de que se trate. Se desprende, por tanto, que, dado lo que llamaremos la propensión a consumir de la comunidad, el nivel de equilibrio de la ocupación, es decir, el nivel que no induce a los empresarios en conjunto a ampliar o contraer la ocupación, dependerá de la magnitud de la inversión corriente. El monto de ésta dependerá, a su vez, de lo que llamaremos el incentivo para invertir, que, como después se verá, depende de la relación entre la curva de eficiencia marginal del capital y el complejo de tasas de interés para préstamos de diversos plazos y riesgos.

Así, dada la propensión a consumir y la tasa de nueva inversión, sólo puede existir un nivel de ocupación compatible con el equilibrio, ya que cualquier otro produciría una desigualdad entre el precio de la oferta agregada de la producción en conjunto y el precio de su demanda agregada. Este nivel no puede ser mayor que el de la ocupación plena, es decir, el salario real no puede ser menor que la desutilidad marginal del trabajo; pero no existe razón, en lo general, para esperar que sea igual a la ocupación plena. La demanda efectiva que trae consigo la plena ocupación es un caso especial que sólo se realiza cuando la propensión a consumir y el incentivo para invertir se encuentran en una relación mutua particular. Esta relación particular, que corresponde a los supuestos de la teoría clásica, es, en cierto sentido, una relación óptima; pero sólo puede darse cuando, por accidente o por designio, la inversión corriente provea un volumen de demanda justamente igual al excedente del precio de la oferta agregada de la producción resultante de la ocupación plena, sobre lo que la comunidad decidirá gastar en consumo cuando la ocupación se encuentre en ese estado.

Esta teoría puede resumirse en las siguientes proposiciones:

1) En determinada situación de la técnica, los recursos y los costos, el ingreso (tanto monetario como real) depende del volumen de ocupación N.

2) La relación entre el ingreso de la comunidad y lo que se puede esperar que gaste en consumo, designada por D1, dependerá de las características psicológicas de la comunidad, que llamaremos su propensión a consumir. Es decir, que el consumo dependerá del nivel de ingreso agregado y, por tanto, del nivel de ocupación N, excepto cuando ocurre algún cambio en la propensión a consumir.

3) El volumen de trabajo N que los empresarios deciden emplear depende de la suma (D) de dos cantidades, es decir D1, la suma que se espera gastará la comunidad en consumo, y D2, la que se espera que dedicará a nuevas inversiones. D es lo que antes hemos llamado demanda efectiva.

4) Desde el momento que D1 + D2 = D = φ (N), es donde φ es la función de la oferta agregada, y como, según hemos visto en 2), D1 es función de N, que puede escribirse χ (N), dependiendo de la propensión a consumir, se deduce que φ (N) χ (N) = D2.

5) De aquí se desprende que, en equilibrio, el volumen de ocupación depende: a) de la función de la oferta agregada, φ, b) de la propensión a consumir, χ, y c) del volumen de inversión, D2. Esta es la esencia de la teoría general de la ocupación.

6) Para cada valor de N hay una productividad marginal correspondiente de la mano de obra en las industrias de artículos para asalariados, la que determina el salario real. El párrafo 5) está sujeto, por tanto, a la condición de que N no puede exceder de aquel valor que reduce el salario real hasta igualarlo con la desutilidad marginal de la mano de obra. Esto quiere decir que no todos los cambios en D son compatibles con nuestro supuesto provisional de que los salarios nominales son constantes. Por esta razón será necesario, para realizar una exposición más completa de nuestra teoría, renunciar a esta hipótesis.

7) En la teoría clásica, de acuerdo con la cual D = φ (N) para todos los valores de N, el volumen de ocupación está en equilibrio neutral en todos los casos en que N sea inferior al máximo, de manera que puede esperarse que la fuerza de la competencia entre los empresarios lo eleve hasta dicho valor máximo. Sólo en este punto, según la teoría clásica, puede existir equilibrio estable.

8) Cuando la ocupación aumenta, D1 hará lo propio, pero no tanto como D; ya que cuando el ingreso sube, el consumo lo hará también, pero menos. La clave de nuestro problema práctico se encuentra en esta ley psicológica; porque de aquí se sigue que cuanto mayor sea el volumen de ocupación, más grande será la diferencia entre el precio de la oferta agregada (Z) de la producción correspondiente y el monto (D1) que los empresarios esperan recuperar con los gastos de los consumidores. Por tanto, si no ocurren cambios en la propensión a consumir, la ocupación no puede aumentar, a menos que al mismo tiempo D2 crezca en tal forma que llene la diferencia creciente entre Z y D1. Por consiguiente, el sistema económico puede encontrar en sí mismo un equilibrio estable con N a un nivel inferior a la ocupación completa, es decir, al nivel dado por la intersección de la función de demanda agregada y la función de oferta agregada —excepto en los supuestos especiales de la teoría clásica, de acuerdo con los cuales actúa alguna fuerza que, cuando la ocupación aumenta, siempre hace que D2 suba lo suficiente para cubrir la distancia creciente que separa a Z de D1.

El volumen de ocupación no está, pues, fijado por la desutilidad marginal de trabajo, medida en salarios reales, excepto en el caso de que la oferta disponible de mano de obra para una magnitud dada de salarios reales señale un nivel máximo a la ocupación. La propensión a consumir y el coeficiente de inversión nueva determinan, entre ambos, el volumen de ocupación, y éste está ligado únicamente a un nivel determinado de salarios reales —no al revés—. Si la propensión a consumir y el coeficiente de inversión nueva se traducen en una insuficiencia de la demanda efectiva, el volumen real de ocupación se reducirá hasta quedar por debajo de la oferta de mano de obra potencialmente disponible al actual salario real, y el salario real de equilibrio será mayor que la desutilidad marginal del nivel de equilibrio de la ocupación.

Este análisis nos proporciona una explicación de la paradoja de la pobreza en medio de la abundancia; porque la simple existencia de una demanda efectiva insuficiente puede, y a menudo hará, que el aumento de ocupación se detenga antes que haya sido alcanzado el nivel de ocupación plena. La insuficiencia de la demanda efectiva frenará el proceso de la producción aunque el producto marginal de la mano de obra exceda todavía en valor a la desutilidad marginal de la ocupación.

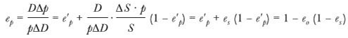
Más aún, cuanto más rica sea la comunidad, mayor tenderá a ser la distancia que separa su producción real de la potencial y, por tanto, más obvios y atroces los defectos del sistema económico; porque una comunidad pobre estará propensa a consumir la mayor parte de su producción, de manera que una inversión modesta será suficiente para lograr la ocupación completa; en tanto que una comunidad rica tendrá que descubrir oportunidades de inversión mucho más amplias para que la propensión a ahorrar de sus miembros más opulentos sea compatible con la ocupación de los más pobres. Si en una comunidad potencialmente rica el incentivo para invertir es débil, entonces, a pesar de su riqueza potencial, la actuación del principio de la demanda efectiva la empujará a reducir su producción real hasta que a pesar de dicha riqueza potencial, haya llegado a ser tan pobre que sus excedentes sobre el consumo se hayan reducido lo bastante para corresponder a la debilidad de incentivo para invertir[20].

Pero falta lo peor: no solamente es más débil la propensión marginal a consumir en una comunidad rica, sino que, debido a que su acumulación de capital es ya grande, las oportunidades para nuevas inversiones son menos atractivas, a no ser que la tasa de interés baje lo bastante de prisa, lo cual nos lleva a la teoría del interés y a las razones por las cuales no baja automáticamente al nivel apropiado, de lo que nos ocuparemos en el Libro IV.

En esta forma, el análisis de la propensión a consumir, la definición de eficiencia marginal del capital y la teoría de la tasa de interés son las tres lagunas principales de nuestros conocimientos actuales, que es necesario llenar. Cuando esto se haya logrado encontraremos que la teoría de los precios ocupa su lugar apropiado como subsidiaria de nuestra teoría general. Veremos después, sin embargo, que el dinero juega papel esencial en nuestra teoría de la tasa de interés e intentaremos desentrañar las características peculiares del dinero que lo distinguen de otras cosas.

III

En la economía ricardiana, que sirve de base a lo que se nos ha enseñado por más de un siglo, es esencial la idea de que podemos desdeñar impunemente la función de demanda agregada. Es verdad que Malthus se opuso con vehemencia a la doctrina de Ricardo de que era imposible una insuficiencia de la demanda efectiva, pero en vano, porque no pudo explicar claramente (fuera de un llamado a la observación común de los hechos) cómo y por qué la demanda efectiva podría ser deficiente o excesiva, no logró dar una construcción alternativa y Ricardo conquistó a Inglaterra de una manera tan cabal como la Santa Inquisición a España. Su teoría no fue aceptada sólo por la City, los estadistas y el mundo académico, sino que la controversia se detuvo y el punto de vista contrario desapareció completamente y dejó de ser discutido. El gran enigma de la demanda efectiva, con el que Malthus había luchado, se desvaneció de la literatura económica. Ni una sola vez puede verse mencionado en cualquiera de los trabajos de Marshall, Edgeworth y el profesor Pigou, de cuyas manos ha recibido su mayor madurez la teoría clásica. Sólo pudo vivir furtivamente disfrazado, en las regiones del bajo mundo de Carlos Marx, Silvio Gesell y el mayor Douglas.

Lo cabal de la victoria de los ricardianos tiene algo de curiosidad y de misterio; probablemente se debió a un complejo de conformaciones de la doctrina al medio ambiente en que fue proyectada. Creo que el hecho de haber llegado a conclusiones completamente distintas de las que una persona sin instrucción del tipo medio podría esperar, contribuyó a su prestigio intelectual. Le dio virtud el hecho de que sus enseñanzas transportadas a la práctica, eran austeras y a veces insípidas; le dio belleza el poderse adaptar a una superestructura lógica consistente; le dio autoridad el hecho de que podía explicar muchas injusticias sociales y aparente crueldad como un incidente inevitable en la marcha del progreso, y que el intento de cambiar estas cosas tenía, en términos generales, más probabilidades de causar daño que beneficio; y, por fin, el proporcionar cierta justificación a la libertad de acción de los capitalistas individuales le atrajo el apoyo de la fuerza social dominante que se hallaba tras la autoridad.

Aunque la doctrina en sí ha permanecido al margen de toda duda para los economistas ortodoxos hasta nuestros días, su completo fracaso en lo que atañe a la posibilidad de predicción científica ha dañado enormemente, a través del tiempo, el prestigio de sus defensores; porque, al parecer, después de Malthus los economistas profesionales permanecieron impasibles ante la falta de concordancia entre los resultados de su teoría y los hechos observados —una discrepancia que el hombre común y corriente no ha dejado de observar, con el resultado de su creciente renuencia a conceder a los economistas esa manifestación de respeto que da a otros grupos científicos cuyas conclusiones teóricas son conformadas por la observación cuando se aplican a los hechos.

En mi opinión, el celebrado optimismo de la teoría económica tradicional puede encontrarse también en el hecho de no haber tenido en cuenta la rémora que una insuficiencia de la demanda efectiva puede significar para la prosperidad; porque es evidente que en una sociedad que funcionara de acuerdo con los postulados clásicos debería existir una tendencia natural hacia el empleo óptimo de los recursos. Puede suceder muy bien que la teoría clásica represente el camino que nuestra economía debería seguir; pero suponer que en realidad lo hace así es eliminar graciosamente nuestras dificultades. Tal optimismo es el causante de que se mire a los economistas como Cándidos que, habiéndose apartado de este mundo para cultivar sus jardines, predican que todo pasa del mejor modo en el más perfecto posible de los mundos, a condición de que dejemos las cosas en libertad.

 


 * 

LIBRO II

DEFINICIONES E IDEAS

CAPÍTULO 4

LA ELECCIÓN DE UNIDADES

I

EN ÉSTE Y LOS TRES CAPÍTULOS SIGUIENTES intentaremos aclarar ciertas dudas que no tienen relación peculiar o exclusiva con los problemas cuyo examen nos hemos propuesto analizar de manera especial; por lo que deben considerarse como una digresión que nos apartará momentáneamente de nuestro tema principal. Sólo se estudian aquí porque no se han tratado en ninguna otra parte en una forma que yo estime conveniente para las necesidades privativas de mi investigación.

Las tres confusiones que más me estorbaron al escribir este libro, y me impidieron expresarme convenientemente hasta que les encontré alguna solución, fueron: en primer lugar, la elección de las unidades cuantitativas apropiadas a los problemas del sistema económico en su conjunto; segundo, el papel desempeñado por las expectativas en el análisis económico; y tercero, la definición de ingreso.

II

Lo poco satisfactorio de las unidades que emplean los economistas puede ejemplificarse por los conceptos de dividendo nacional, existencia (o acervo) de capital real y nivel general de precios:

1) El dividendo nacional, tal como lo definieron Marshall y el profesor Pigou, mide el volumen de la producción corriente o ingreso real y no el valor de la producción o ingreso monetario. [21]

Más aún, depende, en cierto sentido, de la producción neta; es decir, de aquella adición neta a los recursos de la comunidad disponibles para el consumo o para conservarlos en calidad de provisión de capital, que resulta de las actividades económicas y sacrificios de un periodo, después de tener en cuenta el desgaste del capital real que existía al comienzo del mismo. Sobre estas bases se intenta erigir una ciencia cuantitativa; pero hay una grave objeción a este concepto, aplicado a tal fin, en el hecho de que la producción de mercancías y servicios realizada por la comunidad es un complejo no homogéneo, que no puede medirse, hablando en sentido estricto, excepto en casos especiales, como, por ejemplo, cuando todos los componentes de una producción entran en la misma proporción en otra producción. [22]

2) La dificultad es mayor todavía cuando, con objeto de calcular la producción neta, tratamos de medir la adición neta al equipo de capital, porque es preciso encontrar alguna base cuantitativa de comparación entre las nuevas partidas del equipo producidas durante el periodo y las viejas que han desaparecido por desgaste. Con el fin de llegar a la noción de dividendo nacional neto, el profesor Pigou deduce aquella obsolescencia, etc., “que puede denominarse razonablemente ‘normal’; y la prueba práctica de normalidad consiste en que la merma es lo bastante regular para ser prevista, si no en detalle, por lo menos en términos generales” . [23]

Pero desde el momento que esta deducción no se hace en unidades monetarias, está ligada a la suposición de que puede ocurrir un cambio en la cantidad física, aunque de hecho no haya habido modificación física alguna; es decir, está introduciendo secretamente cambios en el valor. Más todavía, no es capaz de idear alguna fórmula satisfactoria para evaluar el equipo nuevo en comparación con el viejo, cuando, debido a cambios en la técnica, los dos dejan de ser idénticos. Creo que el concepto que apunta el profesor Pigou es el correcto y apropiado para el análisis económico; pero su definición precisa es una tarea imposible hasta que se haya adoptado un sistema satisfactorio de unidades. El problema de comparar dos producciones reales entre sí y de calcular después la producción neta, contraponiendo las nuevas partidas del equipo al desgaste de las viejas, origina acertijos que pueden calificarse de insolubles sin temor a equivocarse. [24]

3) En tercer lugar, el bien conocido pero inevitable elemento de vaguedad que como se sabe acompaña al concepto del nivel general de precios, hace a este término demasiado poco satisfactorio para las finalidades de un análisis causal, que debería ser exacto.

Sin embargo, estas dificultades se consideran correctamente como “acertijos” y son “puramente teóricas” en el sentido de que jamás ocasionan confusión, ni siquiera entran en modo alguno en las decisiones de los negocios y no tienen importancia para la secuencia causal de los fenómenos económicos, los cuales son claros y determinados, a pesar de la indeterminación cuantitativa de estos conceptos. Es natural, por tanto, concluir que no solamente carecen de precisión, sino que son innecesarios. Es evidente que nuestro análisis cuantitativo debe explicarse sin usar ningún término cuantitativamente vago y, en verdad, tan pronto como tal cosa se intenta, se pone en claro, como espero demostrarlo, que puede pasarse mucho mejor sin ellos.

El hecho de que dos grupos inconmensurables de objetos diversos no puedan por sí mismos proporcionar el material para un análisis cuantitativo, no es obstáculo, por supuesto, que nos impida realizar comparaciones estadísticas aproximadas que dependan de elementos amplios de juicio más que de cálculos estrictos que puedan ser válidos y significativos dentro de ciertos límites; pero el lugar propio de conceptos tales como la producción real y neta y el nivel general de precios queda dentro del campo de la descripción estadística e histórica y su objeto debería ser satisfacer la curiosidad histórica o social; propósito para el que no es habitual ni necesaria la precisión perfecta, tal como exige nuestro análisis causal, sea o no completo o exacto nuestro conocimiento de los valores reales de las cantidades de que se trate. Decir que la producción neta de hoy es mayor que hace diez años o un año, pero el nivel de precios inferior, es una afirmación semejante a la de que la reina Victoria era mejor reina pero no una mujer más feliz que la reina Isabel —aserto que no está desprovisto de significación ni de interés, pero que es inaprovechable para el cálculo diferencial—. Nuestra precisión sería cómica si tratáramos de usar tales expresiones parcialmente vagas y conceptos no cuantitativos como bases de un análisis cuantitativo.

III

Debe recordarse que en todos los casos concretos un empresario se interesa por decisiones respecto a la escala en que usará cierto equipo de capital, y cuando afirmamos que la expectativa de una demanda mayor, es decir, un aumento de la función de demanda agregada provocará otro en la producción agregada, lo que realmente queremos decir es que las empresas propietarias del equipo de capital se verán inducidas a asociar con él un mayor empleo agregado de mano de obra. En el caso de una firma o industria en particular que produzcan un bien homogéneo, podemos hablar lícitamente, si queremos, de aumentos y disminuciones de producción; pero cuando agregamos la actividad de todas las empresas, no podemos expresarnos con precisión, excepto en términos de cantidades de ocupación aplicadas a un equipo dado. Los conceptos de producción total y su nivel de precio no se requieren para este contexto, pues no necesitamos una medida absoluta de la producción agregada corriente, como la que nos permitiría comparar su monto con el que resultaría de la asociación de un equipo diferente de capital con una cantidad diferente de ocupación. Cuando con fines descriptivos o de comparación a grandes rasgos deseamos referirnos a un aumento de la producción, debemos apoyarnos en el supuesto general de que el volumen de ocupación asociado a cierto equipo de capital será un índice satisfactorio del total de la producción resultante, suponiendo que ambos aumenten y disminuyan juntos, aunque no en una proporción numérica definida.

Al tratar de la teoría de la ocupación me propongo, por tanto, usar solamente dos unidades fundamentales de cantidad, a saber, cantidades de valor en dinero y cantidades de ocupación. La primera es estrictamente homogénea y la segunda puede hacerse que lo sea; pues en la medida en que grados y clases diferentes de mano de obra y empleo asalariado disfruten de una remuneración relativa más o menos fija, la magnitud de la ocupación puede definirse bastante bien, para nuestro objeto, tomando una hora de empleo del trabajo ordinario como unidad y ponderando una hora de trabajo especial proporcionalmente a su remuneración; es decir, una hora de trabajo especial remunerada al doble del tipo ordinario se contará por dos. Denominaremos unidad de trabajo a la unidad en que se mide el volumen de ocupación, y llamaremos unidad de salario al salario monetario de una unidad de trabajo. Por tanto, si E representa la nómina de salario (y sueldos), S la unidad de salarios y N la cantidad de empleo, E = NS. [25]

Este supuesto de la homogeneidad en la oferta de mano de obra no se altera por el hecho evidente de las grandes diferencias en la habilidad especializada de los trabajadores individuales, y su adecuación para ocupaciones diversas; porque si la remuneración de los trabajadores es proporcional a su eficacia, las diferencias se explican si consideramos que los individuos contribuyen a la oferta de mano de obra proporcionalmente a su remuneración; mientras que si, al aumentar la producción, una empresa tiene que ocupar trabajo cada vez menos eficaz para sus fines particulares por unidad de salario pagado, éste es solamente un factor entre otros que conducen al rendimiento decreciente del uso del equipo de capital en términos de producción a medida que se emplea más trabajo. Englobamos, por decirlo así, la no-homogeneidad de las unidades de trabajo de igual remuneración dentro del equipo, que juzgamos cada vez menos adecuado para emplear las unidades de trabajo disponibles a medida que la producción aumenta, en vez de considerar que estas unidades de trabajo disponibles se adaptan cada vez menos al empleo de un equipo de capital homogéneo. Por tanto, si no hay excedente de mano de obra especializada o calificada y el uso de la menos adaptable supone mayor costo de trabajo por unidad de producción, esto quiere decir que la proporción en que disminuya el rendimiento del equipo a medida que aumente la ocupación, es más rápida de lo que sería si existiera tal excedente. [26]

Aun en el caso extremo en que las diferentes unidades de trabajo estuvieran tan altamente especializadas que no pudieran sustituirse unas por otras en absoluto, esto no presentaría dificultad porque significaría únicamente que la elasticidad de oferta de la producción de un tipo particular de equipo de capital desciende repentinamente a cero cuando todo el trabajo especializado disponible para su uso está ya empleado. [27]

Así, pues, nuestro supuesto de una unidad homogénea de trabajo no comparta dificultades, a menos que haya mucha inestabilidad en la remuneración relativa de las diferentes unidades de trabajo, y aun este obstáculo puede eliminarse, en caso de que aparezca, por medio del supuesto de que existe la posibilidad de un cambio rápido en la oferta de mano de obra y en la forma de la función de oferta agregada.

En mi opinión, podría evitarse mucha confusión si nos limitáramos estrictamente a las dos unidades, dinero y trabajo, cuando nos ocupamos del comportamiento del sistema económico en conjunto; reservando el uso de unidades de determinadas producciones y equipos para las ocasiones en que analicemos la producción de las empresas o industrias concretas aisladamente y el uso de conceptos vagos, tales como el volumen de producción total, la cantidad del equipo de capital como un todo y el nivel general de precios, para las ocasiones en que tratemos de hacer alguna comparación histórica, que sea, dentro de ciertos límites (quizá bastante amplios), declaradamente imprecisa y aproximada.

De esto se desprende que mediremos los cambios que ocurran en la producción corriente, con referencia al número de horas de trabajo pagadas a los hombres empleados (ya sea para satisfacer a los consumidores o para crear nuevo equipo de capital) en el equipo de capital existente, ponderándose las horas de los trabajadores calificados de acuerdo con su retribución. No se requiere una comparación cuantitativa entre esta producción y la que resultaría de la asociación de diferentes grupos de trabajadores con otro equipo de capital. Para predecir de qué manera los empresarios que poseen cierto equipo reaccionarán ante un desplazamiento en la función de demanda agregada no es necesario saber qué relación guardarían el volumen de la producción resultante, el nivel de vida y el nivel general de precios con lo que serían en fecha o país diferentes.

IV

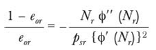
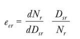
Es fácil demostrar que las condiciones de la oferta, tal como se expresan generalmente por su respectiva curva, y la elasticidad de la misma en relación con el precio de los productos, pueden manejarse con nuestras dos unidades escogidas, por medio de la función de oferta agregada, sin referencia a las cantidades de producción, bien sea que se trate de una firma o industria particular o de la actividad económica en conjunto; porque la función de oferta agregada para una firma cualquiera (y de modo semejante para determinada industria o para toda ella) está representada por:

en la que Zr es el rendimiento (neto de costo de uso) cuya expectativa motivará un nivel de ocupación Nr. Por tanto, si la relación entre ocupación y producción es tal que una ocupación Nr da una producción de Or, en la que Or = ψr (Nr), se deduce que

 es la curva normal de oferta, donde Ur (Nr) es el costo de uso (esperado) correspondiente al nivel de empleo Nr.

Por eso, en el caso de cualquier producto homogéneo, para el cual Or = ψr (Nr) tenga un valor definido, podemos calcular Zr = φr (Nr) del modo acostumbrado; pero entonces se pueden agregar las cantidades Nr en una forma que no es posible con las Or, porque ΣOr no es una cantidad numérica. Más aún, si es lícito suponer que, en determinado medio, cierto volumen de empleo agregado será distribuido invariablemente en una forma única entre las diferentes industrias de tal manera que Nr sea función en N, la simplificación puede llevarse todavía más lejos.

 


 * 

CAPÍTULO 5

LA EXPECTATIVA COMO ELEMENTO DETERMINANTE DE LA PRODUCCIÓN Y LA OCUPACIÓN

I

TODA PRODUCCIÓN TIENE, POR FIN ÚLTIMO la satisfacción de algún consumidor. Normalmente pasa algún tiempo, sin embargo —y algunas veces mucho tiempo—, entre el momento en que el productor soporta los costos (teniendo en cuenta al consumidor) y el de la compra de la producción por el consumidor final. Entretanto, el empresario (incluyendo en este término tanto al productor como al inversionista) tiene que hacer las mejores previsiones que estén a su alcance sobre lo que los consumidores podrán pagarle cuando esté listo para abastecerlos (directa o indirectamente) después que haya pasado un periodo, que puede ser largo; y no le queda más remedio que guiarse por estas expectativas si es que desea producir algo por medio de procesos que llevan tiempo.[28]

 

Estas expectativas de las que dependen las decisiones de negocios, se dividen en dos grupos —existiendo ciertos individuos o firmas especializadas en la tarea de forjar el primer tipo de previsiones y otros en el segundo—. El primero se relaciona con el precio que un manufacturero puede esperar obtener de su producción “terminada” en el momento que se compromete a empezar el proceso que la producirá; considerando que la producción está “terminada” (desde su punto de vista) cuando se encuentra lista para ser usada, o vendida a otra persona. El segundo se refiere a lo que el empresario puede esperar ganar en forma de rendimiento futuro, en el caso que compre (o quizá manufacture) producción “terminada” como adición a su equipo de capital. Podemos llamar al primero las expectativas a corto plazo y al segundo las expectativas a largo plazo.

De este modo, la conducta de cada firma individual, al decidir su producción diaria,2 será determinado por las expectativas a corto plazo —expectativas respecto al costo de la producción en varias escalas posibles y expectativas sobre el importe a obtener de la venta de dicha producción—; aunque en el caso de adiciones al equipo de capital y aun de las ventas a los distribuidores, estas expectativas a corto plazo dependerán en gran parte de las de largo plazo (o plazo medio) de otras personas. [29]

El volumen de ocupación que las empresas individuales ofrezcan será consecuencia de todo este conjunto de previsiones. Los resultados efectivamente obtenidos de la producción y la venta de la misma sólo tendrán influencia sobre la ocupación en la medida en que sean motivo de cambio de las expectativas subsecuentes. Tampoco tendrán influencia por otra parte, las expectativas originales que indujeron a la firma a comprar el equipo de capital y el inventario de productos intermedios y artículos semimanufacturados que posee en el momento que debe decidir la producción del día siguiente. En consecuencia, no cabe duda que cada vez que tanga que llegar a una decisión lo hará tomando en cuenta este equipo y existencias, pero a la luz de las expectativas actuales acerca de las previsiones de los costos y el importe de las ventas.

Ahora bien, en términos generales, un cambio en las expectativas (sean a corto o a largo plazo) solamente producirá plenos efectos sobre la ocupación en un periodo considerable. El cambio en la ocupación debido a una modificación de las expectativas no será igual en el segundo día después del cambio que en el primero, en el tercero que en el segundo, y así sucesivamente, aunque no haya nuevos cambios en ellas. Cuando las expectativas son a corto plazo, el hecho se debe a que los cambios no ocurren, por regla general, lo bastante violenta o rápidamente, aun en el peor de los casos, para ocasionar el abandono del trabajo en todos aquellos procesos productivos que fueron iniciados por equivocación, aunque se descubra el error al analizar los hechos con mayor reposo; mientras que cuando éstos superan las esperanzas fincadas en ellos, se necesita que pase algún tiempo de preparación antes de que la ocupación pueda alcanzar el nivel al cual hubiera llegado si las previsiones se hubieran revisado antes. En el caso de las previsiones a largo plazo, el equipo que no se repone seguirá proporcionando ocupación hasta su desgaste total; en tanto que, cuando el cambio en ellas resulta favorable, la ocupación puede estar a un nivel más alto al principio que después de haber pasado el tiempo preciso para ajustar el equipo a la nueva situación.

Supongamos que un estado de expectativa dure el tiempo suficiente para que sus efectos sobre la ocupación hayan sido tan completos que, en sentido lato, no haya ningún empleo que no hubiera tenido lugar si las nuevas previsiones hubieran existido siempre. En este caso, el nivel firme de ocupación así logrado puede llamarse la ocupación a largo plazo correspondiente a ese estado de previsión. Aunque las expectativas pueden cambiar con tal frecuencia que el nivel real de ocupación no haya tenido nunca tiempo de alcanzar el de largo plazo correspondiente al estado momentáneo de aquéllas, se deduce que cada situación de expectativas tiene, sin embargo, su correspondiente nivel de ocupación a largo plazo.

Consideremos, ante todo, el proceso de transición a una posición de periodo largo, que no es complicado o interrumpido por ningún otro cambio en las expectativas. Supongamos primero que el cambio es de tal naturaleza que la nueva ocupación de largo plazo será mayor que la anterior. Ahora bien, por regla general, al principio sólo se afectará en una medida considerable la tasa de insumo (input), es decir, el volumen de trabajo en las primeras etapas de los nuevos procesos productivos; mientras que la producción de artículos de consumo y el volumen de ocupación en las etapas finales de los procesos que se iniciaron antes seguirán más o menos lo mismo. [30]

Esta conclusión puede modificarse en la medida que existía provisión de artículos semi-elaborados, aunque es probable que siga siendo válida la afirmación de que el aumento inicial de la ocupación será moderado. No obstante, a medida que pasen los días, la ocupación crecerá gradualmente. Más aún, es fácil concebir las condiciones que la harán subir, al llegar a cierto estado, a un nivel más alto que el de la nueva ocupación a largo plazo; porque el proceso de crear capital para satisfacer el nuevo estado de las expectativas puede conducir a una ocupación mayor y también a un consumo superior a los que se presentarán cuando se haya alcanzado la posición correspondiente al periodo largo. Así, los cambios en las previsiones pueden llevar a un crecimiento gradual en el nivel de ocupación hasta llegar a la cúspide, para después descender al nivel correspondiente al nuevo nivel de periodo largo. Lo mismo puede suceder si el nuevo nivel es igual al anterior, siempre que la modificación comporte un cambio en la dirección de la demanda que haga anticuados ciertos procesos existentes y sus equipos. Igualmente, si la nueva ocupación a largo plazo es menor que la inicial, el nivel de ocupación durante la transición puede descender durante cierto tiempo por debajo del que se alcanzará. Por eso, al desarrollarse un simple cambio en las previsiones, es capaz de producir una oscilación de la misma clase y perfiles que un movimiento cíclico. Esta clase de movimientos fue la que estudié en mi Treatise on Money, a propósito de la formación o el agotamiento de las existencias de capital en giro y capital líquido que siguen a los cambios.

Un proceso no interrumpido de transición, como el anterior, hacia una nueva posición de largo plazo puede complicarse en los detalles; pero el curso real de los acontecimientos es más complicado todavía, porque el estado de las previsiones es susceptible de variar constantemente, apareciendo una nueva previsión mucho antes de que la anterior se haya desenvuelto por completo. De manera que el mecanismo económico está ocupado en todo tiempo con cierto número de actividades que se traslapan y cuya existencia se debe a varias situaciones pasadas de expectativa.

II

Esto nos lleva a la pertinencia de esta discusión con la finalidad que perseguimos. Es evidente, por lo anterior, que el nivel de ocupación depende, en todo tiempo y en cierto sentido, no sólo del estado actual de las expectativas sino de las que existieron durante un determinado periodo anterior. Sin embargo, las expectativas pasadas que todavía no se han desarrollado están incorporadas en el equipo actual de capital, con referencia al cual el empresario tiene que tomar sus decisiones presentes, y sólo influyen sobre éstas en la medida en que estén incorporadas en la forma que se ha dicho. Por tanto, se deduce de esto, a pesar de lo anterior, que la ocupación presente puede explicarse correctamente diciendo que está determinada por las expectativas de hoy, considerando juntamente con el equipo de capital actual.

Rara vez pueden evitarse las referencias expresas a las expectativas corrientes a largo plazo; pero frecuentemente será inocuo omitir las de corto plazo, en vista de que, en la práctica, el proceso de revisión de las expectativas de corto plazo es continuo y gradual y se realiza en su mayor parte teniendo a la vista los resultados obtenidos; de tal manera que las influencias de los resultados esperados y los obtenidos se confunden y traslapan; porque aunque la producción y la ocupación están determinadas por las expectativas a corto plazo del productor y no por los resultados obtenidos en el pasado, los resultados más recientes suelen jugar un papel predominante en la determinación de tales previsiones. Sería muy complicado elaborar las previsiones de novo cada vez que se empezara un proceso productivo; más aún, sería perder el tiempo, desde el momento que, por lo general, gran parte de las circunstancias se mantienen substancialmente invariables de un día para otro. En consecuencia, es sensato que los productores basen sus expectativas en el supuesto de que los resultados efectivos más recientes continuarán, excepto en el caso de que haya razones precisas para esperar un cambio. Por eso existe en la práctica un traslape en gran escala de los efectos que produce sobre la ocupación el importe obtenido de las ventas ya hechas de la producción reciente, y los efectos de los importes de las ventas que se espera realizar de los productos del insumo corriente; modificándose gradualmente con mayor frecuencia los pronósticos de los productores a la luz de los resultados obtenidos que por su anticipación de los cambios probables. [31]

Sin embargo, no debemos olvidar que, en el caso de los artículos durables, las expectativas a corto plazo del productor se basan en las expectativas corrientes a largo plazo del inversionista y que es propio de la naturaleza de las previsiones a largo plazo el que no pueden ser revisadas a intervalos cortos a la luz de los resultados obtenidos. Más aún, como veremos en el capítulo 12 (en el que nos ocuparemos con mayor detalle de las expectativas a largo plazo) éstas pueden ser revisadas en cualquier momento imprevisto. Así, el factor expectativas corrientes a largo plazo no puede ser siquiera aproximadamente eliminado o reemplazado por los resultados obtenidos.

 


CAPÍTULO 6

LA DEFINICIÓN DE INGRESO, AHORRO E INVERSIÓN

I. Ingreso

EN UN PERIODO CUALQUIERA TODO EMPRESARIO habrá vendido cierta cantidad de productos terminados a los consumidores o a otros empresarios por una suma que llamaremos A, y también habrá gastado otra, que designaremos A1, para comprar artículos acabados a otros empresarios; teniendo al final un equipo de capital, que incluye tanto sus existencias de artículos no terminados o capital de trabajo como las existencias de los artículos acabados, teniendo ambos un valor G.

 Sin embargo, una parte de A + G – A1 no será atribuible a las actividades del periodo en cuestión, sino al equipo de capital que poseía al principiar el periodo. Por tanto, con el fin de llegar al concepto de ingreso del periodo considerado, debemos restar de A + G A1 cierta suma que represente la parte de su valor que ha sido producida (en cierto sentido) por el equipo heredado del periodo anterior. El problema de definir el ingreso se resolverá tan pronto como hayamos encontrado un método satisfactorio para calcular esta deducción.

 Hay dos principios posibles para tal fin, y cada uno de ellos tiene su importancia: uno se relaciona con la producción y el otro con el consumo.

 Vamos a examinarlos por turno.

 1) El valor real del equipo de capital al final del periodo, G, es el resultado neto, por una parte, de lo que el empresario ha hecho para conservarlo y mejorarlo durante ese tiempo, tanto con las compras a otros empresarios como con el trabajo realizado por él mismo; y, por otra, del desgaste o depreciación derivados del uso a que se le sometió en la producción. Si el empresario hubiera decidido no usarlo para producir, hay sin embargo una cierta suma óptima que le hubiera convenido gastar en conservarlo y mejorarlo. Supongamos que, en este caso, hubiese bastado B′ en conservación y mejoramiento y que, considerando este dispendio, tenga un valor G′ al final del periodo. Es decir, que G′ – B′ es el máximo de valor neto que podría haberse conservado del periodo anterior, si no se hubiera empleado en la producción de A.

 El excedente de este valor potencial del equipo sobre G – A1 es la medida de lo que se ha sacrificado (de un modo u otro) para producir A.

 Llamemos a esta cantidad

(G′ – B′) – (G – A1),

que mide el sacrificio de valor comprendido en la producción de A, el costo de uso de A, 67 al cual representaremos por U. [32] A la suma pagada por el empresario a los demás factores de la producción como recompensa por sus servicios, que para ellos viene a ser su ingreso, la llamaremos el costo de factores de A.

 Llamaremos a la suma del costo de factores F y del costo de uso U, el costo primo de la producción A.

 Podemos, en consecuencia, definir el ingreso[33] del empresario como el excedente de valor de su producción terminada y vendida durante el periodo, sobre su costo primo. Es decir, que el ingreso del empresario se considera igual a la cantidad, que según sea su escala de producción, se esfuerza por llevar al máximo, es decir, a su ganancia bruta en el sentido usual del término, lo que está de acuerdo con el sentido común. Por tanto, como el ingreso del resto de la comunidad es igual al costo de factores del empresario, el ingreso total es igual a A – U.

 El ingreso así definido es una cantidad completamente inequívoca. Además, como lo que el empresario procura llevar al máximo en sus previsiones, cuando decide qué volumen de ocupación concederá a los otros factores de la producción, es el excedente de esta suma sobre sus desembolsos a dichos factores, resulta que ésa es la cantidad de importancia causal para la ocupación.

 Es concebible, por supuesto, que G – A1 exceda de G′ – B′, de modo que el costo de uso sea negativo. Por ejemplo, esto puede ocurrir si da la casualidad de que escojamos nuestro periodo de tal manera que la inversión o el uso de factores en la producción haya venido creciendo durante ese tiempo, pero sin que haya transcurrido el necesario para que el incremento de producción alcance la etapa final y se haya vendido. Lo mismo pasará, siempre que exista inversión positiva, si imaginamos que la industria ha llegado a tal grado de integración que los empresarios elaboren por sí mismos la mayor parte de su equipo. No obstante, desde el momento que el costo de uso sólo es negativo cuando el empresario ha venido aumentando su equipo de producción con su propio trabajo, podemos imaginar, normalmente, que el costo de uso es positivo en una economía donde el equipo productor es manufacturado en su mayor parte por empresas distintas a las que lo usan. Más aún, es difícil concebir un caso en el cual el costo marginal de uso asociado con un aumento en A es decir,

Tal vez sea conveniente citar aquí, anticipándonos a la última parte de este capítulo, que, para la comunidad en conjunto, el consumo global (C) del periodo es igual a Σ (A A1), y la inversión total (I) igual a Σ (A1 – U). Todavía más, U es la desinversión del empresario individual (y –U, su inversión) con respecto a su propio equipo, excluyendo lo que compra a otros empresarios. Así, en un sistema completamente integrado (en el cual A1 = φ) el consumo es igual a A y la inversión a –U, es decir, a G – (G′ – B′).

 La pequeña complicación anterior, debida a la introducción de A1, se debe sencillamente al deseo de proveer una fórmula general que comprenda el caso de un sistema de producción no integrado.

 Además, la demanda efectiva es simplemente el ingreso agregado (o importe de ventas) que los empresarios esperan recibir, incluyendo los ingresos que hacen pasar a manos de los otros factores de la producción por medio del volumen de ocupación que deciden conceder. La función de demanda agregada relaciona varias cantidades hipotéticas de ocupación con los rendimientos que se espera obtener de su producto; y la demanda efectiva es el punto en que la función de demanda agregada llega a hacerse efectiva porque, considerada en conjunción con las condiciones de la oferta, corresponde al nivel de ocupación que lleva al máximo la expectativa de ganancias del empresario.

 Este conjunto de definiciones tiene también la ventaja de que podemos igualar el importe marginal de ventas (o ingreso) con el costo marginal de los factores y llegar así a la misma serie de proposiciones que relaciona el producto marginal, definido en la forma dicha, con el costo marginal de los factores, tal como ha sido establecido por los economistas que, pasando por alto el costo de uso, o suponiéndolo nulo, han igualado el precio de oferta con el costo marginal de los factores.[34] [35]

2) Pasamos ahora al segundo de los principios citados antes.

 Nos hemos ocupado hasta ahora de aquella parte del cambio en el valor del equipo de capital al final del periodo que, comparado con su valor inicial, se debe a las decisiones voluntarias del empresario para procurar obtener las ganancias máximas. Pero puede haber también pérdidas (o ganancias) involuntarias en el valor de su equipo de capital, que se presenten por razones fuera de su alcance y sin tomar en cuenta sus decisiones corrientes, con motivo de (por ejemplo) un cambio en los valores de mercado, desperdicio por obsolescencia o por el simple correr del tiempo o la destrucción por una catástrofe, tal como una guerra o un terremoto. Ahora bien, una parte de estas pérdidas involuntarias, aun cuando son inevitables, no son imprevisibles en el sentido amplio del término; tal es el caso de las pérdidas que sobrevienen con el correr de tiempo, independientemente del uso, y también la obsolescencia “normal” que, como lo expresa el profesor Pigou, “es lo bastante regular para ser prevista, si no en detalle, por lo menos a grandes rasgos”, incluyendo, podemos añadir, esas pérdidas de la comunidad en conjunto que son lo bastante regulares para ser consideradas usualmente como “riesgos asegurables”. Pasemos por alto, momentáneamente, el hecho de que el monto de las pérdidas previstas depende del momento en que se supone que la expectativa se realice, y llamemos a la depreciación que es involuntaria pero no inesperada del equipo, es decir, al excedente de la depreciación prevista sobre el costo de uso, el costo suplementario, que representaremos por V. Quizá casi no valga la pena indicar que esta definición no es la misma que la del costo suplementario de Marshall, aunque la idea en que se basa, a saber, la de ocuparse de aquella parte de la depreciación prevista que no entra en el costo primo, es semejante.

Por consiguiente, al computar el ingreso neto y las ganancias netas del empresario, se acostumbra deducir de su ingreso y ganancias brutas, tal como se definieron antes, el monto calculado del costo suplementario; porque el efecto psicológico del costo suplementario sobre el empresario, cuando está considerado lo que puede gastar y ahorrar, es virtualmente igual que si fuera producido por las ganancias brutas. En su calidad de productor que decide si usará o no su equipo, los conceptos importantes son el costo primo y las ganancias brutas, tal como se han definido; pero en la medida que es consumidor, el monto del costo suplementario influye en su mente del mismo modo que si formara parte del costo primo. Por tanto, si, al definir el ingreso agregado neto, deducimos tanto el costo suplementario como el costo de uso, de manera que el ingreso neto agregado sea igual a A – U – V, no solamente nos acercamos a la costumbre generalizada, sino que también llegaremos a un concepto que tiene importancia para el volumen de consumo.

 Queda por examinar el cambio en el valor del equipo debido a las variaciones imprevistas en los valores de mercado, obsolescencia excepcional o destrucción por una catástrofe que son tanto involuntarias como, en un sentido amplio, imprevistas. La pérdida real por este concepto, que desdeñamos incluso al considerar el ingreso neto y que cargamos a la cuenta de capital, puede llamarse pérdida imprevista (windfall loss).

 La importancia causal del ingreso neto reside en la influencia psicológica de la magnitud de V sobre el volumen de consumo corriente, pues el ingreso neto es lo que suponemos que el hombre de tipo medio considera como su ingreso disponible cuando decide cuánto ha de gastar en consumo corriente. Este no es, por supuesto, el único factor que toma en cuenta cuando decide el monto de sus gastos. Influyen de manera muy diversa, por ejemplo, las ganancias o las pérdidas imprevistas que está realizando por concepto de capital; pero el costo suplementario y una pérdida imprevista difieren en el sentido de que las alteraciones en el primero pueden afectar al consumidor precisamente en la misma forma que los cambios en su ganancia bruta. Lo que afecta el consumo del empresario es el excedente del rendimiento de la producción corriente sobre la suma del costo primo y el costo suplementario; mientras que, aun cuando las pérdidas (o ganancias) imprevistas forman parte de sus decisiones, no influyen en la misma escala, ya que una determinada pérdida imprevista no tiene el mismo efecto que un costo suplementario igual.

 Debemos recurrir ahora, sin embargo, a la idea de que la línea que separa los costos suplementarios y las pérdidas imprevistas, es decir, entre aquellas inevitables que consideremos propio cargar en la cuenta de ingresos y aquellas que es razonable reconocer como pérdidas inesperadas (o ganancias) sobre la cuenta de capital, es en parte convencional o psicológica, dependiendo de cuáles sean los criterios comúnmente aceptados para estimar los primeros; porque no puede establecerse un principio único para estimar el costo suplementario, y su monto dependerá de la elección que hagamos respecto al método de contabilidad. El valor previsto del costo suplementario, cuando se produjo originalmente el equipo, es una cantidad concreta o definida; pero si se vuelve a estimar posteriormente, su magnitud para el resto de la duración del equipo puede haber cambiado a resultas de una modificación de nuestras expectativas que se haya producido entretanto; siendo las pérdidas imprevistas de capital el valor descontado de la diferencia entre las expectativas anteriores y las revisadas por las series probables de U + V. Es un principio ampliamente admitido en la contabilidad de los negocios y refrendado por las autoridades de la “Inland Revenue”,* señalar una cifra para la suma del costo suplementario y el costo de uso, cuando se adquiere el equipo, y mantenerla sin alteración durante la vida de éste, independientemente de los cambios en las expectativas que puedan sobrevenir. En este caso, el costo suplementario de cualquier periodo debe considerarse como el excedente de esta cifra determinada de antemano sobre el costo de uso real. Esto tiene la ventaja de asegurar que las ganancias o pérdidas imprevistas se reducirán a cero mientras dure el equipo, tomado en su conjunto; pero también es razonable, en ciertas circunstancias, volver a calcular lo destinado al costo suplementario sobre la base de los valores y las expectativas corrientes a intervalos contables arbitrarios, por ejemplo, anualmente. De hecho, los hombres de negocios difieren sobre el camino a seguir. Puede ser conveniente llamar a las expectativas iniciales del costo suplementario, cuando se adquiere el equipo, el costo suplementario básico, y la misma cantidad, vuelta a calcular en un momento dado sobre la base de los valores y las previsiones actuales, el costo suplementario actual.

Así, pues, no podemos aproximarnos más a una definición cuantitativa del costo suplementario que el decir que incluye las deducciones hechas por un empresario de tipo medio en su ingreso antes de calcular lo que considera su ingreso neto con el propósito de declarar un dividendo (en el caso de una sociedad) o de decidir la escala de su consumo corriente (en el caso de un individuo). Desde el momento que no se pueden suprimir los cargos imprevistos a la cuenta de capital, resulta mucho mejor, en caso de duda, asignar una partida a esta cuenta e incluir en el costo suplementario solamente lo que con seguridad le corresponda; porque cualquier error de sobrecargo en la primera puede corregirse atribuyéndole más influencia sobre la tasa de consumo corriente de la que hubiera tenido en otra forma.

 Se observará que nuestra definición de ingreso neto se acerca mucho a la de ingreso de Marshall, cuando éste decidió refugiarse en las prácticas de los Income Tax Commissioners* y considerar —en términos generales— como ingreso lo que éstos designaran como tal, de acuerdo con su experiencia; porque la contextura de sus decisiones puede juzgarse como el resultado de la investigación más cuidadosa y extensa de que pueda disponerse para interpretar lo que, en la práctica, se acostumbra considerar como ingreso neto. También corresponde al valor monetario del dividendo nacional según la más reciente definición del profesor Pigou. [36]

Sigue siendo cierto, sin embargo, que el ingreso neto no se ha delimitado perfectamente, por estar basado en un criterio equívoco que diversas autoridades pueden interpretar en forma diferente. El profesor Hayek, por ejemplo, ha sugerido que un propietario individual de bienes de capital podría tender a conservar constante el ingreso que deriva de sus posesiones, de manera que no se sintiera en libertad para gastarlo en consumo hasta que hubiera reservado lo suficiente para contrarrestar cualquier tendencia de su ingreso destinado a inversión a decaer por cualquier motivo.[37]

Dudo que exista semejante individuo, pero, evidentemente, no puede ponerse ninguna objeción teórica a esta deducción como base de un posible criterio psicológico para determinar el ingreso neto; no obstante, cuando el profesor Hayek infiere que los conceptos de ahorro e inversión adolecen de la misma vaguedad, sólo tiene razón si quiere referirse al ahorro neto y a la inversión neta. El ahorro y la inversión que interesan para la teoría de la ocupación están libres de semejante defecto y pueden definirse objetivamente, como se ha demostrado.

 Resulta equivocado, en consecuencia, poner todo el énfasis en el ingreso neto, que sólo interesa a las decisiones concernientes al consumo y que, además, está separado únicamente por una delgada línea de los otros varios factores que afectan al consumo; y también es erróneo descuidar (como se acostumbra) el concepto de ingreso propiamente dicho, que es el que importa para las decisiones concernientes a la producción corriente, y que es completamente inequívoco.

 Las definiciones anteriores de ingreso y de ingreso neto tienen por objeto acercarse cuanto sea posible al uso común y corriente de los términos, por lo que es preciso recordar desde este mismo momento al lector que en mi Treatise on Money definí el ingreso en un sentido especial. La peculiaridad de mi anterior definición se refería a la parte del ingreso global que obtienen los empresarios, ya que no tomé en cuenta las ganancias (brutas o netas) realmente obtenidas de sus operaciones corrientes, ni las que esperaban recibir cuando decidieron emprenderlas, sino más bien, en cierto sentido (que, según ahora pienso, no está bastante definido si tomamos en cuenta la posibilidad de cambios en la escala de producción), una ganancia normal o de equilibrio, con el resultado de que, en esta definición, el ahorro superaba a la inversión en el excedente de la ganancia normal sobre la real. Temo que el uso de estos términos haya causado mucha confusión, especialmente en el caso del uso correlativo del ahorro, ya que las conclusiones (relativas, en particular, al excedente del ahorro sobre la inversión), que solamente eran válidas si los términos empleados fueran interpretados en el sentido especial que les di, se han adoptado a menudo en discusiones populares como si se usaran en un sentido más familiar. Por esta razón, y también porque ya no necesito mis anteriores conceptos para expresarme con precisión, he decidido descartarlos —sintiendo mucho la confusión que han ocasionado.

II. Ahorro e inversión

Siempre es agradable descubrir un punto fijo en medio del oleaje del empleo divergente de los términos.

 Que yo sepa, todo el mundo está de acuerdo en que ahorro significa el excedente del ingreso sobre los gastos de consumo.

 Así, pues, cualquier duda respecto del significado de ahorro tiene que surgir de dudas respecto a los conceptos de ingreso o de consumo.

 Ya hemos definido el ingreso.

 Los gastos en consumo durante cualquier periodo deben significar el valor de los artículos vendidos a los consumidores durante el mismo, lo cual nos hace retroceder al problema de qué se entiende por consumidor comprador. Cualquier definición razonable de la línea de separación entre consumidores compradores e inversionistas-compradores nos será igualmente útil a condición de que se aplique de una manera congruente. Se ha hablado mucho de problemas tales como si es correcto considerar la compra de un automóvil como un gasto de consumo y la de una casa como otro de inversión y no tengo nada esencial que agregar al debate. El criterio respectivo debe ser, evidentemente, el punto en que se ha de trazar la línea que separa al consumidor del empresario. Así, al definir A1 como el valor de lo que un empresario ha comprado a otro, hemos resuelto la cuestión implícitamente. Se deduce que el gasto en consumo puede definirse inequívocamente como Σ (A – A1), en donde ΣA es el total de las ventas hechas durante el periodo, y ΣA1 es el total de las realizadas entre empresarios. De aquí en adelante convendrá, por lo general, omitir el signo Σ y escribir A para el conjunto de ventas de todas clases, A1 para el conjunto de las ventas realizadas entre empresarios y U para la suma global del costo de uso de los empresarios.

 Habiendo ya definido tanto el ingreso como el consumo, la definición de ahorro, que es la diferencia entre el primero y el segundo, es una consecuencia natural. Desde el momento en que el ingreso es igual a A – U y el consumo a A – A1, se deduce que el ahorro es igual a A1 – U. De modo semejante, tenemos que el ahorro neto, o sea el excedente del ingreso neto sobre el consumo, es igual a A1 – U – V.

 Nuestra definición de ingreso también nos lleva inmediatamente a la de inversión corriente; porque con esto hemos de querer decir la adición corriente al valor del equipo de capital que ha resultado de la actividad productiva del periodo que se considere. Esto equivale claramente a lo que acabamos de definir como ahorro; porque es aquella parte del ingreso del periodo que no se ha gastado en consumo. Hemos visto antes que, como resultado de la producción de un periodo, los empresarios lo cierran habiendo vendido los artículos acabados con valor A y teniendo un equipo de capital que ha sufrido un deterioro medido por U (o una mejoría expresada por –U, en donde U es negativa), debido a la producción y venta de A, deducción hecha de las compras de A1 a otros empresarios. Durante el mismo periodo se habrá consumido una producción terminada con un valor de A – A1; es decir, A1 – U, excedente de A – U sobre A – A1, es la adición al equipo de capital que ha resultado de las actividades productoras del periodo y es, por tanto, la inversión realizada durante él. Del mismo modo, A1 – U – V, que es la adición neta al equipo de capital, después de tener en cuenta la baja normal de su valor como consecuencia de su uso, y los cambios imprevistos en el valor del equipo que deben cargarse a la cuenta de capital, es la inversión neta hecha durante el periodo.

 Por consiguiente, como el monto del ahorro es una consecuencia del proceder colectivo de los consumidores individuales, y el monto de la inversión lo es de la conducta colectiva de los empresarios individuales, estas dos cantidades son necesariamente iguales, ya que cada una de ellas es igual al excedente del ingreso sobre el consumo. A mayor abundamiento, esta conclusión no depende, en modo alguno, de cualquier sutileza o peculiaridad de la definición de ingreso expuesta antes. Si se admite que el ingreso es igual al valor de la producción corriente, que la inversión es igual al valor de aquella parte de dicha producción que no se ha consumido y que el ahorro es igual al excedente del ingreso sobre el consumo—todo lo cual está de acuerdo tanto con el sentido común como con la costumbre tradicional de la gran mayoría de los economistas—, la igualdad entre el ahorro y la inversión es una consecuencia necesaria.

 En pocas palabras,

Ingreso = valor de la producción = consumo + inversión.

 Ahorro = ingreso – consumo.

 Por tanto, ahorro = inversión.

 Así, pues, cualquier grupo de definiciones que satisfaga las condiciones anteriores lleva a la misma conclusión, que sólo puede eludirse negando la validez de una u otra.

 La equivalencia entre la cantidad de ahorro y la de inversión surge del carácter bilateral de las operaciones entre el productor, por una parte, y el consumidor o el comprador de equipo de capital, por la otra. El ingreso se crea por el excedente de valor que el productor obtiene de la producción que ha vendido sobre el costo de uso; pero toda esta producción debe haberse vendido, como es obvio, a un consumidor o a otro empresario; y la inversión corriente de cada empresario es igual al excedente del equipo que ha comprado a otros empresarios sobre su propio costo de uso. Por consiguiente, en conjunto, el excedente del ingreso sobre el consumo, al que llamamos ahorro, no puede diferir de la adición al equipo de capital, al que llamamos inversión. Lo mismo pasa con el ahorro neto y la inversión neta. El ahorro, de hecho, no es más que simple residuo. Las decisiones de consumir y las decisiones de invertir determinan conjuntamente los ingresos. Suponiendo que las decisiones de invertir se hagan efectivas, una de dos, o restringen el consumo o amplían el ingreso. De este modo, ningún acto de inversión puede evitar que el residuo o margen, al que llamamos ahorro, deje de aumentar en una cantidad equivalente. Podría ocurrir, por supuesto, que los individuos fueran tan apasionados en sus decisiones respecto a lo que deberían ahorrar o invertir, respectivamente, que no hubiera nivel de equilibrio de precios en el cual pudieran efectuarse las operaciones. En este caso, nuestros términos dejarían de ser aplicables, desde el momento que la producción ya no tendría un valor de mercado definido y los precios no encontrarían punto de reposo entre cero y el infinito. Sin embargo, la experiencia niega que esta eventualidad se produzca de hecho y muestra reacciones psicológicas habituales que permiten alcanzar un equilibrio tal que la inclinación a comprar sea igual a la relativa a vender. La existencia de un valor de mercado para la producción es, al mismo tiempo que condición necesaria para que los ingresos monetarios posean un valor definido, una condición suficiente para que el volumen total que ahorran los individuos que deciden ahorrar sea igual al volumen total que los que invierten deciden invertir.

 Quizá se aclaren más las ideas sobre este punto pensando más bien en términos de las decisiones de consumir (o de abstenerse de consumir) que en las de ahorrar. Una decisión de consumir o no, está ciertamente al alcance de un individuo y lo mismo pasa con la referente a invertir o dejar de hacerlo. Las sumas totales de ingreso agregado y de ahorro agregado son resultado de la libre elección de los individuos sobre si consumirán o no y sobre si invertirán o no; pero ninguna de ellas es capaz de alcanzar un valor independiente que resulte de un grupo particular de decisiones, tomadas sin considerar las relativas al consumo y a la inversión. De acuerdo con este principio, el concepto de la propensión a consumir tomará en lo sucesivo el lugar de la propensión o disposición a ahorrar.


 *

CAPÍTULO 6-B

APÉNDICE SOBRE EL COSTO DE USO

I

EN MI OPINIÓN EL COSTO DE USO tiene para la teoría clásica del valor una importancia que ha sido descuidada; se puede decir sobre ello más de lo que sería oportuno o propio en este lugar; pero sólo a título de digresión lo examinaremos con mayor detalle en este apéndice.

El costo de uso de un empresario es, por definición, igual a

A1 + (G′ – B′) – G,

donde A1 es el monto de las compras que nuestro empresario ha hecho a otros empresarios, G el valor real de su equipo de capital al final del periodo, y G′ el valor que podría haber tenido al final del periodo, si se hubiera abstenido de usarlo y hubiera gastado la suma óptima B′ en mantenerlo y mejorarlo. Ahora bien, G – (G′ – B′), es decir, el incremento en el valor del equipo del empresario sobre el valor neto que heredó del periodo anterior, representa la inversión corriente que ha hecho en dicho equipo y puede representarse por I. Así, U, el costo de uso de su volumen de ventas A, es igual a A1 – I, donde A1 es lo que ha comprado a otros empresarios e I lo que ha invertido en su propio equipo. Una ligera reflexión mostrará que todo esto no es más que sentido común. Una parte de sus egresos con destino a los demás empresarios se equilibra con el valor de su inversión corriente en su propio equipo, y el resto representa la parte en que el sacrificio que ha de haberle costado su producción vendida excede a la suma que ha pagado a los factores de la producción. Si el lector intenta expresar lo esencial de estas ideas en otra forma, encontrará que la ventaja de la que hemos escogido consiste en que evita problemas de contabilidad insolubles (e innecesarios). Me parece que no hay otra manera de analizar los rendimientos actuales de la producción de una manera inequívoca. Si la industria se encuentra completamente integrada, o si el empresario no ha comprado nada en el mercado, de manera que A1 = φ, el [66] costo de uso es simplemente el equivalente de la desinversión corriente que implica el uso del equipo; pero todavía nos queda la ventaja de que no necesitamos, en etapa alguna de nuestro análisis, buscar cómo repartir el costo de los factores entre los artículos que se venden y el equipo que se conserva. De este modo podemos considerar que el empleo concedido por una firma, ya sea integrada o individual, depende de una sola y única decisión, procedimiento que corresponde al carácter real interdependiente de la producción de lo 77 que se vende corrientemente y la producción total.

El concepto de costo de uso también nos permite dar una definición más clara que la usualmente adoptada para el precio de oferta en periodos cortos de una unidad de la producción vendible de una firma, porque el precio de oferta en periodos cortos es, en nuestro caso, la suma del costo marginal de factores y del costo marginal de uso.

Ahora bien, en la teoría moderna del valor ha sido una práctica usual igualar el precio de oferta en los periodos cortos con sólo el costo marginal de los factores. Sin embargo, es evidente que tal práctica es lícita únicamente cuando el costo marginal de uso es cero, o si el precio de oferta se define especialmente como si fuera neto del costo de uso marginal del mismo modo que he definido (pp. 54-55) los rendimientos por las ventas y el precio de la oferta agregada sin tomar en cuenta el costo de uso agregado; pero si bien puede ser conveniente en ciertas ocasiones, al referirse a la producción como un todo, deducir el costo de uso, este proceder priva a nuestro análisis de toda realidad si se aplica de un modo habitual (y tácitamente) a la producción de una sola firma o industria, desde el momento que desliga el “precio de oferta” de un artículo, de cualquier significado corriente de su “precio”, y alguna confusión debe haber resultado de la práctica de hacerlo así. Parece haberse supuesto que el “precio de oferta” tiene un significado obvio cuando se aplica a una unidad de la producción vendible de una firma individual, y no se ha creído que el asunto requiera discusión. Sin embargo, tanto al considerar el tema de lo que se compra a otras firmas como el de la depreciación del equipo propio a consecuencia de la producción marginal, se tropieza con toda esa serie de confusiones que van unidas a la definición de ingreso. Porque, aun cuando supusiéramos que el costo marginal de las compras hechas a otras firmas, comprendido en la venta de una unidad adicional de producción, tenga que restarse de los rendimientos de las ventas por unidad para aclarar lo que deseamos dar a entender con nuestra definición del precio de oferta, todavía tenemos que hacer deducciones por la desinversión marginal del equipo de la firma, que va implícita en la producción marginal. Aun cuando toda la producción estuviera a cargo de una empresa completamente integrada, sería ilegítimo suponer que el costo marginal de uso fuera cero, esto es, que en general pueda omitirse la desinversión marginal en el equipo, debida a la producción marginal. [67]

Los conceptos de costo de uso y de costo suplementario también nos permiten establecer una relación más clara entre el precio de oferta para periodos largos y el precio de oferta del periodo corto. El costo en los primeros debe incluir, naturalmente, cierta suma para cubrir el costo suplementario básico, así como el costo primo previsto, aproximadamente promediado a través de todo el tiempo que dura el equipo. Esto quiere decir que el costo de producción en periodos largos es igual a la suma prevista para el costo primo más el costo suplementario; además, para que haya una ganancia normal, el precio de oferta de los periodos largos debe exceder al costo de los mismos, así calculado, en una suma determinada por la tasa corriente de interés sobre préstamos de plazos y riesgos comparables, calculada como un porciento del costo del equipo. O, si preferimos tomar un patrón “puro” de tasa de interés, debemos incluir en el costo del periodo largo un tercer término que podríamos llamar el costo del riesgo, para cubrir las 78 posibilidades ignoradas que pueden hacer diferir el rendimiento real del previsto. Por tanto, el precio de oferta en periodos largos es igual a la suma del costo primo, el costo suplementario, el costo del riesgo y el costo del interés, que se puede analizar examinando estos componentes. El precio de la oferta en periodos cortos, por otra parte, es igual al costo primo marginal. Cuando compra o construye su equipo, el empresario debe, por tanto, esperar cubrir su costo suplementario, su costo de riesgo y su costo de interés con el excedente del valor marginal del costo primo sobre el valor promedio del mismo; de manera que en el equilibrio a largo plazo el excedente del costo primo marginal sobre el promedio del costo primo sea igual a la suma de los costos suplementarios, del riesgo y del interés.[38]

El nivel de la producción al cual el costo primo marginal es exactamente igual a la suma de los costos primo y suplementario medios, tiene importancia especial, porque éste es el punto en el que la cuenta de intercambio del empresario se iguala. Es decir, corresponde [68] al punto en que la ganancia neta es cero; en tanto que con una producción menor que ésta opera con pérdida neta.

La amplitud con que es necesario atender al costo suplementario, aparte del costo primo, varía mucho de una clase de equipo a otra. Los dos casos extremos son los siguientes:

1) Una parte del mantenimiento del equipo debe necesariamente realizarse pari passu con el acto de usarlo (por ejemplo, engrasar la máquina). Este gasto (fuera de las compras en el mercado) se incluye en el costo de factores. Si, por razones de orden físico, el monto exacto del total de la depreciación corriente se ha de cubrir necesariamente de este modo, la magnitud del costo de uso (deducción hecha de las compras en el mercado) sería igual y opuesta a la del costo suplementario, y en el equilibrio a largo plazo el costo marginal de factores excedería del costo medio de los mismos en una suma igual al costo del riesgo y del interés.

2) Una parte de la disminución de valor del equipo solamente se presenta si se usa. Esta partida se carga en el costo de uso en la medida en que no se realiza pari passu con el acto de emplearlo. Si la pérdida de valor del equipo ocurriera únicamente de este modo, el costo suplementario sería cero.

Tal vez sea conveniente indicar que un empresario no emplea en primer lugar su equipo peor y más viejo por el hecho de que su costo de uso sea menor; porque éste puede estar contrarrestado por su relativa ineficacia, es decir, por su alto costo de factores. Debido a ello, un empresario aprovecha de preferencia la parte de su equipo en que el costo de uso más el costo de los factores es mínimo por unidad de productor.[39] De aquí se deduce que para cualquier volumen determinado de producción del artículo de que se trate existe un costo de uso correspondiente,[40] pero que el total de éste no tiene relación uniforme con el costo de uso marginal, es decir, con el incremento del costo de uso debido a un aumento en la tasa de producción.

II

El costo de uso es uno de los eslabones que ligan el presente con el futuro; porque al decidir un empresario su escala de producción [69] tiene que escoger entre emplear equipo en la actualidad o reservarlo para después. Lo que determina la magnitud del costo de uso es el sacrificio previsto de futuras ganancias involucrado en el uso actual; así como el volumen marginal de este sacrificio es el que, junto con el costo marginal de los factores y la esperanza de rendimientos marginales, determina su escala de producción. ¿Cómo calcula entonces el empresario el costo de uso de un acto de producción?

Hemos definido el costo de uso como la reducción de valor que el equipo sufre al emplearse, comparada con la que ocurriría si no se usara, después de tener en cuenta el costo de mantenimiento y de las mejoras que convendría realizar y las compras a otros empresarios. Por tanto, para llegar a él debe calcularse el valor descontado del rendimiento adicional venidero que se obtendría en alguna fecha posterior si no se usara en la actualidad. Ahora bien, este valor debe ser por lo menos igual al que actualmente representa la oportunidad de aplazar la reposición del equipo si éste se deja inactivo, y puede ser mayor.[41]

Si no hay existencias sobrantes o redundantes, de manera que tengan que producirse nuevas unidades de equipo similar cada año para sumarlas o sustituir a las actuales, es evidente que el costo marginal de uso será calculable con referencia a la reducción de la vida o la eficacia del equipo si acaso se usa, y al costo corriente de reposición. Sin embargo, si hay equipo sobrante el costo de uso también dependerá de la tasa de interés y del costo suplementario corriente (es decir, estimado nuevamente) en el periodo anterior a aquel en que se prevé que el sobrante será absorbido por el desgaste, etc. De esta manera, el costo del interés y el costo suplementario corriente entran indirectamente en los cálculos del costo de uso.

El cálculo se presenta en su forma más sencilla e inteligible cuando el costo de factores es cero, por ejemplo en el caso de una existencia superflua de una materia prima como el cobre, siguiendo las directrices que elaboré en mi Treatise on Money, vol. II, cap. 29. Tomemos los valores probables del cobre en varias fechas futuras, serie que estará determinada por la proporción en que se absorba lo superfluo y se aproxime uno gradualmente [70] al costo normal estimado; el valor actual o costo de uso de una tonelada de cobre excedente será, por tanto, igual al mayor de los valores que puedan obtenerse restando del valor futuro estimado de una tonelada de cobre para cualquier fecha dada, el costo del interés y el costo suplementario corriente de una tonelada de cobre que corresponden al periodo comprendido entre el momento presente y esa fecha.

Del mismo modo, el costo de uso de una embarcación, una fábrica o una máquina, cuando hay una oferta redundante de ellas, es su costo estimado de reposición descontado a la tasa porcentual de sus costos de interés y suplementario que correspondan a la fecha prevista en que el exceso será absorbido.

Hemos supuesto antes que el equipo se reemplazará oportunamente por otro idéntico. Si no se renueva de ese modo cuando se ha gastado, su costo de uso tiene que calcularse tomando una proporción (que determina su eficiencia comparativa) del costo de uso del nuevo equipo que se instalará para realizar su trabajo cuando sea descartado el viejo.

III

El lector observará que, cuando el equipo no es obsoleto sino sólo redundante por el momento, la diferencia entre el costo de uso real y su valor normal (es decir, el valor que tendría si no hubiera equipo sobrante) varía con el intervalo de tiempo que se espera transcurra antes de que el excedente sea absorbido. Por tanto, si el equipo en cuestión fue comprado en todas las fechas (años) posibles y no todo de golpe en una misma fecha, de tal manera que una proporción razonable quede fuera de servicio anualmente, el costo marginal de uso no decaerá mucho, a menos que lo superfluo sea excepcionalmente grande. En el caso de una depresión general, el costo marginal de uso dependerá del cálculo que de su duración hagan los empresarios, de manera que el alza en el precio de oferta cuando las cosas empiecen a mejorar, puede deberse en parte a un violento crecimiento del costo marginal de uso, producido por una revisión de las expectativas.

En contra de la opinión de los hombres de negocios, se ha dicho algunas veces que los esquemas organizados para retirar el equipo excedente no pueden producir los deseados efectos de aumentar los precios, a menos que se deseche el total del equipo sobrante; pero el concepto de costo de uso muestra cómo la eliminación de (digamos) la mitad del equipo excedente, puede resultar en un alza inmediata de los precios; porque al aproximarse la fecha de absorción del sobrante, este procedimiento sube el costo marginal de uso y, en consecuencia, aumenta el precio corriente de oferta.

Así podría parecer que los hombres de negocios [71] tienen implícita en su pensamiento la noción del costo de uso, aunque no la formulen con precisión.

Si el costo suplementario es fuerte, se deduce que el costo de uso será bajo cuando haya equipo sobrante. Más aún, cuando existe el excedente no es probable que los costos marginales de factores y de uso sobrepasen mucho el promedio de su valor. Si las dos condiciones se cumplen, la existencia de equipo sobrante probablemente hará que el empresario trabaje con una pérdida neta que puede ser fuerte. No se presentará la transición repentina de este estado de cosas al de ganancias normales, que ocurre en el momento en que el equipo excedente es absorbido. Al reducirse el sobrante, el costo de uso aumentará gradualmente y el excedente del costo marginal sobre el promedio de los costos de factores y de uso puede también aumentar en la misma forma.

IV

En los Principios de economía de Marshall (6a ed., p. 360) se incluye una parte del costo de uso en el costo primo bajo el título de “deterioro extra del equipo”; pero no se indica cómo puede calcularse o qué importancia tiene esta partida. En su Theory of Unemployment (p. 42), el profesor Pigou supone expresamente que la desinversión marginal en equipo, debida a la producción marginal, puede, en general, despreciarse: “Las diferencias en la magnitud de deterioro sufrido por el equipo y en los costos de trabajo no manual empleado que traen consigo las diferencias en el volumen de producción, no se toman en cuenta porque son, generalmente, de importancia secundaria”.5[42] Es cierto que en la teoría económica reciente se admite en buena parte la noción de que la desinversión en equipo es nula en el margen de la producción; pero el problema cobra importancia evidente tan pronto como se presenta la necesidad de explicar con exactitud lo que significa el precio de oferta de una firma individual.

Es verdad que el costo de mantenimiento de un equipo inactivo puede frecuentemente, por las razones indicadas antes, reducir la magnitud del costo marginal de uso, en especial cuando se prevé que la depresión durará mucho tiempo. Sin embargo, un costo de uso bajo en el margen no es la característica del periodo corto como tal, sino de situaciones particulares y clases de equipo cuyo costo de mantenimiento resulta gravoso cuando se tiene éste inactivo; y de aquellos desequilibrios que se caracterizan por rápida obsolescencia o por grandes redundancias, especialmente si van unidas a una gran proporción de equipo comparativamente nuevo.

En el caso de las materias primas, la necesidad de un margen de tolerancia para el costo de uso es obvia; si una tonelada de cobre se usa hoy, no podrá usarse mañana, y el valor que el cobre tendría para los propósitos futuros claramente debe considerarse como parte del costo marginal. Pero se ha pasado por alto el hecho de que el cobre es sólo un caso extremo de lo que ocurre en cuantas ocasiones se usa equipo productor para producir. El supuesto de que existe una división tajante entre las materias primas, en las que debemos tener en cuenta la desinversión derivada de su uso en la producción, y el capital fijo, en el cual podemos desdeñarla sin peligro, no corresponde a los hechos — especialmente en condiciones normales cuando hay que reponer algún equipo cada año y el uso del mismo aproxima la fecha en que se hace necesaria la reposición.

La ventaja de los conceptos relativos al costo de uso y al costo suplementario consiste en que son aplicables tanto al capital en giro y al líquido como al fijo. La diferencia esencial entre las materias primas y el capital fijo no reside en que estén sujetos a los costos de uso y suplementario, sino en el hecho de que aquéllas vuelven a ser capital líquido de una vez, mientras que en el capital fijo, que es durable y se gasta gradualmente, la vuelta a la forma de capital líquido se produce por una serie de costos de uso y ganancias obtenidas en periodos sucesivos.

 


 * 

CAPÍTULO 7

EL SIGNIFICADO DE AHORRO E INVERSIÓN MÁS AMPLIAMENTE CONSIDERADO

I

EN EL CAPÍTULO ANTERIOR SE DEFINIERON de tal manera los términos ahorro e inversión que necesariamente tienen que resultar iguales en cantidad y, para la comunidad en conjunto, son meros aspectos de una misma cosa. Algunos escritores contemporáneos (yo mismo en mi Treatise on Money) han dado, sin embargo, definiciones especiales de estos términos según las cuales no son necesariamente iguales. Otros han escrito, partiendo del supuesto de que pueden ser desiguales, sin preceder sus estudios con definición alguna. Será conveniente, por ello, clasificar algunos de los variados usos que tienen, con la intención de referir lo anterior a otros estudios.

Que yo sepa, todo el mundo está de acuerdo en que ahorro es el excedente del ingreso sobre lo que se gasta en consumo; y no cabe duda que sería inconveniente y desorientador no darle esta acepción. Tampoco hay ninguna divergencia importante de opinión sobre lo que se quiere decir por gastos en consumo; de manera que las diferencias en la forma en que se les emplea proceden de la definición de inversión o la de ingreso.

II

Ocupémonos en primer lugar de inversión. En sentido vulgar es corriente referirla a la compra de un activo, viejo o nuevo, por un individuo o por una sociedad. De vez en cuando el término podría restringirse a la compra de un valor en la bolsa; pero igual hablamos de invertir, por ejemplo, en una casa o una máquina, que en una partida de artículos acabados o no y, en sentido amplio, las nuevas inversiones, a diferencia de las reinversiones, significan la compra, con los ingresos, de un bien de capital de cualquier clase. Si consideramos la venta de una inversión como inversión negativa, mi propia definición está de acuerdo con la de uso popular, ya que los cambios que se operan en las viejas inversiones necesariamente se cancelan entre sí. Por supuesto, tenemos que hacer las correcciones del caso con motivo de la creación y la cancelación de deudas (influyendo los cambios en la cantidad de crédito o dinero); pero desde el momento en que, para la comunidad en conjunto, el aumento o la disminución en el monto total de los créditos es siempre exactamente igual al aumento o la disminución del monto total de los débitos, esta complicación se neutraliza también cuando nos referimos a la inversión en conjunto. Así, pues, suponiendo que la noción popular de ingreso corresponde a la mía de ingreso neto, la inversión total en su sentido popular coincide con mi definición de inversión neta, es decir, con la adición neta a toda clase de equipos de capital, después de tener en cuenta los cambios en el valor del equipo viejo que se consideran al computar el ingreso neto.

La inversión así definida incluye, por tanto, el aumento en el equipo productor, ya sea que consista en capital fijo, capital en giro o capital líquido, y las diferencias entre las definiciones, dignas de ser consideradas (aparte de la distinción entre inversión e inversión neta), se deben a la exclusión de una o varias de estas partidas.

Hawtrey, por ejemplo, que atribuye gran importancia a los cambios en el capital líquido, es decir, a aumentos (o disminuciones) involuntarios en la existencia de artículos no vendidos, ha sugerido una posible definición de inversión en la cual se excluyen dichos cambios. En este caso, un excedente del ahorro sobre la inversión sería lo mismo que un incremento involuntario en la existencia de artículos no vendidos, es decir, como un aumento del capital líquido. Hawtrey no me ha convencido de que éste sea el factor de peso, porque pone todo el énfasis en la corrección de los cambios que no se previeron al principio, comparados con aquellos que se anticiparon con acierto o sin él. Hawtrey considera que las decisiones diarias de los empresarios relativas a su escala de producción se derivan de la escala del día anterior en relación con los cambios en sus existencias de artículos no vendidos. Sin duda, en el caso de los artículos de consumo esto juega papel importante en sus decisiones; pero no veo el objeto de excluir la influencia que tienen sobre sus decisiones otros factores y prefiero, por tanto, poner énfasis sobre el cambio total de la demanda efectiva y no solamente sobre aquella parte de las modificaciones de la misma que refleja el aumento a la disminución de las existencias no vendidas en el periodo anterior. Más aún, en el caso del capital fijo el aumento o la disminución de su capacidad no utilizada corresponde, en sus efectos sobre las decisiones de producir, al crecimiento o disminución de las existencias no vendidas y no veo cómo el método de Hawtrey pueda manejar este factor que es por lo menos tan importante como el otro.

Parece probable que la formación de capital y consumo de capital tal como los considera la escuela austriaca de economistas, no sean idénticos ya sea con la inversión o desinversión como se definieron antes, o con la inversión o desinversión netas. En especial, se dice que el consumo de capital ocurre en circunstancias tales que claramente no hay disminución neta en el equipo productor, de acuerdo con la definición que antes dimos de él. Sin embargo, no he podido descubrir referencia alguna a un pasaje donde se explique claramente el significado de estos términos. Por ejemplo, decir que la formación de capital ocurre cuando se prolonga el periodo productivo no hace adelantar gran cosa el asunto.

III

Pasamos ahora a las divergencias entre ahorro e inversión debidas a una definición especial de ingreso y, por tanto, del excedente del ingreso sobre el consumo. El uso que hice de estos términos en mi Treatise on Money es un buen ejemplo; porque, como expliqué en la página 62, la definición de ingreso que allí usé difiere de la que ahora doy en que consideraba como ingreso de los empresarios no las ganancias que realmente han logrado sino (en cierto sentido) su “ganancia normal”. Así, por excedente del ahorro sobre la inversión quería decir que la escala de producción era tal que los empresarios estaban obteniendo una ganancia inferior a la normal como propietarios del equipo de capital; y por un excedente mayor del ahorro sobre la inversión entendía que se estaban reduciendo las ganancias reales de tal manera que los empresarios tendrían motivo para contraer la producción.

Ahora pienso que el empresario fija el volumen de ocupación (y, en consecuencia, el de la producción y del ingreso real) impulsado por el deseo de obtener un máximo de ganancias presentes y futuras (determinado el cálculo del costo de uso, por su punto de vista, sobre la forma de usar el equipo de manera que le dé el rendimiento máximo durante la vida del mismo); en tanto que el volumen de ocupación que producirá este máximo de ganancias depende de la función de demanda agregada que se derive de su expectativa de lo que obtendrá por las ventas resultante del consumo y de la inversión, respectivamente, en diversas hipótesis. El concepto de cambios en el excedente de la inversión sobre el ahorro, que sustenté en mi Treatise on Money, era una forma de manejar los cambios en las ganancias, aunque en ese libro no hice distinción clara entre los resultados previstos y los realizados.1[43] Dije allí que el cambio en el excedente de la inversión sobre el ahorro era la fuerza motora que regía las modificaciones en el volumen de la producción. De este modo resulta que el nuevo argumento, aunque (según ahora creo) mucho más preciso e instructivo, es esencialmente un desarrollo del anterior. Expresado en el lenguaje de mi Treatise on Money, diría así: dado el volumen anterior de ocupación y producción, la expectativa de un aumento en el excedente de la inversión sobre el ahorro inducirá a los empresarios a aumentar la magnitud de aquéllas. La importancia de mis razonamientos anteriores y actuales reside en su intento de mostrar que el volumen de ocupación está determinado por las previsiones de la demanda efectiva hechas por los empresarios, siendo criterio para un aumento en dicha demanda la expectativa de un incremento relativo de la inversión sobre el ahorro, de acuerdo con la definición de estos términos dada en mi Treatise on Money. Pero mi exposición en ese libro es, por supuesto, muy confusa e incompleta a la luz de los desarrollos posteriores aquí expuestos.

D. H. Robertson ha definido el ingreso de hoy como si fuera igual al consumo de ayer, más la inversión; de modo que el ahorro presente, en el sentido que él lo considera, es igual a la inversión de ayer más el exceso de consumo de ayer sobre el consumo de hoy. En esta definición cabe un excedente del ahorro sobre la inversión, a saber por haber un excedente en el ingreso de ayer (de acuerdo con el sentido que yo le doy) sobre el de hoy. Así, pues, cuando Robertson dice que existe un excedente del ahorro sobre la inversión, quiere decir literalmente lo mismo que yo cuando digo que el ingreso está decayendo, y para él el excedente de ahorro es exactamente igual al descenso del ingreso para mí. Si fuera cierto que las previsiones de hoy estuvieran siempre determinadas por los resultados obtenidos ayer, la demanda efectiva de hoy sería igual al ingreso de ayer. En consecuencia, el método de Robertson podría ser considerado como un intento alternativo del mío (siendo, tal vez, una primera aproximación a él) de efectuar la misma distinción, tan vital para el análisis causal, que ya he tratado de hacer por medio del contraste entre la demanda efectiva y el ingreso.[44]

IV

Seguimos ahora con las ideas mucho más vagas relativas a la frase “ahorro forzado”. ¿Tiene algún sentido esta expresión? En mi Treatise on Money (vol. I, p. 171) di algunos datos sobre el uso primitivo de esta frase y sugerí que tenía cierta afinidad con la diferencia entre inversión y “ahorro” en el sentido en que allí usé este último término, pero ya no confío en la existencia de tal afinidad, como antes supuse. En todo caso, estoy seguro de que “ahorro forzado” y las frases análogas empleadas más recientemente (por ejemplo, por el profesor Hayek y el profesor Robbins) no tienen relación definida con la diferencia entre inversión y “ahorro” en el sentido expuesto en mi Treatise on Money, porque si bien estos autores no han explicado exactamente lo que quieren decir con dicho término, es claro que para ellos el “ahorro forzado” es un fenómeno que resulta directamente de los cambios en la cantidad de dinero o del crédito bancario y se mide por ellos.

Es evidente que un cambio en el volumen de la producción y de la ocupación ocasionará otro en el ingreso medido en unidades de salarios; también, que una modificación en la unidad de salarios ocasionará una redistribución del ingreso entre prestatarios y prestamistas, así como una alteración en el ingreso total medido en dinero; y que esto, en cualquier caso, hará (o puede hacer) cambiar el monto de lo ahorrado. Por consiguiente, ya que las variaciones en la cantidad de dinero pueden traducirse en cambios en el volumen y la distribución del ingreso, a través de sus efectos sobre la tasa de interés (como veremos más adelante), tales modificaciones pueden comportar, indirectamente, otras correspondientes en el monto de lo ahorrado. Pero estos cambios en las cantidades ahorradas no tienen más de “ahorro forzado” que los operados en las cantidades ahorradas con motivo de una variación en las circunstancias; y no hay medio para distinguir entre ambos casos, a menos que especifiquemos el monto ahorrado en ciertas condiciones tomadas como norma o patrón. Más aún, como veremos después, la magnitud de los cambios en el ahorro total, que resulta de una modificación determinada en la cantidad de dinero, es sumamente variable y depende de muchos otros factores.

Por consiguiente, el “ahorro forzado” no tiene significado hasta que tomemos como patrón algún tipo de ahorro. Si seleccionamos (como sería razonable) el tipo de ahorro que corresponde a un estado firme de ocupación plena, la definición anterior se expresaría así: “ahorro forzado es el excedente del ahorro real sobre lo que se ahorraría si hubiera ocupación plena en una posición de equilibrio a largo plazo”. Esta definición tendría sentido, pero significaría que un excedente forzado de ahorro sería un fenómeno muy raro e inestable, y una deficiencia forzada de ahorro el estado usual de cosas.

La interesante “Nota sobre el desarrollo de la doctrina del ahorro forzado” del profesor Hayek[45] muestra que éste fue de hecho el significado original del término. “Ahorro forzado” o “frugalidad forzada” era, en primer lugar, un concepto de Bentham, quien afirmó expresamente que se refería a las consecuencias de un aumento en la cantidad de dinero (relativamente a la cantidad de cosas vendibles por dinero) en circunstancias tales que “todos los brazos estuvieran empleados, y esto de la manera más ventajosa posible”.[46] En tales circunstancias, indica Bentham, el ingreso real no puede aumentarse y, en consecuencia, la inversión adicional que se efectúa como resultado de la transición implica frugalidad forzada “a expensas de la comodidad y de la justicia nacionales”. Todos los escritores del siglo XIX que se ocuparon de este asunto tuvieron presente virtualmente la misma idea; pero un intento para ampliar esta noción bien clara a condiciones de menos ocupación que la total, entraña dificultades. Es cierto, por supuesto (debido al hecho de que el rendimiento decrece cuando se aplica más ocupación a un determinado equipo de capital) que cualquier aumento en la ocupación supone algún sacrificio del ingreso real de aquellos que ya estaban ocupados, pero no es probable que tenga éxito el intento de relacionar esta pérdida con el crecimiento de la inversión que puede acompañar al aumento de ocupación. De todos modos, yo no sé que los escritores modernos interesados en el “ahorro forzado” hayan hecho ningún intento de ampliar la idea a una situación de ocupación en aumento; y al parecer, por regla general, han descuidado el hecho de que la extensión del concepto benthamiano de la frugalidad forzada a la situación de ocupación menos que total requiere alguna explicación o requisito.

V

A mi modo de ver, la preponderancia de la idea de que el ahorro y la inversión, considerados en su estricto sentido, pueden diferir uno de otro, sólo se explica por una ilusión óptica debida a que la relación entre un depositante individual y su banco se considera como una operación unilateral, en vez de bilateral, como es en realidad. Se supone que un depositante y su banco tienen manera de ingeniarse para efectuar una operación mediante la cual los ahorros pueden desaparecer del sistema bancario en tal forma que se pierden para la inversión; o, al contrario, que el sistema bancario puede conseguir que haya una inversión a la que no corresponda ahorro alguno. Pero nadie puede ahorrar sin adquirir un bien, ya sea en efectivo, en forma de una deuda o de un bien capital; y nadie puede adquirir un bien que antes no poseía, a menos que se produzca otro nuevo de valor igual o alguien más se desprenda de un bien igualmente valioso que antes poseía. En la primera alternativa existe una nueva inversión correspondiente; en la segunda alguien ha de des-ahorrar una suma igual, porque su pérdida de riqueza tiene que deberse a un excedente de su consumo sobre su ingreso y no a una pérdida de capital por cambio en el valor de un bien capital, desde el momento que no es el caso de que esté resintiendo una pérdida en el valor que su bien tenía antes; el interesado percibe justamente el valor corriente de su bien y, sin embargo, no lo retiene en forma alguna de riqueza, es decir, tiene que gastarlo en el consumo presente en exceso al ingreso corriente que recibe; más aún, si es el sistema bancario el que se desprende de un bien, alguien tiene que desprenderse de efectivo. De esto se deduce que el ahorro total del primer individuo, sumado al de los demás, debe ser igual, por fuerza, al monto de las nuevas inversiones corrientes.

La idea de que la creación de crédito por el sistema bancario permite que se efectúen nuevas inversiones a las que no corresponda “ningún ahorro genuino”, solamente puede ser el resultado de aislar una de las consecuencias del aumento del crédito bancario, con exclusión de las demás. Si la concesión a un empresario de un crédito bancario adicional sobre los créditos que ya existían previamente le permite añadir algo a su inversión actual, que no hubiera podido hacer de otro modo, los ingresos aumentarán por necesidad, y en una proporción que normalmente excederá la del aumento de inversión. Todavía más, excepto en estado de ocupación plena, habrá un aumento tanto del ingreso real como del monetario. El público ejercerá “una libre elección” de las proporciones en que dividirá su aumento de ingresos entre ahorro y gasto; y es imposible que la intención del empresario que ha pedido prestado para aumentar la inversión pueda hacerse efectiva (excepto como sustitución de inversiones de otros empresarios que, de lo contrario, hubieran ocurrido) a velocidad superior a la que el público decide aumentar sus ahorros. Además, los ahorros que resultan de esta decisión son tan auténticos como cualquier otro ahorro. No se puede obligar a nadie a poseer el dinero adicional correspondiente al nuevo crédito bancario, a menos que deliberadamente prefiera guardar más en dinero que en otra forma de riqueza. No obstante, la ocupación, los ingresos y los precios no pueden sustraerse al movimiento que en la nueva situación les imprime el hecho de que alguien prefiera conservar el dinero adicional. Es verdad que un aumento inesperado de la inversión en una dirección particular puede producir una irregularidad en la tasa del ahorro y de la inversión agregados que no se habría presentado si se hubiera previsto adecuadamente. También es cierto que la concesión del crédito bancario pondrá en movimiento tres tendencias: 1) aumento de la producción, 2) alza en el valor del producto marginal medido en unidades de salarios (lo que, en condiciones de rendimiento decreciente, necesariamente debe acompañar a un aumento de la producción), y 3) alza de la unidad de salarios en términos monetarios (desde el momento en que esto es una concomitancia frecuente de la mejoría en la ocupación); y estas tendencias pueden afectar la distribución del ingreso real entre los diferentes grupos; pero son características de un estado de producción creciente y ocurrirá lo mismo si el aumento de producción se inició en otra forma distinta del crecimiento del crédito bancario. Solamente pueden evitarse eliminando cualquier actividad capaz de mejorar la ocupación. Sin embargo, mucho de esto es anticipar el resultado de discusiones a que todavía no hemos llegado.

De este modo, el punto de vista pasado de moda de que el ahorro siempre supone inversión, aunque incompleto y desorientador, es formalmente más sólido que el novedoso según el cual puede haber ahorro sin inversión o inversión sin ahorro “genuino”. El error está en llegar a la justificable inferencia de que, cuando un individuo ahorra, aumenta en igual cantidad la inversión agregada. Es verdad que cuando un individuo ahorra aumenta su propia riqueza; pero la conclusión de que también aumenta la riqueza total pasa por alto la posibilidad de que un acto de ahorro individual puede reaccionar sobre los ahorros de alguien más y, en consecuencia, sobre la riqueza de éste.

La reconciliación de la identidad entre el ahorro y la inversión con la aparente “libre voluntad” del individuo para ahorrar lo que quiera, independientemente de lo que otros puedan invertir, depende especialmente de que el ahorro es, como el gasto, un fenómeno doble; porque si bien no es probable que el monto de su ahorro propio tenga alguna influencia notable sobre su ingreso, las reacciones del monto de su consumo sobre los ingresos de los demás hacen imposible que todos los individuos ahorren simultáneamente cualquier suma dada. Todo intento de ahorrar más, reduciendo el consumo, afectará de tal modo los ingresos que necesariamente se anulará a sí mismo. Por supuesto que es también imposible para la comunidad ahorrar menos que el monto de la inversión corriente, ya que el intento de hacerlo así aumentará sin remedio los ingresos hasta un nivel en el cual las sumas que los individuos decidan ahorrar den una cifra exacta igual al monto de la inversión.

Lo anterior es muy semejante a la proposición que armoniza la libertad de todo individuo para hacer variar, cuando lo cree conveniente, la cantidad de dinero que conserva, con la necesidad de que el volumen total de dinero formado por la suma de los saldos individuales iguale exactamente el monto en efectivo que el sistema bancario ha creado. En este último caso, la igualdad se produce por el hecho de que el volumen de dinero que la gente decide conservar no es independiente de sus ingresos o de los precios de las cosas (primordialmente valores), cuya compra es la disyuntiva natural de la conservación de dinero. De este modo, los ingresos, lo mismo que los precios, necesariamente cambian hasta que el monto de las sumas totales de dinero que los individuos deciden guardar en el nuevo nivel de ingresos y precios así logrado, llega a ser igual a la suma de dinero creada por el sistema bancario. Ésta es, en verdad, la proposición fundamental de la teoría monetaria.

Pero estas proposiciones se deducen simplemente del hecho de que no puede haber un comprador sin un vendedor ni un vendedor sin un comprador. Aunque un individuo cuyas operaciones son pequeñas en relación con el mercado puede, sin peligro, desdeñar el hecho de que la demanda no es una operación unilateral, es una tontería despreciarlo cuando se trata de la demanda agregada. Esta es la diferencia vital entre la teoría de la conducta económica del conjunto y la de una unidad individual, para la cual suponemos que los cambios en la demanda del individuo no afectan su ingreso.

 


 *

LIBRO III

LA PROPENSIÓN A CONSUMIR

CAPÍTULO 8

LA PROPENSIÓN A CONSUMIR: I. LOS FACTORES OBJETIVOS

I

PODEMOS YA VOLVER NUESTRA ATENCIÓN sobre el tema principal, del que nos apartamos al final del Libro I con el fin de ocuparnos de ciertos problemas generales de método y definición. El objeto final de nuestro análisis es descubrir lo que determina el volumen de ocupación. Ya hemos establecido la conclusión preliminar de que el volumen de ocupación está determinado por el punto de intersección de la función de oferta agregada con la función de demanda agregada. La función de oferta agregada, sin embargo, que depende principalmente de las condiciones físicas de la oferta, lleva consigo pocas consideraciones que no sean ya familiares. La forma puede ser poco conocida, pero los factores que hay en el fondo no son nuevos. Volveremos a ocuparnos de la función de oferta agregada en el capítulo 20, en el que estudiaremos su recíproca con el nombre de función de ocupación. Pero, en general, lo que se ha descuidado ha sido la parte correspondiente a la función de demanda agregada, y a ella dedicaremos los Libros III y IV.

La función de demanda agregada relaciona cualquier nivel dado de ocupación con los ingresos por las ventas que se esperan del mismo. Esos ingresos se forman de la suma de dos cantidades —la que se gastará en consumir cuando la ocupación está a cierto nivel y la que se destinará a la inversión—. Los factores que determinan estas dos cantidades son muy distintos. En este Libro estudiaremos los primeros, es decir, aquellos que determinan la suma que se gastará en consumo cuando la ocupación está a determinado nivel; y en el Libro IV nos ocuparemos de los que fijan la suma que se empleará en la inversión.

Como en esta parte nos interesa determinar qué suma se gastará en consumir cuando la ocupación está a cierto nivel, deberíamos, hablando en sentido estricto, considerar la función que liga la primera cantidad (C) con la segunda (N). Conviene más, sin embargo, operar con una función algo diferente, es decir, la que liga el consumo, medido en unidades de salario (Cs), con el ingreso en términos de unidades de salario Ys, correspondiente a un nivel dado de ocupación N.

Esto está sujeto a la objeción de que Ys no es función única de N, que es igual en cualquier circunstancia; porque la relación entre Ys y N puede depender (aunque probablemente en grado mucho menor) de la naturaleza precisa de la ocupación. Es decir, dos distribuciones desiguales de una ocupación agregada determinada (N) entre diferentes ocupaciones (debido a la forma diferente de las funciones de empleo individual —tema que se examinará en el capítulo 20—) podrían conducir a diferentes valores de Ys. En circunstancias concebibles debería hacerse una asignación especial para este factor; pero, en general, es buena aproximación considerar Ys como si estuviera determinado únicamente por N. Por consiguiente, definiremos lo que hemos llamado la propensión a consumir como la relación funcional χ entre Ys, un nivel de ingreso dado, medido en unidades de salario, y Cs, el gasto que para el consumo se toma de dicho nivel de ingreso, de manera que

Cs = χ (Ys), o C = S χ (Ys).

La suma que la comunidad gasta en consumo depende evidentemente, de 1) el monto de su ingreso, 2) otras circunstancias objetivas que lo acompañan, y 3) las necesidades subjetivas y las inclinaciones psicológicas y hábitos de los individuos, así como de los principios según los cuales se divide el ingreso entre ellos (lo que puede sufrir modificaciones según aumenta la producción). Las razones que impulsan a gastar reaccionan entre sí y un intento de clasificarlas corre el peligro de caer en una falsa división. Para aclarar ideas, será útil, no obstante, considerarlas separadamente bajo dos títulos diferentes que llamaremos los factores subjetivos y los factores objetivos. Los primeros, que examinaremos con mayor detalle en el próximo capítulo, incluyen aquellas características psicológicas de la naturaleza humana y aquellas prácticas e instituciones sociales que, si bien no son inalterables, no presentan probabilidades de sufrir un cambio sustancial en periodos cortos, excepto en circunstancias anormales o revolucionarias. En una investigación histórica, o al comparar un sistema social con otro de tipo diferente, es necesario tomar en cuenta la forma en que los cambios en los factores subjetivos puedan afectar la propensión a consumir; pero, en general, supondremos en lo sucesivo que los factores subjetivos se conocen, y también que la propensión a consumir depende solamente de los cambios en los factores objetivos.

II

Los principales factores objetivos que influyen en la propensión a consumir parecen ser los siguientes:

1) Un cambio en la unidad de salario. El consumo (C) es evidentemente más bien una función del ingreso real (en cierto sentido) que del ingreso monetario. En una situación dada de la técnica, los gustos y las condiciones sociales que determinan la distribución del ingreso, el ingreso real de una persona subirá y bajará con la cantidad de unidades de trabajo de que puede disponer, es decir, con el monto de su ingreso medio en unidades de salario; aunque, cuando el volumen agregado de producción cambia, su ingreso real subirá menos que proporcionalmente a su ingreso medido en unidades de salario (debido a la influencia de los rendimientos decrecientes). Por consiguiente, como primera aproximación, podemos suponer razonablemente que, si la unidad de salario varía, el gasto en consumo correspondiente a un nivel dado de ocupación cambiará, como los precios, en la misma proporción; aunque en ciertas circunstancias tal vez tendríamos que tener en cuenta las posibles reacciones que los cambios en la distribución de un ingreso real dado entre empresarios y rentistas tendrían sobre el consumo total, a resultas de un cambio en la unidad de salario. Fuera de esto, ya hemos tomado en consideración los cambios en la unidad de salario al definir la propensión a consumir en términos de ingreso, medido en dichas unidades.

2) Un cambio en la diferencia entre ingreso e ingreso neto. Hemos visto antes que el monto del consumo depende del ingreso neto más que del ingreso simplemente, ya que, por definición, es el que el hombre tiene a la vista, principalmente, cuando decide la escala en que ha de consumir. En una situación determinada puede existir cierta relación estable entre los dos, en el sentido de que habrá una función única que relacione los diferentes niveles de ingreso con los correspondientes de ingreso neto. Sin embargo, si éste no fuera el caso, la parte de cualquier modificación del ingreso que no se refleje en el ingreso neto debe desdeñarse, pues no tendrá efecto sobre el consumo; y de manera semejante debe ser tomada en cuenta la posibilidad de un cambio en el ingreso neto, no manifestado en el ingreso. Salvo en circunstancias especiales, sin embargo, dudo de la importancia práctica de este factor. Volveremos a tratar más ampliamente los efectos sobre el consumo de la diferencia entre ingreso e ingreso neto en la sección cuarta de este capítulo.

3) Cambios imprevistos en el valor del capital, no considerados al calcular el ingreso neto. Éstos tienen importancia mayor para modificar la propensión a consumir, desde el momento que no guardan relación estable a regular con el monto del ingreso. El consumo de las clases propietarias de riqueza puede ser extraordinariamente sensible a cambios imprevistos en el valor monetario de la riqueza. Esto debería clasificarse entre los factores más importantes susceptibles de ocasionar cambios a corto plazo en la propensión a consumir.

4) Cambios en la tasa de descuento del futuro, es decir, en la relación de cambio entre los bienes presentes y los futuros. Esto no es precisamente lo mismo que la tasa de interés, ya que tiene en cuenta los cambios futuros en el poder adquisitivo del dinero, en la medida en que son previstos. También se tiene que tomar en cuenta toda clase de riesgos, tales como la probabilidad de no vivir para gozar los bienes futuros o la de una tributación confiscatoria. En calidad de aproximación, sin embargo, puede identificarse con la tasa de interés.

La influencia de este factor sobre la proporción de gastos que se hacen con un ingreso dado se presta a muchas dudas. Para la teoría clásica de la tasa de interés,[47] que se basó en la idea de que la tasa de interés era el factor que ponía en equilibrio la oferta y la demanda de ahorros, era conveniente suponer que el gasto en consumo es, ceteris paribus, negativamente sensible a los cambios en la tasa de interés de manera que cualquier alza de la misma disminuiría perceptiblemente el consumo. Se ha reconocido desde hace mucho, no obstante, que el efecto total de los cambios en la tasa de interés sobre la inclinación a gastar en consumo presente es compleja e incierta, dependiendo de tendencias en conflicto, ya que algunos de los motivos subjetivos para ahorrar se satisfarán con mayor facilidad si la tasa de interés sube, en tanto que otros se debilitarán. En un periodo largo, es probable que los cambios sustanciales en la tasa de interés tiendan a modificar los hábitos sociales considerablemente, afectando así la propensión subjetiva a gastar —aunque resulta difícil decir en qué dirección, excepto después de haberlo indicado la experiencia—. Sin embargo, no es probable que la clase usual de fluctuaciones a corto plazo en la tasa de interés tenga mucha influencia directa sobre los gastos en tal o cual sentido. No hay mucha gente que altere su modo de vivir porque la tasa de interés baje de 5 a 4 por ciento, si su ingreso global es el mismo de antes; pero, indirectamente, pueden presentarse otros efectos, aunque no todos en la misma dirección. Quizá la influencia más importante, que opera a través de cambios en la tasa de interés sobre la disposición para gastar fondos procedentes de un ingreso dado, sea el efecto de estos cambios sobre la apreciación o la depreciación de los valores y otros bienes, porque si un hombre disfruta de un aumento inesperado en el valor de su capital, es natural que las razones que lo inducen a gastar actualmente se fortalezcan, aun cuando, desde el punto de vista de su ingreso, dicho capital no sea más valioso que antes; y se debiliten si está sufriendo pérdidas de capital. Pero ya en el inciso 3 hemos previsto esta influencia indirecta. Fuera de esto, la conclusión más importante sugerida por la experiencia es, según creo, que la influencia a corto plazo de la tasa de interés sobre los gastos individuales hechos con un determinado ingreso es secundaria y carece relativamente de importancia, excepto, quizá, cuando se presenten cambios excepcionalmente grandes. Cuando la tasa de interés baja mucho, el aumento de la proporción entre una renta anual vitalicia que puede comprarse por una suma dada y el interés anual de esta última puede, sin embargo, proporcionar una fuente importante de ahorro negativo al fortalecer la práctica de prevenirse para la vejez por medio de la compra de una renta vitalicia.

Quizá debiera también clasificarse bajo este título aquella situación anormal en que la propensión a consumir puede estar agudamente afectada por el desarrollo de una incertidumbre extrema concerniente al futuro y lo que con él pueda venir.

5) Cambios en la política fiscal. En la medida en que la propensión del individuo a ahorrar dependa de los futuros rendimientos que espera, es claro que está ligada, no sólo con la tasa de interés, sino con la política fiscal del gobierno. Los impuestos sobre el ingreso, especialmente cuando discriminan contra el ingreso “no ganado”, los impuestos sobre las ganancias del capital, los impuestos sobre herencias y otros similares, son tan importantes como la tasa de interés; en tanto que el alcance de los posibles cambios en la política fiscal puede ser mayor, en las previsiones por lo menos, que el de la tasa misma. Si la política fiscal se usa como un instrumento deliberado para conseguir la mayor igualdad en la distribución de los ingresos, su efecto sobre el aumento de la propensión a consumir es, por supuesto, tanto mayor.[48]

 Debemos también tener en cuenta el efecto sobre la propensión global a consumir, cuando el gobierno reserva fondos de los impuestos ordinarios para el pago de deudas; porque esto representa una especie de ahorro social, de manera que una política que tiende a crear grandes fondos de reserva debe considerarse, en determinadas circunstancias, como reductora de la propensión a consumir. Esta es la razón por la cual un cambio de frente de la política gubernamental, pasando de la aceptación de deudas a la creación de fondos de reserva (o viceversa), puede ocasionar una severa contracción (o notable ampliación) de la demanda efectiva.

6) Cambios en las expectativas acerca de la relación entre el nivel presente y el futuro del ingreso. Debemos catalogar este factor en obsequio a la integridad formal; pero si bien puede afectar considerablemente la propensión a consumir de un individuo, es probable que, para la comunidad en conjunto, se neutralice. Además, por regla general, es un problema que origina demasiada incertidumbre para que pueda ejercer influencia considerable.

Llegamos, pues, a la conclusión de que en una situación determinada, la propensión a consumir puede considerarse como una función bastante estable, siempre que hayamos eliminado los cambios en la unidad de salario en términos de dinero. Los cambios imprevistos en el valor del capital pueden hacer variar la propensión a consumir, y las modificaciones sustanciales en la tasa de interés y en la política fiscal pueden producir cierta diferencia; pero los otros factores objetivos que pudieran afectarla, si bien no deben ser despreciados, no es probable que tengan importancia en circunstancias ordinarias.

El hecho de que, dada la situación económica general, el gasto en consumo en términos de unidades de salario depende principalmente del volumen de la producción y ocupación, justifica que consideremos los otros factores en la función general, “propensión a consumir”; porque mientras los demás pueden variar (y esto no debe olvidarse) el ingreso total medido en unidades de salario es, por regla general, la principal variable de que depende el elemento consumo de la función de demanda agregada.

III

Admitido, pues, que la propensión a consumir es una función bastante estable, de tal manera que, por lo general, el monto del consumo, en conjunto, depende principalmente del volumen de ingreso total (ambos medidos en unidades de salario); y considerando los cambios en la propensión misma como de importancia secundaria ¿cuál es la forma normal de esta función?

La ley psicológica fundamental en que podemos basarnos con entera confianza, tanto a priori partiendo de nuestro conocimiento de la naturaleza humana como de la experiencia, consiste en que los hombres están dispuestos, por regla general y en promedio, a aumentar su consumo a medida que su ingreso crece, aunque no tanto como el crecimiento de su ingreso. Esto quiere decir que si Cs es el monto del consumo e Ys el ingreso (ambos medidos en unidades de salario), ∆Cs tiene el mismo signo que ∆Ys, pero es de menor magnitud, es decir,

Esto es así especialmente cuando pensamos en periodos cortos, como en el caso conocido con el nombre de fluctuaciones cíclicas de la ocupación, durante las cuales los hábitos, a diferencia de otras propensiones psicológicas más permanentes, no cuentan con tiempo bastante para adaptarse a los cambios en las circunstancias objetivas; porque la norma de vida habitual de un hombre es generalmente lo que tiene primacía sobre la distribución de su ingreso y puede ahorrar la diferencia que haya entre su ingreso real y los gastos acostumbrados para su nivel de vida; o bien, si ajusta sus gastos a las alteraciones en sus ingresos, lo hará imperfectamente en periodos cortos. De este modo, un ingreso creciente irá con frecuencia acompañado de un ahorro mayor; y un ingreso en descenso, acompañado de un ahorro menor, en mayor escala al principio que después.

Pero fuera de los cambios de periodo corto en el nivel del ingreso, también es evidente que un nivel absoluto mayor de ingresos se inclinará, por regla general, a ensanchar la brecha que separa al ingreso del consumo; porque la satisfacción de las necesidades primarias inmediatas de un hombre y su familia es, generalmente, un motivo más fuerte que los relativos a la acumulación, que sólo adquieren predominio efectivo cuando se ha alcanzado cierto margen de comodidad. Estas razones impulsarán casi siempre a ahorrar mayor proporción del ingreso cuando el ingreso real aumenta. Pero, ahórrese o no una proporción mayor, consideramos como regla psicológica fundamental de cualquier sociedad actual que, cuando su ingreso real va en aumento, su consumo no crecerá en una suma absoluta igual, de manera que tendrá que ahorrarse una suma absoluta mayor, a menos que al mismo tiempo ocurra un cambio desusado en los otros factores. Como veremos después,[49] la estabilidad del sistema económico depende esencialmente de que esta regla opere en la práctica. Esto quiere decir, si la ocupación y, por tanto, el ingreso total aumentan, no toda la ocupación adicional se requerirá para satisfacer las necesidades del consumo adicional.

Por otra parte, una disminución del ingreso, debida a un descenso en el nivel de ocupación, si llega lejos, puede incluso ser motivo de que el consumo exceda a los ingresos, no solamente debido a que ciertos individuos o instituciones usen las reservas financieras que hayan acumulado en mejores tiempos, sino también porque el gobierno podría caer, de buena o mala gana, en un déficit presupuestal o procurar algún alivio a la desocupación, por ejemplo, con dinero prestado. Así, cuando la ocupación desciende a un nivel bajo, el consumo total decaerá en proporción menor de lo que haya bajado el ingreso real, debido a la conducta habitual de los individuos y también a la política probable de los gobiernos; lo cual explica por qué es a menudo posible alcanzar una nueva posición de equilibrio con una fluctuación de pequeña amplitud. De no ser así, el descenso en la ocupación y el ingreso, una vez iniciado, podría llegar muy lejos.

Este sencillo principio conduce, como se verá, a la misma conclusión que antes, a saber, que la ocupación solamente puede aumentar pari passu con un crecimiento de la inversión, a menos, desde luego, que ocurra un cambio en la propensión a consumir; porque desde el momento en que los consumidores van a gastar menos de lo que importa el alza en el precio de oferta agregada cuando la ocupación es mayor, el aumento de ésta dejará de ser costeable, excepto si hay aumento en la inversión para llenar la brecha.

IV

No debemos subestimar la importancia del hecho ya mencionado antes de que, mientras la ocupación es función del consumo y la inversión previstos, el consumo es, ceteris paribus, función del ingreso neto, es decir, la inversión neta (siendo el ingreso neto igual al consumo más la inversión neta). En otras palabras, cuanto mayor sea la reserva financiera que se crea necesario apartar antes de considerar el ingreso neto, tanto menos favorable será para el consumo y, por tanto, para la ocupación, un nivel determinado de inversión.

Cuando toda esta reserva financiera (o costo suplementario) se gasta de hecho en la conservación del equipo de capital existente, no es probable que esto se olvide; pero cuando excede al gasto real de conservación, los resultados prácticos, por lo que respecta a sus efectos sobre la ocupación, no siempre se aprecian; porque el monto de este excedente ni da origen de modo directo a una inversión corriente ni se encuentra disponible para dedicarlo al consumo. Tiene, por tanto, que equilibrarse con nuevas inversiones, cuya demanda ha surgido en forma por completo independiente del desgaste actual del equipo viejo, para el que se ha hecho la reserva financiera; con la consecuencia de que la nueva inversión disponible para proveer el ingreso actual disminuye paralelamente y se hace necesaria una demanda más intensa para nuevas inversiones, de manera que sea posible alcanzar un nivel dado de ocupación. Todavía más, las mismas consideraciones se aplican, en gran parte, a la partida relativa a desperdicio incluida en el costo de uso, en la medida en que aquél no se enmiende en realidad.

Pensemos, por ejemplo, en una casa que sigue siendo habitable hasta que es demolida o abandonada. Si de la renta anual pagada por los inquilinos se descuenta cierta suma de su valor, que el propietario no gasta en su conservación ni considera como ingreso neto disponible para el consumo, esta reserva, ya forma parte de U o de V, constituye una traba para el empleo durante todo el tiempo que dure la casa, que desparece de pronto cuando ésta tiene que ser reconstruida.

En una economía estacionaria quizá no valiera la pena mencionar todo esto, ya que en cada año las asignaciones para la depreciación, con respecto a las casas viejas, quedarían compensados exactamente por las casas nuevas que se construyeran en sustitución de las que llegan al fin de su vida cada año; pero tales factores pueden ser de mucha importancia en una economía no estática, especialmente durante el periodo que sigue de inmediato a un vigoroso brote de inversión de capital a largo plazo; porque en tales circunstancias gran parte de las nuevas partidas de inversión puede ser absorbida por las mayores reservas financieras que hacen los empresarios para reparar y renovar el equipo de capital existente, el cual, aunque se desgasta con el tiempo, todavía no ha llegado a la fecha en que deben hacerse gastos que puedan aproximarse al total de la reserva financiera que se aparta; con la consecuencia de que los ingresos no pueden subir por encima de un nivel lo bastante bajo para corresponder a un agregado pequeño de inversión neta. De este modo, los fondos de amortización, etc., pueden restar a los consumidores poder para gastar mucho antes de que entre en juego la demanda de gastos de reposición (que dichas reservas anticipan); es decir, hacen disminuir la demanda efectiva corriente y sólo la aumentan en el año en que se hace la reposición. Si los efectos de esto se agravan con la “prudencia financiera”, es decir, con el hecho de pensarse que es aconsejable “amortizar” el costo inicial con mayor rapidez que el desgaste real del equipo, el resultado acumulativo puede ser muy serio.

En Estados Unidos, por ejemplo, hacia 1929, la rápida expansión de capital en los cinco años anteriores había conducido acumulativamente a erigir fondos de amortización y márgenes de depreciación en tan grande escala, con relación al equipo que no necesitaba ser renovado, que se requirió un volumen enorme de inversiones completamente nuevas sólo para absorber estas reservas financieras; y llegó a ser casi imposible encontrar todavía más inversiones nuevas en suficiente escala para absorber el ahorro nuevo que una sociedad rica y con ocupación plena hubiera estado dispuesta a realizar. Este solo factor bastó probablemente para ocasionar una depresión y, más aún, como la “prudencia financiera” de esta clase continuó ejerciéndose a través de la presión por aquellas grandes sociedades que estaban todavía en posibilidad de soportarla, el hecho ofreció un obstáculo serio para la pronta recuperación.

También en Gran Bretaña en la actualidad (año 1935) el gran volumen de la edificación y otras nuevas inversiones que han tenido lugar a partir de la guerra han llevado a un volumen de fondos de amortización muy por encima de las necesidades presentes para los gastos en reparaciones y renovaciones, tendencia que se ha fortalecido cuando las inversiones se han hecho por las autoridades locales y juntas públicas, de acuerdo con los principios de finanzas “sanas” que frecuentemente requieren fondos de amortización suficientes para recuperar el costo inicial algún tiempo antes de que la reposición se haga necesaria; con la consecuencia de que aunque los individuos estuvieran dispuestos a gastar el total de sus ingresos netos, resultaría una tarea muy difícil restaurar la ocupación plena con este volumen opresivo de reservas establecidas por las autoridades públicas y semipúblicas, enteramente disociadas de cualquier inversión nueva correspondiente. Creo que en la actualidad[50] los fondos de amortización de las autoridades locales alcanzan una cifra anual de más de la mitad de la suma que estas autoridades están gastando en todas sus nuevas mejoras.[51] Sin embargo, no es seguro que el Ministerio de Salubridad haya advertido, cuando insiste en que las autoridades locales amorticen rápidamente sus gastos, cuánto pueden estar agravando el problema de la desocupación. En el caso de anticipos por parte de las Sociedades Constructoras Mutualistas para ayudar a un individuo a construir su propia casa, el deseo de liberarse del débito más rápidamente de lo que la casa se deteriora en realidad, puede estimular al propietario a guardar más de lo que en otra forma ahorraría; aunque quizá debiera considerarse que este factor reduce directamente la propensión a consumir, más que a través de sus efectos sobre el ingreso neto. Según las cifras reales, los reintegros de las hipotecas financiadas por las Sociedades Constructoras Mutualistas, que llegaban a £ 24,000,000 en 1925, habían subido a £ 68,000,000 en 1933, en comparación con nuevos anticipos de £ 103,000,000; y hoy los reintegros son probablemente todavía mayores.

El hecho de que sea la inversión más bien que la inversión neta la que surja de las estadísticas de la producción se desprende en forma concluyente y natural de la obra National Income, 1924-1931 de Colin Clark. También muestra la gran proporción que guardan normalmente la depreciación, etc., con respecto al valor de la inversión. Por ejemplo, calcula que en Gran Bretaña, durante los años de 1928 a 1931,[52] la inversión y la inversión neta fueron como sigue (aunque la inversión bruta para él es probablemente algo mayor que la inversión para mí, ya que puede incluir parte del costo de uso y no está claro hasta qué punto su “inversión neta” coincide con mi definición de este término):

Kuznets ha llegado a una conclusión muy parecida al compilar las estadísticas de la Formación Bruta del Capital (Gross Capital Formation) —como él llama a lo que yo considero inversión— en Estados Unidos, en 1910-1933. El hecho físico, que es al que corresponden las estadísticas de la producción, es inevitablemente la inversión bruta y no la neta. Kuznets ha descubierto también las dificultades de pasar de la inversión bruta a la neta. “La dificultad —escribe— de pasar de la formación bruta de capital a la neta, esto es, la dificultad de hacer correcciones al consumo de los bienes durables existentes no es únicamente la falta de datos. El mero concepto del consumo anual de bienes que duran cierto número de años adolece de ambigüedades.”[53] Vuelve, por tanto, “al supuesto de que la partida de depreciación y agotamiento en los libros de las empresas describe correctamente el volumen del consumo de los artículos durables terminados usados por ellas”. Por otra parte, no intenta hacer deducción alguna con respecto a las casas y otros bienes durables en manos de los individuos. Sus interesantes resultados para Estados Unidos pueden resumirse en la forma siguiente:

De este cuadro se destacan varios hechos. La formación neta de capital fue muy firme en el quinquenio 1925-1929, con sólo un aumento de 10 por ciento en la última etapa del movimiento ascendente. Las deducciones por los gastos que el empresario hace en reparaciones, sostenimiento, depreciación y agotamiento, se mantuvieron en una cifra alta aun en lo peor de la depresión. Pero el método de Kuznets seguramente debe llevar a una estimación demasiado baja del aumento anual en la depreciación, etc., porque calcula la última en menos de 1½ por ciento anual de la nueva formación neta de capital. Sobre todo, la formación neta de capital sufrió un espantoso colapso después de 1929, descendiendo en 1932 a una cifra no inferior al 95 por ciento por debajo del promedio del quinquenio 1925-1929.

Lo anterior es, hasta cierto punto, una digresión; pero importa hacer resaltar la magnitud de la deducción que tiene que hacerse del ingreso de una sociedad que ya posee gran existencia de capital, antes de llegar al ingreso neto que generalmente está disponible para el consumo; porque si pasamos esto por alto podemos subestimar la pesada rémora que existe sobre la propensión a consumir, aun en condiciones en que el público esté dispuesto a consumir gran parte de su ingreso neto.

El consumo —para repetir lo evidente— es el único objeto y fin de la actividad económica. Las oportunidades de ocupación están necesariamente limitadas por la extensión de la demanda agregada. Ésta puede solamente derivarse de nuestro consumo presente o de nuestras reservas para el consumo futuro. El consumo a que podemos proveer en forma costeable por adelantado no puede demorarse indefinidamente en el futuro. No podemos, como sociedad, proveer al consumo futuro por medio de expedientes financieros, sino sólo mediante la producción física corriente. En la medida que nuestra organización social y económica separa reservas financieras para el futuro de la provisión física para entonces, de manera que los esfuerzos para asegurar las primeras no arrastran necesariamente con ellas a la segunda, la prudencia financiera estará expuesta a la contingencia de provocar una disminución de la demanda total y de estorbar así el bienestar, como lo atestiguan muchos ejemplos. Más aún, cuanto mayor sea la provisión que por adelantado hayamos hecho para el consumo, más grande será la dificultad para encontrar algo más para lo cual proveer y más fuerte nuestra dependencia del consumo presente como fuente de demanda. Además, cuanto mayores sean nuestros ingresos, más grande, por desgracia, es el margen entre ellos y nuestro consumo. De modo que, a falta de algún nuevo expediente, no hay, como veremos, forma de resolver el enigma, excepto que ha de haber suficiente desocupación para que seamos tan pobres que nuestro consumo sea menor que nuestros ingresos en sólo el equivalente de la provisión física para el consumo futuro que resulte costeable producir en el presente.

Podemos considerar el problema de otro modo: el consumo se satisface parcialmente con cosas producidas en la actualidad y en parte con las producidas previamente, es decir, con la desinversión. En la medida en que el consumo se satisfaga por esta última, sobreviene una contracción de la demanda actual, ya que en la misma medida deja de tomar su cauce como parte del ingreso neto una fracción de los gastos presentes. Por el contrario, siempre que se produzca un objeto durante el periodo, con la intención de satisfacer el consumo posteriormente, se pone en movimiento una expansión de la demanda corriente. Ahora bien, toda inversión de capital está destinada a resolverse, tarde o temprano, en desinversión de capital. Por tanto, el problema de lograr que las nuevas inversiones de capital excedan siempre de la desinversión de capital en la medida necesaria para llenar la laguna que separa el ingreso neto y el consumo, presenta una dificultad creciente a medida que aumenta el capital. Las nuevas inversiones de éste sólo pueden realizarse como excedente de la desinversión actual del mismo, si se espera que los gastos futuros en consumo aumenten. Cada vez que logramos el equilibrio presente aumentando la inversión estamos agravando la dificultad de asegurar el equilibrio del mañana. Una propensión a consumir descendente en la actualidad, sólo puede amoldarse al provecho público si se espera que algún día exista una propensión mayor a consumir. Esto nos recuerda la Fábula de las abejas —los alegres de mañana son indispensables como razón de ser de los graves de hoy.

Es curioso y digno de mención que la mente popular parece advertir esta última perplejidad sólo por lo que se refiere a las inversiones públicas, como en el caso de la construcción de un ferrocarril, de casas o algo semejante. Se presenta comúnmente como objeción a los planes para aumentar la ocupación por medio de inversiones patrocinadas por la autoridad pública la de que así se está creando una dificultad para el futuro. “¿Qué haremos —se pregunta— cuando hayamos construido todas las casas, caminos, casas consistoriales, centros distribuidores de energía eléctrica, sistemas de suministro de agua y otras cosas por el estilo, que se espera puede necesitar la población estacionaria del futuro?”. Pero no se entiende con igual facilidad que el mismo inconveniente se presenta con las inversiones privadas y la expansión industrial; particularmente con la última, desde el momento que es mucho más fácil advertir la pronta saturación de la demanda de nuevas fábricas y equipos, que aisladamente absorben poco dinero, que la demanda de casas habitación.

El obstáculo que se opone a un claro entendimiento de esto, en los ejemplos citados, parece estar, como ocurre en muchas discusiones académicas sobre el capital, en una apreciación inadecuada del hecho de que el capital no es una entidad que subsista por sí misma con independencia del consumo. Al contrario, cada debilitamiento en la propensión a consumir, considerada como hábito permanente, tiene que hacer flaquear la demanda de capital lo mismo que la de consumo.

 


 * 

CAPÍTULO 9

LA PROPENSIÓN A CONSUMIR: II. LOS FACTORES SUBJETIVOS

I

QUEDA POR VER LA SEGUNDA CLASE DE FACTORES que afectan el monto del consumo realizado con cierto ingreso, o sean aquellos alicientes subjetivos y sociales que determinan lo que se ha de gastar, dado el volumen total del ingreso medido en unidades de salarios y dados también los principales factores objetivos que ya se han examinado. Mas como el análisis de estos factores no presenta novedad alguna, tal vez sea suficiente hacer una relación de los más importantes, sin extenderse más allá en considerarlos.

Hay en general ocho motivos o fines importantes de carácter subjetivo que impulsan a los individuos a abstenerse de gastar sus ingresos:

1) formar una reserva para contingencias imprevistas;

2) proveer para una anticipada relación futura entre el ingreso y las necesidades del individuo y su familia, diferente de la que existe en la actualidad, como, por ejemplo, por lo que respecta a la vejez, la educación de la familia o el sostenimiento de quienes dependen de uno;

3) gozar del interés y la apreciación, es decir, porque un consumo real mayor en fecha futura se prefiera a un consumo inmediato menor;

4) disfrutar de un gasto gradualmente creciente, ya que complace más al instinto normal la perspectiva de un nivel de vida que mejore gradualmente que lo contrario; aun cuando la capacidad de satisfacción vaya disminuyendo;

5) disfrutar de una sensación de independencia y del poder de hacer cosas, aun sin idea clara o intención definida de acción específica;

6) asegurarse una masse de manœuvre para realizar proyectos especulativos o de negocios;

7) legar una fortuna;

8) satisfacer la pura avaricia, esto es, inhibirse, de modo irracional pero insistente de actos de gasto como tales.

Podríamos llamar a estos ocho motivos: precaución, previsión, cálculo, mejoramiento, independencia, empresa, orgullo y avaricia; e incluso podríamos formular una lista correspondiente de motivos para consumir, tales como disfrute, imprevisión, generosidad, error, ostentación y extravagancia.

Además de los ahorros acumulados por individuos, también hay esa gran proporción de ingreso, variable quizá entre uno y dos tercios de la acumulación total en una sociedad industrial moderna, tal como Gran Bretaña o Estados Unidos, que retienen los gobiernos centrales o locales, las instituciones y sociedades de negocios —por motivos muy semejantes pero no idénticos a los que impulsan a los individuos, siendo los principales los cuatro siguientes:

1) el motivo empresa: asegurar recursos para efectuar mayores inversiones de capital sin tener que incurrir en deuda ni obtener más capital del mercado;

2) el motivo liquidez: asegurar recursos líquidos para enfrentarse a las emergencias, las dificultades y las depresiones;

3) el motivo mejoramiento: asegurar un ingreso en aumento gradual que, incidentalmente, pueda proteger a la gerencia contra la crítica, ya que el aumento del ingreso debido a la acumulación rara vez se distingue del crecimiento del mismo debido a la eficacia;

4) el motivo prudencia financiera y el afán de sentirse seguro haciendo una reserva financiera que exceda del costo de uso y del suplementario, de manera que se amortice la deuda y se recupere el costo del activo adelantándose y no atrasándose con relación a la tasa real de desgaste y obsolescencia, dependiendo la fuerza de este motivo principalmente de la cantidad y el carácter del equipo de capital y la rapidez de los cambios en la técnica.

Correspondiendo a estos motivos que favorecen la retención de parte del ingreso, retirándolo del consumo, también actúan a veces motivos que provocan un excedente del consumo sobre el ingreso. Algunos de los motivos de ahorro positivo, clasificados antes como factores que afectan a los individuos, tienen su contrapartida en el ahorro negativo en fecha posterior, como ocurre, por ejemplo, con el ahorro hecho para proveer a las necesidades de la familia o a la vejez. Sería mejor considerar como ahorro negativo el subsidio a la desocupación financiado por préstamos.

Ahora bien, la fuerza de todos estos motivos variará enormemente, según las instituciones y la organización de la sociedad económica que supongamos, según los hábitos formados por la raza, la educación, los convencionalismos, la religión y las corrientes morales; según las esperanzas y la experiencia, según la escala y técnica del equipo de capital y según la distribución de la riqueza y los niveles de vida establecidos. En el cuerpo de este libro, sin embargo, no nos ocuparemos de los resultados de los cambios sociales de largo alcance ni de los efectos lentos del progreso secular, excepto en digresiones accidentales. Esto quiere decir que daremos por supuesta la base principal de los motivos subjetivos para ahorrar y consumir, respectivamente. En la medida en que la distribución de la riqueza esté determinada de una manera más o menos permanente por la estructura social de la comunidad, esto puede, igualmente, considerarse como un factor sujeto nada más a cambios lentos y en largos periodos, lo que podemos dar por supuesto en el presente contexto.

II

Por tanto, ya que la base principal de los alicientes subjetivos y sociales cambia lentamente, mientras que las influencias a corto plazo de las alteraciones en la tasa de interés y los demás factores objetivos son con frecuencia de importancia secundaria, llegamos a la conclusión de que los cambios a la corta en el consumo dependen en gran parte de las modificaciones del ritmo con que se ganan los ingresos (medidos en unidades de salarios) y no de los cambios en la propensión a consumir una parte de los mismos.

Sin embargo, debemos precavernos contra una confusión. Lo anterior significa que la influencia de los cambios moderados en la tasa de interés sobre la propensión a consumir es generalmente pequeña. No quiere esto decir que las modificaciones en la tasa de interés tengan sólo una influencia exigua sobre las cantidades que realmente se ahorran y se consumen; todo lo contrario. La influencia de cambios en la tasa de interés sobre el monto que realmente se ahorra es de vital importancia, pero se ejerce en dirección opuesta a la que generalmente se supone; porque aun cuando la atracción de un ingreso futuro mayor debido a una tasa de interés más alta tenga por consecuencia el menguar la propensión a consumir, podemos estar seguros, no obstante, de que un alza de la misma dará por resultado una reducción de la suma realmente ahorrada. Esto se debe a que el ahorro total está determinado por la inversión total; un alza en la tasa de interés (a menos que esté contrarrestada por un cambio correspondiente en la curva de demanda de inversión) hará bajar la inversión; de aquí que una elevación de la tasa debe tener el efecto de reducir los ingresos a un nivel tal que los ahorros desciendan en la misma medida que la inversión. Como los ingresos bajarán en una suma absoluta mayor que la inversión, es indudable que, cuando la tasa de interés sube, la de consumo desciende; pero no quiere decir que por ello habrá un margen mayor para el ahorro; al contrario, ambos (ahorro y gastos) decrecerán.

En consecuencia, aunque un alza en la tasa de interés fuera motivo de que la sociedad ahorrara más con un ingreso dado, podemos estar completamente seguros de que dicha elevación de la tasa de interés (suponiendo que no ocurra ningún cambio favorable en la curva de demanda de inversión) hará disminuir el monto global real de los ahorros. Siguiendo el mismo argumento podríamos averiguar en qué proporción hará descender los ingresos, ceteris paribus, una elevación de la tasa de interés; porque los ingresos tendrán que decaer (o ser redistribuidos) en el monto exacto que se requiere, con la propensión a consumir existente, para hacer bajar los ahorros en la misma cantidad en que el alza en la tasa de interés hará bajar las inversiones, con la eficacia marginal existente del capital. Un examen detenido de esta cuestión ocupará el próximo capítulo. El alza en la tasa de interés podría inducirnos a ahorrar más, si nuestros ingresos permanecieran invariables; pero si la tasa elevada de interés retarda la inversión, nuestros ingresos no permanecerán ni podrán seguir inalterables. Tienen forzosamente que bajar hasta que la descendente capacidad para ahorrar haya compensado lo suficiente el estímulo correspondiente ocasionado por la mayor tasa de interés. Cuanto más virtuosos seamos, cuanto más resueltamente frugales y más obstinadamente ortodoxos en nuestras finanzas personales y nacionales, tanto más tendrán que descender nuestros ingresos cuando el interés suba relativamente a la eficiencia marginal del capital. La obstinación sólo puede acarrear un castigo y no una recompensa, porque el resultado es inevitable.

Por tanto, después de todo, las tasas reales de ahorro y gasto agregados no dependen de la precaución, la previsión, el cálculo, el mejoramiento, la independencia, la empresa, el orgullo o la avaricia. La virtud y el vicio no tienen nada que ver con ellos; todo depende de hasta qué punto sea favorable a la inversión la tasa de interés, después de tener en cuenta la eficiencia marginal del capital.[54] No, esto es una exageración. Si la tasa de interés estuviera dirigida de tal manera que mantuviera continuamente la ocupación plena, la virtud recobraría su dominio; el coeficiente de acumulación de capital dependería de la debilidad de la propensión a consumir. De este modo y una vez más, el tributo que los economistas clásicos le ofrendan se debe a su encubierto supuesto de que la tasa de interés está siempre gobernada de ese modo.

 


* 

CAPÍTULO 10

LA PROPENSIÓN MARGINAL A CONSUMIR Y EL MULTIPLICADO

DEJAMOS SENTADO EN EL CAPÍTULO 8 que la ocupación solamente puede aumentar pari passu con la inversión. Ahora podemos llevar esta idea un poco más lejos; porque, en circunstancias dadas, puede establecerse una relación definida, que llamaremos el multiplicador, entre los ingresos y la inversión y, sujeta a ciertas simplificaciones, entre la ocupación total y la ocupación directamente dedicada a inversiones (a la que llamaremos ocupación primaria). Este nuevo paso es parte integrante de nuestra teoría de la ocupación, ya que, dada la propensión a consumir, establece una relación precisa entre la ocupación y el ingreso agregados y la tasa de inversión. El concepto del multiplicador fue primeramente introducido en la teoría económica por R. F. Kahn en su artículo sobre “The Relation of Home Investment to Unemployment” (Economic Journal, junio de 1931). Su razonamiento en este artículo dependía de la noción fundamental de que, si la propensión a consumir en varias circunstancias hipotéticas (juntamente con otras condiciones) se da por conocida y concebimos que las autoridades monetarias u otras públicas tomen medidas para estimular o retardar la inversión, el cambio en el monto de la ocupación será función del cambio neto en el volumen de inversión; y pretendía sentar principios generales para calcular la relación cuantitativa real entre un incremento de la inversión neta y el aumento de ocupación agregada que le acompañará. Antes de llegar al multiplicador, sin embargo, será conveniente introducir el concepto de propensión marginal a consumir.

I

 Las fluctuaciones en el ingreso real que en este libro se consideran son las que resultan de aplicar diferentes cantidades de ocupación (es decir, de unidades de trabajo) a un equipo determinado de producción, de tal manera que el ingreso real aumenta y disminuye con el número de unidades de trabajo empleadas. Si, como suponemos en términos generales, existe un rendimiento decreciente en el margen a medida que el número de unidades de trabajo empleadas en el equipo dado de producción es mayor, el ingreso, medido en unidades de salarios, aumentará más que proporcionalmente con relación al volumen de la ocupación, que, a su vez, se elevará más que en proporción al aumento del ingreso real medido (si tal cosa es posible) en unidades de producto. Sin embargo, el ingreso real estimado en esta forma y el ingreso calculado en unidades de salarios aumentarán y disminuirán juntos (a la corta, cuando el equipo de capital prácticamente no cambia). Así, pues, como cabe que no pueda medirse numéricamente con precisión el ingreso real, estimado en productos, convendrá, con frecuencia, considerar el ingreso en unidades de salarios (Ys) como un índice adecuado de las modificaciones en el ingreso real. En ciertos casos no debemos pasar por alto el hecho de que, en general, Ys aumenta y disminuye en mayor proporción que el ingreso real; pero en otros, la circunstancia de que éstos siempre se elevan y descienden juntos, los hace virtualmente intercambiables.

Nuestra ley psicológica normal de que, cuando el ingreso real de la comunidad suba o baje, su consumo crecerá o disminuirá, pero no tan de prisa, puede, por tanto, traducirse —claro que no con absoluta precisión sino sujeto a salvedades obvias y que pueden demostrarse fácilmente y de modo formal completo— por la proposición de que ∆Cs y ∆Ys tienen el mismo signo, pero que ∆Ys > ∆Cs, en donde Cs es el consumo medido en unidades de salarios. Esto es simplemente repetir la proposición ya establecida en la página 36. Definamos, por tanto,

 

Esta cantidad es de considerable importancia, porque nos dice cómo se dividirá el siguiente incremento de la producción entre consumo e inversión; porque ∆Ys = ∆Cs + ∆Is, donde ∆Cs y ∆Is son los incrementos del consumo y la inversión; de manera que podemos escribir ∆Ys = k ∆Is en donde

Llamemos a k el multiplicador de inversión. Éste nos indica que, cuando existe un incremento en la inversión total, el ingreso aumentará en una cantidad que es k veces el incremento de la inversión.

II

El multiplicador de Kahn es un poco diferente a éste, siendo lo que podemos denominar el multiplicador de ocupación, designado por k′, ya que mide la relación del aumento de ocupación total derivado de un incremento determinado de ocupación primaria en las industrias de inversión. Es decir, si el incremento de la inversión ∆Is ocasiona otro de la ocupación primaria ∆N2 en las industrias de inversión, el incremento de la ocupación total será ∆N = k′ ∆N2.

No hay razón, en términos generales, para suponer que k = k′; porque no es presunción necesaria que las características de las partes que interesan de las funciones de oferta agregada de diferentes tipos de industrias sean tales que la proporción del incremento de ocupación en uno de los grupos de industrias respecto del incremento de la demanda que haya despertado, será la misma que en el otro grupo .[55] Es fácil, en verdad, imaginar casos como, por ejemplo, aquel en que la propensión marginal a consumir sea muy diferente de la propensión media, en los que existiría una presunción en favor de cierta desigualdad entre

ya que habría cambios proporcionales muy divergentes en las demandas de los artículos de consumo y los de inversión, respectivamente. Si queremos tomar en cuenta tales posibles diferencias en las características de la parte pertinente de las funciones de oferta agregada para los dos grupos de industrias, respectivamente, no hay dificultad alguna en reconstruir el siguiente argumento en su forma más generalizada; pero para aclarar las ideas que comprende, será conveniente operar con el caso simplificado en el que k = k′.

Se deduce, por tanto, que si la psicología de consumo de la sociedad es tal que ésta decide consumir, por ejemplo, nueve décimos de un incremento del ingreso,[56] entonces el multiplicador k es igual a 10 y la ocupación total producida (por ejemplo) por aumento de las obras públicas, será diez veces mayor que la ocupación primaria proporcionada por éstas, suponiendo que no haya reducción de las inversiones en otras direcciones. El aumento de la ocupación sólo quedará restringido a la ocupación primaria proporcionada por las obras públicas en el caso de que la sociedad mantuviera su consumo sin modificación a pesar de la mejoría en la ocupación y, por tanto, en el ingreso real. Si, por otra parte, decide consumir el total de cualquier incremento del ingreso, no habrá punto de estabilidad y los precios subirán sin límite. Si hacemos supuestos psicológicos normales, un aumento en la ocupación solamente irá seguido por una baja del consumo si al mismo tiempo se presenta un cambio en la propensión a consumir —como resultado, por ejemplo, de una propaganda en tiempo de guerra en favor de restringir el consumo individual—; y sólo en este caso el aumento de ocupación en las industrias de inversión irá acompañado de una repercusión desfavorable sobre la ocupación en las industrias que producen para el consumo.

Esto solamente resume en una fórmula lo que debiera ser ya evidente para el lector en términos generales. No puede ocurrir un incremento de la inversión medido en unidades de salario, a menos que el público esté dispuesto a aumentar sus ahorros, computados en las mismas unidades. Hablando llanamente, el público no hará esto a menos que su ingreso total en unidades de salario esté subiendo. De este modo, cualquier esfuerzo por consumir una parte de sus ingresos acrecentados estimulará la producción hasta que el nuevo nivel (y distribución) de los ingresos proporcione un margen de ahorro suficiente para que corresponda a la inversión acrecida. El multiplicador nos dice cuánto habrá de aumentar la ocupación para provocar un aumento en el ingreso real suficiente para inducir al público a realizar ahorros extraordinarios, y esto es función de sus inclinaciones psicológicas.[57] Si el ahorro es la medicina y el consumo es la mermelada, la mermelada extra tiene que ser proporcionada al tamaño de la medicina adicional. A menos que las inclinaciones psicológicas del público sean diferentes de las que suponemos, hemos establecido aquí la ley de que el aumento de ocupación debido a la inversión debe estimular necesariamente las industrias que producen para el consumo y así ocasionar un aumento total de la ocupación, que es un múltiplo del empleo primario exigido por la inversión misma.

Se deduce de lo anterior que, si la propensión marginal a consumir no está lejos de la unidad, las pequeñas fluctuaciones en la inversión producirán grandes fluctuaciones en la ocupación; pero al mismo tiempo, un incremento comparativamente pequeño de las inversiones producirá la ocupación plena. Si por otra parte, la propensión marginal a consumir no está muy por encima de cero, las pequeñas fluctuaciones en la inversión ocasionarán las correspondientes pequeñas fluctuaciones en la ocupación; pero, al mismo tiempo, puede requerirse un gran incremento de las inversiones para producir ocupación plena. En el primer caso, la desocupación involuntaria sería una enfermedad fácil de curar, aunque probable fuente de molestias si se permitiera su desarrollo. En el otro caso, la ocupación puede ser menos variable, pero estar sujeta a estabilizarse en un nivel bajo y mostrarse recalcitrante ante cualquier medida salvo las más drásticas. En la realidad, la propensión marginal a consumir parece encontrarse comprendida entre ambos extremos, aunque mucho más cerca de la unidad que de cero; con el resultado de que nos encontramos, en cierto sentido, en lo peor de los dos mundos supuestos, porque las fluctuaciones en la ocupación son considerables y, al mismo tiempo, el incremento de la inversión que se precisa para producir ocupación plena es demasiado grande para poderse manejar con facilidad. Por desgracia, las fluctuaciones han bastado para evitar que la naturaleza del mal se haga patente, en tanto que su gravedad es tal que no puede remediarse a menos que se comprenda su naturaleza.

Cuando se alcanza la plena ocupación, cualquier intento de aumentar la inversión pondrá en movimiento una mayor tendencia de los precios a subir sin limitación, independientemente de la propensión marginal a consumir, esto es, nos encontramos frente a un estado de inflación verdadera.[58] Hasta llegar a esta situación, sin embargo, el crecimiento de los precios irá acompañado de un aumento del ingreso global real.

III

Nos hemos estado refiriendo hasta aquí al incremento neto de la inversión. Por consiguiente, si queremos aplicar lo anterior sin correcciones a los efectos (por ejemplo) de un aumento de las obras públicas, tendremos que suponer que no hay ningún contrapeso en forma de inversiones decrecientes en otras direcciones —y también, por supuesto, que no se presenta ningún cambio en la propensión a consumir de la comunidad—. En el artículo antes citado, Kahn se interesaba sobre todo por los contrapesos que deberíamos tomar en cuenta al tener éstas probabilidades de ser importantes y por sugerir estimaciones cuantitativas; porque en un caso real, existen varios factores, además de algún aumento concreto de una determinada inversión que forman parte del resultado final. Si, por ejemplo, un gobierno emplea 100,000 hombres adicionales en obras públicas y el multiplicador (tal como se definió antes) es 4, no se puede suponer exponerse a error que la ocupación total aumentará en 400,000; porque la nueva política puede tener reacciones adversas sobre la inversión en otras direcciones.

Parece (siguiendo a Kahn) que los factores que se debe tener más cuidado en no olvidar en una sociedad moderna son los siguientes (aunque los dos primeros no se entenderán bien hasta que se llegue al Libro IV):

1) El método de financiar la política, y el mayor volumen de efectivo que impone el aumento de ocupación y el alza de los precios que le acompaña, puede tener el efecto de hacer subir la tasa de interés y retardar así la inversión en otras direcciones, a menos que las autoridades monetarias tomen providencias en sentido contrario; en tanto que, al mismo tiempo, la elevación en el costo de los bienes de capital reduce su eficacia marginal para el inversionista privado, lo que requerirá una baja real en la tasa de interés para equilibrarla.

2) Con la psicología confusa que con frecuencia priva, el programa del gobierno puede, a través de sus efectos sobre la “confianza”, aumentar la preferencia por la liquidez o disminuir la eficiencia marginal del capital, lo que, a su vez, puede retardar otras inversiones, a menos que se tomen medidas para evitarlo.

3) En un sistema abierto, con relaciones de comercio exterior, parte del multiplicador de la inversión acrecentada beneficiará a la ocupación en países extranjeros, ya que cierta proporción del aumento en el consumo reducirá la balanza exterior favorable de nuestro propio país; de manera que si consideramos solamente el efecto sobre la ocupación nacional, por oposición a la mundial, tenemos que reducir la cifra del multiplicador. Por otra parte, nuestro país puede recobrar una parte de esta merma mediante repercusiones favorables debidas a la acción del multiplicador en los países extranjeros, al aumentar su actividad económica.

Más aún, si nos encontramos en presencia de modificaciones sustanciales, hemos de tener en cuenta un cambio progresivo en la propensión marginal a consumir, a medida que la posición del margen se desplaza gradualmente, y, por tanto, en el multiplicador. La propensión marginal a consumir no es constante para todos los niveles de ocupación, y es probable que ofrezca, por regla general, una tendencia a disminuir a medida que la ocupación crece; es decir, que cuando el ingreso real sube, la sociedad deseará consumir una proporción gradualmente descendente del mismo.

Además del funcionamiento de la regla general que acaba de mencionarse, también hay otros factores que pueden influir para modificar la propensión marginal a consumir y, por consiguiente, el multiplicador; y parece ser que estos otros factores, por regla común, acentúan la tendencia de la regla general en vez de restarle fuerza; porque, en primer lugar, el aumento de la ocupación tenderá debido a los efectos de los rendimientos decrecientes en el periodo corto a incrementar la proporción del ingreso total que va a dar a manos de los empresarios, cuya propensión marginal individual a consumir es, probablemente, menor que el promedio para la comunidad en conjunto. En segundo lugar, la desocupación probablemente va unida al ahorro negativo en ciertos sectores, privados o públicos, porque los desempleados pueden estar viviendo ya sea de sus ahorros y los de sus amigos o de la ayuda pública que se financia parcialmente con préstamos; con el resultado de que la reocupación disminuirá gradualmente estos actos concretos de ahorro negativo y reducirá, por tanto, la propensión marginal a consumir más rápidamente de lo que hubiera descendido a consecuencia de un crecimiento igual del ingreso real de la comunidad producido en circunstancias diferentes.

En todo caso, el multiplicador será probablemente mayor para un pequeño incremento neto de la inversión que para uno grande; de manera que, cuando se esperan cambios sustanciales, debemos guiarnos por el valor medio del multiplicador, basado en el promedio de la propensión marginal a consumir, en las condiciones dadas.

Kahn ha examinado el resultado cuantitativo probable de tales factores en ciertos casos hipotéticos especiales; pero se ve claramente que no es posible llevar ninguna generalización muy lejos. Solamente puede decirse, por ejemplo, que una sociedad típica moderna probablemente tendería a consumir no mucho menos del 80 por ciento de cualquier incremento del ingreso real, si se tratara de un sistema cerrado, con el consumo de los desempleados pagado por medio de transferencias del consumo de otros consumidores, de manera que el multiplicador no fuera mucho menor de 5, después de haber tenido en cuenta las reacciones contrarias. Sin embargo, en un país en que el comercio exterior llega, digamos, hasta la proporción de 20 por ciento del consumo y donde los desempleados reciben, por medio de préstamos o su equivalente, hasta el 50 por ciento de su consumo normal cuando están empleados, el multiplicador puede descender tanto como dos o tres veces el volumen de ocupación proporcionado por una inversión concreta nueva. De este modo, una fluctuación dada en las inversiones irá acompañada de una oscilación mucho menos violenta de la ocupación en un país cuyo comercio exterior juega un papel importante y la ayuda a los desocupados se financia en mayor escala con préstamos (como sucedió, por ejemplo, en Gran Bretaña en 1931), que en un país en el cual estos factores son menos importantes (como en Estados Unidos en 1932).[59]

Sin embargo, tenemos que acudir al principio general del multiplicador para explicar cómo las fluctuaciones en el monto de la inversión, comparativamente pequeñas en relación con el ingreso nacional, son capaces de generar fluctuaciones en la ocupación total y en el ingreso de una amplitud mucho mayores que ellas mismas.

IV

El estudio se ha llevado hasta ahora sobre la base de un cambio en la inversión total, que se ha previsto con bastante anticipación para que las industrias de artículos de consumo avancen pari passu con las industrias de artículos de capital, sin mayor trastorno para el precio de los bienes de consumo que el derivado de un aumento en la cantidad producida, en condiciones de rendimiento decrecientes.

Sin embargo, por lo general, hemos de tomar en cuenta el caso de que la iniciativa provenga de un aumento de la producción de las industrias de bienes de capital, que no se había previsto por completo. Es evidente que una iniciativa de esta clase sólo produce todos sus efectos sobre la ocupación después de transcurrido un lapso. No obstante, he visto que en las discusiones este hecho, evidente, a menudo da origen a cierta confusión entre la teoría lógica del multiplicador, que siempre es válida, sin necesidad de que transcurra un cierto tiempo y en cualquier momento, y las consecuencias de una expansión de las industrias de bienes de capital, que tiene un efecto gradual, sujeta a estancamientos y sólo tras cierto intervalo.

La relación entre ambas cosas puede aclararse indicando, primero, que una expansión de las industrias de artículos de capital imprevista o prevista imperfectamente, no tiene efectos instantáneos de la misma magnitud en el total de las inversiones, sino que ocasiona un aumento gradual de las mismas; y, segundo, que puede motivar una divergencia temporal entre la propensión marginal a consumir y su valor normal, seguida, sin embargo, por un retorno gradual hacia este último.

Así, pues, una expansión en las industrias de artículos de capital ocasiona una serie de incrementos en la inversión total, que se presentan en periodos sucesivos en un intervalo de tiempo, y una serie de valores de la propensión marginal a consumir en estos periodos sucesivos que difiere tanto de lo que habrían sido los valores si dicha expansión se hubiera previsto, como de lo que serán cuando la comunidad haya llegado a estabilizarse en un nivel nuevo y firme de inversión total. Pero, en cada intervalo de tiempo, la teoría del multiplicador sigue siendo válida en el sentido de que el incremento de la demanda total es igual al producto del incremento de la inversión total por el multiplicador, ya determinado por la propensión marginal a consumir. La explicación de estos dos grupos de hechos puede entenderse con mayor claridad suponiendo el caso extremo en que la expansión de la ocupación en las industrias dedicadas a producir bienes de capital es de tal manera imprevista que al principio no existe aumento alguno en la producción de artículos de consumo. En este caso, los esfuerzos de quienes han sido empleados recientemente en las industrias de artículos de capital para consumir una parte de sus ingresos aumentados, harán subir los precios de los bienes de consumo hasta que se llegue a un equilibrio temporal entre la oferta y la demanda —como consecuencia, en parte, de los altos precios que obligan a aplazar el consumo, en parte de una redistribución de los ingresos en favor de las clases que ahorran debido al aumento de sus ganancias como resultado de los precios elevados , y en parte a causa de que los altos precios ocasionan un agotamiento de las existencias—. En la medida en que el equilibrio se restablezca por haberse aplazado el consumo, se presenta una reducción temporal de la propensión marginal a consumir, esto es, del multiplicador mismo; y en tanto que hay un agotamiento de las existencias, la inversión agregada aumenta por lo pronto proporcionalmente menos que el incremento de la inversión en industrias de bienes de capital —es decir, lo que se va a multiplicar no aumenta tanto como el total del incremento de la inversión en las industrias de bienes de capital—. Pero, a medida que pasa el tiempo, las industrias de artículos de consumo se ajustan por sí mismas a la nueva demanda, de manera que cuando se goza del consumo diferido la propensión marginal a consumir sube temporalmente sobre su nivel normal, para compensar la reducción que tuvo antes, y eventualmente vuelve a dicho nivel; en tanto que la restauración de las existencias a su cifra anterior hace que el incremento de la inversión agregada sea temporalmente mayor que el de la inversión en las industrias de bienes de capital (el incremento del capital en giro corresponderá a la mayor producción y tendría también temporalmente el mismo efecto).

El hecho de que un cambio imprevisto solamente ejerza de lleno sus efectos sobre la ocupación a través de un periodo, es importante en ciertos contextos —representa un papel importante, sobre todo, en el análisis del ciclo económico (siguiendo lineamientos tales como los que yo seguí en mi Treatise on Money)—. Pero no afecta en manera alguna a la importancia de la teoría del multiplicador en la forma que ha sido expuesta en este capítulo; ni la hace inaplicable como un indicador del beneficio total que se prevé para la ocupación a consecuencia de una expansión en las industrias de bienes de capital. Más aún, excepto en condiciones en que las industrias de consumo se encuentren ya trabajando casi a toda su capacidad —de manera que un aumento de la producción requiera otro correspondiente del equipo y no simplemente un empleo más intensivo del existente— no hay razón para suponer que se necesite más de un breve intervalo antes de que la ocupación en las industrias de bienes de consumo avance pari passu con la de las industrias de bienes de capital, actuando el multiplicador cerca de su cifra normal.

V

Hemos visto que cuanto mayor sea la propensión marginal a consumir, mayor será el multiplicador y, en consecuencia, más grande la perturbación que producirá sobre la ocupación un cambio dado en la inversión. Podría suponerse que esto lleva a la conclusión paradójica de que una comunidad pobre, en la cual el ahorro represente una parte muy pequeña de los ingresos, estará más sujeta a fluctuaciones violentas que otra rica, en la que ahorro sea una proporción mayor de los ingresos, y el multiplicador menor, en consecuencia.

Esta conclusión, sin embargo, olvidaría la distinción entre los efectos de la propensión marginal a consumir y los de la propensión media a consumir; porque mientras una propensión marginal a consumir alta implica un efecto proporcionado mayor, como consecuencia de un determinado cambio porcentual en la inversión, sin embargo, el efecto absoluto será menor si la propensión a consumir media es también alta. Esto puede ilustrarse como sigue con un ejemplo numérico. Supongamos que la propensión de una comunidad a consumir es tal que, mientras su ingreso real no exceda de la producción resultante del empleo de 5,000,000 de hombres con el equipo de capital que posee, consume todo su ingreso; que consume el 99 por ciento de la producción de los siguientes 100,000 hombres adicionales empleados; de los segundos 100,000 el 98 por ciento; de los terceros, el 97 por ciento, y así sucesivamente; y que la ocupación total será representada por 10,000,000 de hombres. Se deduce de esto que cuando 5,000,000 + n x 100,000 estén empleados, el multiplicador en el margen es

De este modo, cuando se emplean 5,200,000 hombres, el multiplicador es muy grande, digamos 50; pero la inversión es solamente una parte insignificante del ingreso corriente, digamos el 0.06 por ciento, con el resultado de que si la inversión disminuye en gran escala, por ejemplo, en unos dos tercios, la ocupación solamente bajará hasta 5,100,000, es decir, en un 2 por ciento aproximadamente. Por otra parte, cuando estén empleados 9,000,000 de hombres, el multiplicador marginal es comparativamente bajo, a saber, 2½, pero la inversión es ahora una parte sustancial del ingreso corriente, digamos 9 por ciento; con la consecuencia de que si la inversión decrece en dos tercios, la ocupación disminuirá hasta 6,900,000, es decir, en un 19 por ciento. En el límite donde la inversión se reduce a cero, el empleo bajará en un 4 por ciento, más o menos, en el primer caso, mientras que en el segundo llegará al 44 por ciento.[60]

En el ejemplo anterior, la más pobre de las dos comunidades comparadas lo es por razón del subempleo; pero los mismos razonamientos se aplican, mediante una adaptación fácil, si la pobreza se debe a una inferioridad en la destreza, la técnica o el equipo. Así, mientras el multiplicador es más grande en una comunidad pobre, el efecto de las fluctuaciones en la inversión sobre la ocupación será mucho mayor en una comunidad rica, suponiendo que en ésta la inversión corriente representa una proporción mucho más grande de la producción corriente.[61]

También es evidente, después de lo anterior, que el empleo de un número dado de hombres en obras públicas tendrá un efecto mucho mayor (según los supuestos dichos) sobre la ocupación agregada cuando la desocupación sea cuantiosa, que, posteriormente, cuando esté próxima la ocupación plena. En el ejemplo dado, si en el momento en que la ocupación ha bajado a 5,200,000 se ocupan en obras públicas 100,000 hombres más, la ocupación total subirá a 6,400,000. Pero si la ocupación es ya de 9,000,000, cuando se usan 100,000 hombres más con el mismo fin, la ocupación total solamente llegará a 9,200,000. De este modo, las obras públicas, aun cuando sean de dudosa utilidad, pueden proporcionar una compensación varias veces superior en épocas de grave desocupación, aunque sólo sea por el menor costo de los gastos de asistencia, a condición de que supongamos que se ahorra una parte menor del ingreso cuando la desocupación es mayor; pero esto puede llegar a ser incierto a medida que nos acercamos al estado de ocupación plena. Más aún, si es correcto nuestro supuesto de que la propensión marginal a consumir disminuye constantemente según nos vamos aproximando a la ocupación plena, se deduce que cada vez irá siendo más difícil alcanzar un nuevo aumento en la ocupación.

No sería difícil formar un cuadro de la propensión marginal a consumir en cada etapa del ciclo económico con las estadísticas (si las hubiera disponibles) del ingreso y la inversión agregadas en fechas sucesivas. Por ahora, sin embargo, nuestras estadísticas no son lo bastante precisas (o recopiladas a propósito para este objeto) para permitirnos hacer más que estimaciones ampliamente aproximadas. Las mejores que conozco son las cifras de Kuznets para Estados Unidos (a las que ya se ha hecho referencia en las pp-98 9), aunque son, sin embargo, muy precarias. Tomadas juntamente con los cálculos del ingreso nacional, indican, hasta donde pueden considerarse útiles, una cifra menor y más estable para el multiplicador de inversión que la que yo hubiera esperado. Si se toman años aislados, el resultado es todavía más confuso; pero si se agrupan por pares, el multiplicador parece haber sido menor de 3 y probablemente bastante estable alrededor de 2.5. Esto hace pensar en una propensión marginal a consumir no mayor de 60 a 70 por ciento —cifra completamente probable para el auge, pero sorprendentemente corta, y a mi juicio muy improbable, para la depresión—. Es posible, sin embargo, que el extremado conservatismo financiero de las sociedades anónimas en Estados Unidos, aun durante la depresión, tenga mucho que ver con ello. En otras palabras, si cuando la inversión está decayendo rápidamente por no atender a las reparaciones y renovaciones del equipo, se guarda, no obstante, una reserva financiera para la depreciación, el efecto es impedir el crecimiento que de otro modo se hubiera presentado en la propensión marginal a consumir. Sospecho que este factor puede haber jugado papel importante para agravar el alcance de la reciente depresión en Estados Unidos. Por otra parte, es posible que las estadísticas abulten un poco el descenso en la inversión, que se afirma descendió más del 75 por ciento en 1932 respecto a 1929; mientras que la “formación de capital” neta bajó más del 95 por ciento —pues un cambio moderado en estas estimaciones puede provocar una modificación sustancial en el multiplicador.

VI

Cuando existe desocupación involuntaria, la desutilidad marginal del trabajo es necesariamente menor que la utilidad del producto marginal. En realidad puede ser mucho menor; porque cierta cantidad de trabajo, para un hombre que ha estado sin empleo largo tiempo, en vez de desutilidad puede tener utilidad positiva. Si se acepta esto, el razonamiento anterior demuestra cómo los gastos “ruinosos” (wasteful) de préstamos[62] pueden, no obstante, enriquecer al fin y al cabo a la comunidad. La construcción de pirámides, los terremotos y hasta las guerras pueden servir para aumentar la riqueza, si la educación de nuestros estadistas en los principios de la economía clásica impide que se haga algo mejor.

Es curioso observar cómo el sentido común, tratando de escapar de conclusiones absurdas, ha podido llegar a preferir las formas de gastos de préstamos totalmente “ruinosos” a las que sólo lo son parcialmente, que, por no ser un despilfarro completo, tienden a juzgarse de acuerdo con principios estrictos “de negocios”. Por ejemplo, la ayuda a los desempleados financiada por préstamos se acepta más fácilmente que la financiación de mejoras que dan un rendimiento inferior al tipo corriente de interés; en tanto que la práctica de abrir hoyos en el suelo, conocida como explotación de minas de oro, que no sólo no agrega nada a la riqueza real del mundo, sino que supone la desutilidad del trabajo, es la más aceptable de todas las soluciones.

Si la Tesorería se pusiera a llenar botellas viejas con billetes de banco, las enterrara a profundidad conveniente en minas de carbón abandonadas, que luego se cubrieran con escombros de la ciudad, y dejara a la iniciativa privada, de conformidad con los bien experimentados principios del laissez-faire, el cuidado de desenterrar nuevamente los billetes (naturalmente obteniendo el derecho de hacerlo por medio de concesiones sobre el suelo donde se encuentran) no se necesitaría que hubiera más desocupación y, con ayuda de las repercusiones, el ingreso real de la comunidad y también su riqueza de capital probablemente rebasarían en buena medida su nivel actual. Claro está que sería más sensato construir casas o algo semejante; pero si existen dificultades políticas y prácticas para realizarlo, el procedimiento anterior sería mejor que no hacer nada.

La analogía entre este recurso y el de la explotación de minas de oro en la vida real es completa. En los periodos en que el oro está a nuestro alcance a profundidades adecuadas, la experiencia enseña que la riqueza real del mundo aumenta rápidamente; y que cuando sólo hay disponibles pequeñas cantidades del mismo en esas condiciones, nuestra riqueza se estanca o disminuye. De este modo las minas de oro son del más alto valor e importancia para la civilización. Así como las guerras han sido la única forma de gastos de préstamos en gran escala que los estadistas han encontrado justificable, así también la extracción de oro es el único pretexto para abrir hoyos en el suelo que se ha recomendado por sí mismo a los banqueros como finanza sólida; y cada una de estas actividades ha representado su papel en el progreso —a falta de algo mejor—. Para citar un detalle diremos que la tendencia del precio del oro a subir en términos de trabajo y materiales durante las depresiones eventualmente ayuda a la recuperación, porque aumenta la profundidad a la cual la explotación de minas es costeable y reduce la ley mínima del oro que conviene explotar.

Además del efecto probable de las crecientes ofertas de oro sobre el tipo de interés, la minería del oro, si no podemos aumentar el empleo por medios que, al mismo tiempo, eleven nuestras existencias de riqueza útil, es una forma sumamente práctica de inversión por dos razones: en primer lugar, debido al atractivo de azar que ofrece, se lleva adelante sin poner gran atención en la tasa de interés existente; en segundo, su resultado, es decir, el aumento de la existencia de oro, no tiene, como en otros casos, el efecto de reducir su utilidad marginal. Desde el momento en que el valor de una casa depende de su utilidad, cada casa que se construya sirve para reducir la renta probable que puede obtenerse de las futuras construcciones y, por tanto, disminuye el atractivo de futuras inversiones similares, a menos que la tasa de interés está bajando pari passu. Pero los frutos de la minería del oro no están sujetos a este inconveniente y sólo puede sobrevenir un impedimento a través de un alza en la unidad de salarios medida en oro, lo que no es probable que ocurra, y hasta que la ocupación sea sustancialmente mayor. Más todavía, no se presentan después efectos contrarios provocados por las reservas para los costos de uso y suplementario, como en el caso de otras formas de riqueza menos durables.

El antiguo Egipto era doblemente afortunado, y, sin duda, debió a esto su fabulosa riqueza, porque poseía dos actividades: la de construir pirámides y la de buscar metales preciosos, cuyos frutos, desde el momento que no podían ser útiles para las necesidades humanas consumiéndose, no perdían utilidad por ser abundantes. La Edad Media construyó catedrales y cantó endechas. Dos pirámides, dos misas de réquiem, son dos veces mejores que una; pero no sucede lo mismo con dos ferrocarriles de Londres a York. Así que somos tan sensatos y nos hemos educado de modo tan semejante a los financieros prudentes, meditando cuidadosamente antes de agravar las cargas “financieras” de la posteridad edificando casas habitación, que no contamos con tan fácil escapatoria para los sufrimientos de la desocupación. Tenemos que aceptarlos como resultado inevitable de aplicar a la conducta del estado las máximas que fueron proyectadas más bien para “enriquecer” a un individuo, capacitándolo para acumular derechos a satisfacciones que no intenta hacer efectivos en un momento determinado.

 


 * 

LIBRO IV

EL INCENTIVO PAR A INVERTIR

CAPÍTULO 11

LA EFICIENCIA MARGINAL DEL CAPITAL

I

CUANDO UN INDIVIDUO COMPRA UNA INVERSIÓN, un bien de capital, adquiere derecho a una serie de rendimientos probables, que espera obtener de la venta de los productos, durante la vida del bien, después de deducir los gastos de operación respectivos. Conviene llamar a esta serie de anualidades Q1 Q2 … Qn el rendimiento probable de la inversión.

En contraste con el rendimiento probable de la inversión tenemos el precio de oferta del bien de capital, lo que no quiere decir el precio de mercado al cual puede comprarse de hecho un bien de la clase en cuestión, sino el precio que bastaría exactamente para inducir a un fabricante a producir una nueva unidad adicional del mismo, es decir, lo que algunas veces se llama costo de reposición. La relación entre el rendimiento probable de un bien de capital y su precio de oferta o de reposición, es decir, la que hay entre el rendimiento probable de una unidad más de esa clase de capital y el costo de producirla, nos da la eficiencia marginal del capital de esa clase. Más exactamente, defino la eficiencia marginal del capital como si fuera igual a la tasa de descuento que lograría igualar el valor presente de la serie de anualidades dada por los rendimientos esperados del bien de capital, en todo el tiempo que dure, a su precio de oferta. Esto nos da las eficiencias marginales de determinados tipos de bienes de capital. La mayor de estas eficiencias marginales puede, por tanto, considerarse como la eficiencia marginal del capital en general.

Notará el lector que la eficiencia marginal del capital se define aquí en términos de expectativa del rendimiento probable y del precio de oferta corriente del bien de capital. Depende de la tasa de rendimiento que se espera obtener del dinero si se invirtiera en un bien recién producido; no del resultado histórico de lo que una inversión ha rendido sobre su costo original si observamos retrospectivamente sus resultados después que ha terminado el periodo de sus servicios.

Si aumenta la inversión en un cierto tipo de capital durante algún periodo, la eficiencia marginal de este tipo de capital se reducirá a medida que aquella inversión aumente, en parte porque el rendimiento probable bajará según suba la oferta de esa clase de capital, y en parte debido a que, por regla general, la presión sobre las instalaciones para producir ese tipo de capital hará que su precio de oferta sea mayor; siendo el segundo de estos factores generalmente el más importante para producir el equilibrio a la corta, aunque cuanto más largo sea el periodo que se considere más importancia adquiere el primer factor. Así, pues, para cada clase de capital podemos trazar una curva que muestre la proporción en que habrán de aumentar las inversiones de la misma durante el periodo, para que su eficiencia marginal baje a determinada cifra. Podemos después sumar estas curvas de todas las clases diferentes de capital, de manera que obtengamos otra que ligue la tasa de inversión agregada con la correspondiente eficiencia marginal del capital en general que establecerá aquella tasa de inversión. Denominaremos a esto la curva de la demanda de inversión; o inversamente, la curva de eficiencia marginal del capital.

Ahora bien, resulta evidente que la tasa real de inversión corriente será empujada hasta el punto en que ya no haya clase alguna de capital cuya eficiencia marginal exceda de la tasa corriente de interés. En otras palabras, la tasa de inversión sería empujada hasta aquel punto de la curva de demanda de inversión en que la eficiencia marginal del capital en general sea igual a la tasa de interés de mercado.[63]

Esto puede expresarse también como sigue: Si Qr es el rendimiento probable de un activo en el tiempo r, y d, es el valor presente £ 1 al plazo de r años a la tasa corriente de interés, ΣQrdr es el precio de demanda de la inversión; y ésta se llevará hasta que ΣQrdr sea igual al precio de oferta de la inversión en la forma que se ha definido antes. Si, por el contrario, ΣQrdr es menor que el precio de oferta, no habrá inversión corriente en el bien considerado. Se deduce que el incentivo para invertir depende en parte de la curva de demanda de inversión y en parte de la tasa de interés. Sólo al final del Libro IV será posible contar con elementos suficientes de comprensión acerca de los factores que determinan la tasa de interés en su complejidad real. Sin embargo, yo pediría al lector que tomara nota desde ahora de que ni el conocimiento del rendimiento probable de un activo ni el de su eficiencia marginal nos permite deducir la tasa de interés ni su valor presente. Debemos descubrir en otra fuente la tasa de interés, y solamente entonces podremos valuar el bien, “capitalizando” su rendimiento probable.

II

¿Cómo se relaciona la definición anterior de la eficiencia marginal del capital con el lenguaje usual? La productividad, el rendimiento, la eficiencia o la utilidad marginales del capital son términos que todos hemos usado frecuentemente; pero no es fácil descubrir en la literatura económica una exposición clara de lo que los economistas han querido decir habitualmente con estos términos.

Hay por lo menos tres ambigüedades que aclarar. Para empezar tenemos la de si lo que nos interesa es el incremento en producto físico por unidad de tiempo, debido al empleo de una unidad física más de capital o el incremento de valor debido al empleo de una unidad más de valor de capital. Lo primero supone dificultades respecto a la definición de la unidad física de capital, lo que en mi opinión es insoluble y, además, innecesario. Es posible por supuesto, decir que diez obreros cosecharán más trigo de un área determinada cuando están en posibilidad de hacer uso de ciertas máquinas adicionales; pero no sé de algún medio para reducir esto a una relación aritmética inteligible que no implique valores. Sin embargo, muchos estudios sobre este tema parecen referirse en algún sentido, principalmente, a la productividad física del capital aunque los escritores no consiguen expresarse con claridad.

En segundo lugar está el problema de si la eficiencia marginal del capital es una cantidad absoluta o una proporción. El contexto en que se usa y la práctica de tratarla como si fuera de la misma dimensión que la tasa de interés parecen obligarnos a pensar en una proporción.

No obstante, no suele plantearse con claridad cuáles sean los términos de esta proporción. Finalmente, existe la distinción (que al no tomarse en cuenta ha sido la principal causa de confusión y equivocaciones) entre el incremento de valor que puede obtenerse usando una cantidad adicional de capital en la situación existente y la serie de incrementos que se espera obtener a través de la duración completa del bien de capital adicional —es decir, la distinción entre Q1 y la serie completa Q1, Q2 … Qr …—. Esto lleva consigo todo el problema del lugar que ocupa la expectativa en la teoría económica. La mayor parte de los estudios sobre la eficiencia marginal del capital parecen no conceder atención a ningún término de la serie, excepto a Q1. Sin embargo, esto no puede ser lícito más que en una teoría estática, en que todas las Q son iguales. La teoría usual de la distribución, donde se supone que el capital da en el presente su productividad marginal (en un sentido o en otro), sólo es válida en una situación estacionaria. El rendimiento agregado corriente del capital no tiene relación directa con su eficiencia marginal, mientras que su rendimiento corriente en el margen de producción (es decir, el rendimiento del capital que entra en el precio de oferta de la producción) es su costo marginal de uso, que tampoco tiene mucha relación con su eficiencia marginal.

Existe, como dije antes, una extraña ausencia de una exposición clara sobre este punto. Al mismo tiempo creo que la definición que he dado se aproxima bastante a lo que Marshall quiso decir con esa expresión. La frase que Marshall usa es “la eficiencia marginal neta” de un factor de la producción; o, alternativamente, la “utilidad marginal del capital”. Lo que sigue es un resumen del pasaje más pertinente que puedo encontrar en sus Principles (6ª ed., pp. 519-520). He reunido algunas frases que no aparecen juntas para no desviarme de su idea sustancial:

En cierta fábrica, puede emplearse £ 100 extra de maquinaria de manera que no provoque ningún otro gasto adicional y añadir así £ 3 anuales de valor a la producción neta de la misma, después de hechas las deducciones propias de la depreciación. Si los inversionistas de capital lo dedican a toda ocupación que presente perspectivas de dar una ganancia alta, y si, después de haberlo hecho y de encontrarse el equilibrio, todavía es costeable, pero nada más que costeable, emplear esta maquinaria, podemos deducir que la tasa anual de interés es de 3 por ciento. Pero los ejemplos de esta clase solamente indican parte de la influencia de las grandes causas que gobiernan el valor. No puede hacerse de ellos una teoría del interés, como tampoco una de los salarios, sin razonar circularmente… Supongamos que la tasa de interés de valores absolutamente seguros sea del 3 por ciento anual, y que la industria de fabricación de sombreros absorba un capital de un millón de libras esterlinas. Esto quiere decir que la industria sombrerera puede hacer un uso tan bueno del millón de libras de capital que pagaría el 3 por ciento anual neto por usarlo, antes que dejar de hacerlo. Puede haber maquinaria de que la industria se hubiera negado a prescindir si la tasa de interés hubiera sido del 20 por ciento anual. Si la tasa hubiera sido del 10 por ciento, se habría usado más; de haber sido del 6, todavía más; más aún de ser del 4, y, finalmente, siendo del 3 por ciento usa maquinaria en mayor cantidad. Cuando se llega a este volumen, la utilidad marginal de la maquinaria, es decir, la utilidad de aquella maquinaria que precisamente vale la pena usar, se mide por el 3 por ciento.

Es evidente, según lo anterior, que Marshall se daba perfecta cuenta de que si tratamos de determinar cuál es realmente la tasa de interés de acuerdo con estas ideas directrices nos hallamos envueltos en un círculo vicioso. [64]

En ese pasaje parece aceptar el punto de vista antes expuesto, sobre que la tasa de interés determina el punto hasta el cual llegarían las nuevas inversiones, dada la curva de eficiencia marginal del capital. Si la tasa de interés es de 3 por ciento, esto quiere decir que nadie pagará 100 libras esterlinas por una máquina, a menos que espere añadir 3 libras a su producción anual neta, después de haber deducido los costos y la depreciación. Pero en el capítulo 14 veremos que en otros lugares Marshall fue menos precavido —aunque se echaba para atrás cuando su argumento lo llevaba a un terreno movedizo.

Aunque no la llama “eficiencia marginal del capital”, el profesor Irving Fisher ha dado, en su Theory of Interest (1930), una definición de lo que denomina “la tasa de rendimiento sobre costo” que es idéntica a la mía. “La tasa de rendimiento sobre costo —dice—,[65] es aquella que, usada para medir el valor presente de todos los costos y el de todos los rendimientos igualará ambos.” El profesor Fisher explica que la extensión de las inversiones en cualquier sentido dependerá de una comparación entre la tasa de rendimiento sobre costo y la tasa de interés. Para inducir a realizar nuevas inversiones “la tasa de rendimiento sobre costo debe exceder a la tasa de interés”.[66] “Esta nueva magnitud (o factor) representa, en nuestro estudio, el papel principal en la parte de la teoría del interés que se refiere a las oportunidades de inversión.[67] Así, el profesor Fisher usa su “tasa de rendimiento sobre costo” en el mismo sentido y precisamente con el mismo objeto que yo empleo “la eficiencia marginal del capital”.

III

La confusión más importante respecto al significado e importancia de la eficiencia marginal del capital ha sido consecuencia de no haberse advertido que depende del rendimiento probable del capital y no solamente de su rendimiento corriente. Esto puede aclararse mejor señalando el efecto que tiene la expectativa de modificaciones en el costo previsto de producción sobre la eficiencia marginal del capital, bien sea que se esperen esos cambios como resultado de alteraciones en el costo del trabajo, es decir, en la unidad de salarios, o de invenciones y nueva técnica. La producción resultante del equipo producido en la actualidad tendrá que competir, mientras dure, con la producción del equipo producido después, quizá a un costo menor en trabajo, tal vez por una técnica mejorada que se conforma con vender su producción más barata y que aumentará ésta hasta que el precio de la misma haya descendido al nivel deseado. Más aún, las ganancias del empresario (medidas en dinero) procedentes del equipo, viejo o nuevo, se reducirán si toda la producción se hace más barata. En la medida en que tales desarrollos se prevean como probables, o aún como posibles, disminuye en proporción la eficiencia marginal del capital producido en la actualidad.

Éste es el factor a través del cual la expectativa de cambios en el valor del dinero influye sobre el volumen de la producción presente. La expectativa de una baja en el valor del dinero alienta la inversión y, en consecuencia, el empleo en general, porque eleva la curva de la eficiencia marginal del capital, es decir, la curva de la demanda de inversiones; y la expectativa de un alza en el valor del dinero es deprimente, porque hace bajar la curva de la eficiencia marginal del capital.

Ésta es la verdad que se oculta tras la teoría del profesor Irving Fisher respecto a lo que él llamó originalmente “apreciación e interés” —la distinción entre la tasa nominal y la real de interés cuando la última se iguala a la primera después de hacer las correcciones necesarias por las modificaciones en el valor del dinero—. Es difícil encontrar sentido lógico en esta teoría tal como se ha expuesto, porque no está claro si se supone previsto o no el cambio en el valor del dinero. No hay manera de eludir el dilema de que si no se prevé, no tendrá efecto alguno sobre los negocios corrientes; mientras que si se prevé los precios de los artículos existentes se ajustarán tan pronto y de tal manera que las ventajas de guardar dinero y las de conservar mercancías se igualen nuevamente, y será demasiado tarde para que los poseedores de dinero ganen o se perjudiquen por una alteración en la tasa de interés que equilibre el cambio probable en el valor del dinero prestado durante el periodo en que rija el préstamo. Pues no se consigue eludir el dilema por el recurso del profesor Pigou de suponer que el cambio anticipado en el valor del dinero es previsto por un grupo de gente y no por otro.

El error está en suponer que los cambios probables en el valor del dinero reaccionan directamente sobre la tasa de interés, en vez de hacerlo sobre la eficiencia marginal de un volumen dado de capital. Los precios de los bienes existentes siempre se ajustarán por sí mismos a los cambios en las previsiones concernientes al valor probable del dinero. La importancia de tales cambios en las expectativas reside en sus efectos sobre el deseo de producir nuevos bienes, a través de su reacción sobre la eficiencia marginal del capital. El efecto estimulante de la expectativa de precios mayores no se debe a que eleven la tasa de interés (lo que sería un medio paradójico de estimular la producción —en la medida que la tasa de interés sube, el incentivo queda neutralizado en la misma extensión —), sino a que eleva la eficiencia marginal de un volumen dado de capital. Si la tasa de interés se elevara pari passu con la eficiencia marginal del capital, la previsión del alza de precios no tendría efectos estimulantes; porque el incentivo para la producción depende de que la eficiencia marginal de un volumen dado de capital, aumente relativamente a la tasa de interés. Ciertamente, la teoría del profesor Fisher podría volver a exponerse mejor en términos de una “tasa real de interés” definida como la que tendría que regir, a consecuencia de una variación en el estado de las expectativas respecto al valor futuro del dinero, para que este cambio no tuviera efecto sobre la producción corriente.[68]

Vale la pena hacer notar que la expectativa de una baja futura en la tasa de interés tendrá por efecto hacer bajar la curva de la ciencia marginal del capital; pues significa que la producción resultante del equipo hecho en la actualidad habrá de competir durante parte de su vida con la proveniente del equipo que se conforma con un rendimiento menor. Esta expectativa no tendrá gran efecto depresivo, ya que las expectativas que se hacen respecto al complejo de las tasas de interés para diversos plazos que regirán en el futuro, se reflejarán en parte en el complejo de las que rigen en la actualidad. Sin embargo, puede tener cierto efecto depresivo, desde el momento en que la producción resultante del equipo elaborado en la actualidad, que se obtendrá hacia el final de la duración del mismo, tal vez haya de competir con la procedente de otro equipo mucho más joven, que se conforma con un rendimiento menor debido a la tasa de interés más reducida que rige para periodos subsecuentes al término de la duración del equipo producido actualmente.

Es importante entender la dependencia que hay entre la eficiencia marginal de un volumen determinado de capital y los cambios en la expectativa porque es principalmente esta dependencia la que hace a la eficiencia marginal del capital quedar sujeta a ciertas fluctuaciones violentas que son la explicación del ciclo económico. En el capítulo 22 veremos que la sucesión del auge y la depresión puede describirse y analizarse en términos de las fluctuaciones de la eficiencia marginal del capital relativamente a la tasa de interés.

IV

Dos tipos de riesgos que no han sido diferenciados por lo general, pero que es importante distinguir, afectan al volumen de la inversión. El primer riesgo es el del empresario o prestatario, y surge de las dudas que el mismo tiene respecto a la posibilidad de obtener en realidad los rendimientos probables que espera. Si un hombre aventura su propio dinero, éste es el único riesgo que importa.

Pero donde existe un sistema de prestar y tomar a préstamo, con lo que quiero decir la concesión de créditos con un margen de garantía real o personal, aparece un segundo tipo de riesgo al que podremos llamar el riesgo del prestamista. Éste puede deberse al azar moral, es decir, incumplimiento voluntario o cualquier otro medio, tal vez lícito, de eludir el cumplimiento de la obligación; o a la posible insuficiencia del margen de seguridad, es decir, incumplimiento involuntario a causa de una equivocación en las expectativas. Podría añadirse una tercera causa de riesgos, como es el posible cambio adverso en el valor del patrón monetario, que hace que el préstamo en dinero sea menos seguro, en la medida de la depreciación, que un activo real; aunque todos, o la mayor parte de estos cambios, deben haberse reflejado ya, y, por lo tanto, absorbido, en el precio de los bienes reales duraderos.

Ahora bien, el primer tipo de riesgo es, en cierto sentido, un costo social real, aunque susceptible de disminución cuando se promedia, así como al aumentar la exactitud en las previsiones. El segundo, sin embargo, es una adición pura al costo de la inversión, que no existiría si el prestatario y el prestamista fueran la misma persona. Además, supone la duplicación de una parte del riesgo del empresario, el que se agrega dos veces al tipo de interés puro para dar el rendimiento mínimo probable que inducirá a invertir; porque si una especulación es arriesgada, el prestatario necesitará un margen más amplio entre sus expectativas respecto a los rendimientos y la tasa de interés a la cual cree que vale la pena contraer la deuda; en tanto que la misma razón precisamente impulsará al prestamista a exigir un margen mayor entre lo que carga y la tasa de interés pura que basta para inducirle a prestar (excepto cuando el deudor es tan fuerte y rico que está en posición de ofrecer un margen excepcional de seguridad).

La esperanza de un resultado muy favorable, que puede equilibrar el riesgo en la mente del deudor, no es aprovechable para tranquilizar al prestamista. Hasta hoy no se ha destacado bastante, que yo sepa, esta duplicación en la tolerancia de una parte del riesgo; pero puede ser importante en determinadas circunstancias. Durante un auge, el cálculo popular de la magnitud de ambos riesgos, el del prestamista y el del prestatario, puede llegar a ser inusitada e imprudentemente bajo.

V

La curva de la eficiencia marginal del capital es de fundamental importancia porque la expectativa del futuro influye sobre el presente principalmente a través de este factor (mucho más que a través de la tasa de interés). El error de considerar la eficiencia marginal del capital principalmente en términos del rendimiento corriente del equipo de producción, lo cual sólo sería correcto en la situación estática en que no hubiera cambios futuros que influyeran sobre el presente, ha dado por resultado la rotura del eslabón teórico entre el presente y el futuro. La tasa de interés misma es, virtualmente,[69] un fenómeno corriente; y si reducimos la eficiencia marginal del capital al mismo status, nos cerramos la posibilidad de tomar en cuenta de una manera directa la influencia del futuro en nuestro análisis del equilibrio existente.

El hecho de que los supuestos de la situación estática sean a menudo básicos en la teoría económica actual, introduce en ella un elemento importante de irrealidad. Pero la introducción de los conceptos del costo de uso y de la eficiencia marginal del capital, según antes se definieron, tendrá por efecto, según creo, volverlos a la realidad, en tanto que se reduce a un mínimo el grado indispensable de adaptación. La razón de que el futuro económico esté ligado con el presente se encuentra en la existencia de equipo duradero. Por tanto, el hecho de que la expectativa del futuro afecte el presente a través del precio de demanda del equipo duradero, concuerda y se conforma a nuestros principios generales de pensamiento.

 


 * 

CAPÍTULO 12

EL ESTADO DE LAS EXPECTATIVAS A LARGO PLAZO

I

HEMOS VISTO EN EL CAPÍTULO ANTERIOR que la escala de inversión depende de la relación entre la tasa de interés y la curva de eficiencia marginal del capital correspondiente a diversas escalas de inversión corriente, en tanto que la eficiencia marginal del capital depende de la relación entre el precio de oferta de un bien de capital y su rendimiento probable. En este capítulo consideremos con mayor detalle algunos de los factores que determinan dicho rendimiento.

Las consideraciones en que se basan las expectativas sobre los rendimientos probables son, por una parte, los hechos que podemos dar por conocidos con más o menos certeza y, por otra, los acontecimientos futuros que sólo pueden preverse con relativa seguridad. Entre los primeros se pueden mencionar las existencias actuales de ciertas clases de bienes de capital y de éstos en general, así como la fuerza que tenga la demanda de los consumidores de artículos que requieran para su producción eficiente ayuda relativamente mayor del capital. Entre los últimos se cuentan los cambios futuros en la clase y cantidad de las existencias de bienes de capital y en los gustos de los consumidores; la fuerza de la demanda efectiva en diversos periodos, mientras dura la inversión de referencia, y los cambios en la unidad de salarios, en términos de dinero, que pueden ocurrir durante el mismo periodo. Podemos resumir la situación de las expectativas psicológicas sobre estos últimos puntos diciendo que es el estado de las expectativas a largo plazo, distinguiéndolas de las expectativas a corto plazo en que se basa el productor para estimar lo que podrá obtener de un producto cuando esté terminado, en el supuesto de que se decida a iniciar su producción en la actualidad con el equipo existente, lo que ya examinamos en el capítulo 5.

II

Al planear nuestras expectativas sería torpe atribuir gran influencia a motivos que sean muy inciertos.[70] Por tanto, es razonable dejarse guiar principalmente por los hechos que nos inspiren cierta confianza, aunque tengan una importancia menos decisiva para nuestros fines, que por otros poco y vagamente conocidos. Por este motivo, los hechos propios de la situación presente entran, desproporcionadamente en cierto sentido, en la formación de nuestras expectativas a largo plazo, siendo nuestra costumbre fijarnos en la situación actual para proyectarla en el futuro, modificándola únicamente según los motivos más o menos definidos que tengamos para esperar una variación.

El estado de expectativa a largo plazo que sirve de base a nuestras decisiones, depende, por tanto, no sólo de los pronósticos más probables que podamos realizar, sino también de la confianza con que hagamos la previsión —de qué magnitud estimamos la probabilidad de que nuestro mejor pronóstico sea por completo equivocado—. Si esperamos grandes modificaciones pero estamos muy inseguros sobre la forma precisa en que ocurrirán, entonces nuestra confianza será débil.

El estado de confianza, como se le llama, es un asunto al que los hombres prácticos conceden la atención más estrecha y preocupada. Pero los economistas no lo han analizado cuidadosamente y se han conformado como regla con estudiarlo en términos generales. En particular no se ha puesto en claro que su predominio en los problemas económicos viene a través de su importante influencia sobre la curva de la eficacia marginal del capital. Ni son dos factores separados que afectan la tasa de inversión, es decir, la curva de la eficiencia marginal del capital y el estado de la confianza. El estado de la confianza tiene importancia porque es uno de los principales entre los factores que determinan a la primera, que es igual que la curva de demanda de inversión.

Sin embargo, no hay mucho que decir a priori sobre el estado de la confianza. Nuestras conclusiones deben depender, esencialmente, de la observación real de los mercados y de la psicología de los negocios. Por este motivo la digresión siguiente se encuentra en un plano de abstracción distinto al de la mayor parte de este libro.

Por motivos de conveniencia en la exposición supondremos en el estudio que vamos a iniciar sobre el estado de la confianza, que la tasa de interés no se altera; y procederemos en las secciones siguientes como si los cambios en el valor de las inversiones fueran consecuencia solamente de cambios de la expectativa de sus rendimientos probables y de ninguna manera de modificaciones en la tasa de interés a que se capitalizan dichos rendimientos. El efecto de las variaciones en dicha tasa se sobrepone fácilmente, sin embargo, al efecto de los cambios en el estado de la confianza.

III

El hecho más destacado es lo extremadamente precario de las bases de conocimiento en que han de basarse nuestros cálculos de los rendimientos probables. Nuestro conocimiento de los factores que regirán el rendimiento de una inversión en los años venideros próximos es frecuentemente muy ligero y a menudo desdeñable. Si hemos de hablar con franqueza, tenemos que admitir que las bases de nuestro conocimiento para calcular el rendimiento probable en los diez años próximos de un ferrocarril, una mina de cobre, una fábrica textil, la clientela de una medicina patentada, una línea trasatlántica de vapores o un edificio en la City de Londres, es muy limitado y a veces nulo; y aun lo es en los cinco años próximos. De hecho, quienes intentan en serio realizar semejante estimación se encuentran en tal minoría que su conducta no gobierna el mercado.

En otros tiempos, cuando casi todas las empresas eran propiedad de los empresarios o de sus amigos y asociados, la inversión dependía de que hubiera suficientes individuos de temperamento confiado e impulsos constructivos, que emprendieran negocios como una forma de vivir, sin basarse en cálculos precisos acerca de las ganancias probables. El asunto era en parte una lotería, aunque el resultado final dependía mucho de si la habilidad y el carácter de los directores estaban por encima o por debajo del promedio. Algunos fracasarían y otros tendrían éxito; pero aún después de los acontecimientos nadie sabría si el promedio de los resultados, medido en las sumas de inversión, había excedido, igualado o quedado corto en relación con la tasa predominante de interés; aunque, si excluimos la explotación de los recursos naturales y los monopolios, es probable que el promedio real de los resultados de las inversiones, aun en periodos de progreso y prosperidad, haya defraudado las esperanzas que indujeron a invertir. Los hombres de negocios jugaban un juego que era una mezcla de habilidad y suerte, cuyo resultado medio para los jugadores es desconocido por quienes participan en él. Si la naturaleza humana no sintiera la tentación de probar suerte, ni satisfacción (abstracción hecha de la ganancia) en construir una fábrica, un ferrocarril, una mina o una hacienda, no habría mucha inversión como resultado simplemente de cálculos fríos.

Sin embargo, las decisiones de invertir en negocios privados del viejo tipo eran, en gran parte, irrevocables no sólo para la comunidad en conjunto, sino también para los individuos. Con la separación entre la propiedad y la dirección que priva hoy, y con el desarrollo de mercados de inversión organizados, ha entrado en juego un nuevo factor de gran importancia, que algunas veces facilita la inversión, pero también contribuye en ocasiones a aumentar mucho la inestabilidad del sistema. Cuando faltan los mercados de valores no tiene objeto intentar revaluar con frecuencia una inversión en la cual nos hemos comprometido. Pero la bolsa revalúa muchas inversiones todos los días y estas reevaluaciones dan frecuentes oportunidades a los individuos (aunque no a la comunidad en conjunto) para revisar sus compromisos. Es como si un agricultor, habiendo observado su barómetro después del desayuno, decidiera retirar su capital del negocio agrícola entre diez y once de la mañana y reconsiderar si debía volver a él posteriormente durante la semana. Pero las reevaluaciones diarias de la bolsa de valores, aunque se hacen con el objeto principal de facilitar traspasos entre individuos de inversiones pasadas, ejercen inevitablemente influencia decisiva sobre la tasa de las inversiones corrientes; porque no tiene sentido crear una nueva empresa incurriendo en un gasto mayor que aquel a que se puede comprar otra igual ya existente, mientras que hay un incentivo para gastar en un nuevo proyecto lo que podría parecer una suma extravagante, si puede venderse en la bolsa de valores con una ganancia inmediata.[71] Por eso ciertas clases de inversiones se rigen por el promedio de las expectativas de quienes trafican en la bolsa de valores, tal como se manifiesta en el precio de las acciones, más bien que por las expectativas genuinas del empresario profesional.[72] ¿Cómo se manejan, entonces, en la práctica, estas reevaluaciones tan importantes de las inversiones existentes que se realizan cada día y aun cada hora?

IV

En la práctica hemos convenido tácitamente, por regla general, en referirnos a lo que en realidad es una convención. La esencia de ésta —aunque desde luego no funciona con tanta sencillez— está en suponer que la situación existente en los negocios continuará por tiempo indefinido, excepto cuando tengamos razones concretas para esperar una modificación. Esto no quiere decir que en realidad creamos en la duración indefinida del estado actual de los negocios. Sabemos por experiencia repetida que esto es lo más improbable. Los resultados efectivos de una inversión a plazo de varios años rara vez coinciden con las expectativas originales. Tampoco podemos racionalizar nuestra conducta argumentando que para un hombre ignorante los errores en cualquier sentido son igualmente probables, de tal manera que subsiste una previsión actuarial media basada en igualdad de probabilidades; porque fácilmente puede demostrarse que el supuesto de la posibilidad aritmética de igualdad de probabilidades, basado en un estado de ignorancia, conduce a absurdos. En efecto, estamos suponiendo que la valuación existente en el mercado, independientemente de cómo se ha llegado a ella, es correcta únicamente en relación con nuestro conocimiento actual de los hechos que influirán sobre el rendimiento de la inversión; y que sólo cambiará en proporción a las variaciones en dicho conocimiento; aunque, filosóficamente hablando, no puede ser del todo correcto desde el momento que nuestro conocimiento actual no nos da bases suficientes para una expectativa matemática calculada. En realidad, en las valoraciones del mercado entran consideraciones de todas clases que de ninguna manera se relacionan con el rendimiento probable.

No obstante, el método convencional de calcular antes mencionado será compatible con una considerable permanencia y estabilidad en nuestros asuntos, mientras podamos confiar en la continuidad de la convención.

Porque si existen mercados organizados para la inversión y si podemos confiar en que la convención no variará, un inversionista puede legítimamente animarse con la idea de que el único riesgo que corre es el de un cambio real en las condiciones del futuro inmediato, sobre cuya probabilidad puede intentar formarse un juicio propio, y que no es probable que el cambio sea muy grande; pues suponiendo que la convención siga en pie, estos cambios son los únicos que pueden afectar el valor de su inversión y no necesitan perder el sueño por el simple hecho de no tener idea de lo que podrá valer diez años más tarde. Así la inversión se vuelve razonablemente “segura” para el inversionista individual en periodos cortos, y, en consecuencia, en una sucesión de los mismos, no importa cuántos, si puede confiar razonablemente en que no se quebrantará la convención y en que, por tanto, tendrá oportunidad para revisar sus conclusiones y modificar la inversión antes de que haya tiempo suficiente para que ocurran grandes alteraciones. De este modo, las inversiones que son “fijas” para la comunidad se vuelven “líquidas” para el individuo.

Estoy seguro de que nuestros principales mercados de inversión se han desarrollado siguiendo lineamientos parecidos; pero no debemos sorprendernos de que una convención tan arbitraria desde un punto de vista absoluto tenga sus puntos débiles. El que sea precario es lo que crea una parte no pequeña de nuestro problema contemporáneo de lograr un volumen suficiente de inversión.

V

Pueden mencionarse brevemente algunos de los factores que aumentan esta debilidad.

1) Como resultado del aumento gradual de la proporción que representan en la inversión agregada de capital de la comunidad los títulos o valores de rendimiento variable que poseen las personas que no dirigen ni tienen conocimiento especial de las circunstancias, sean presentes o futuras, de los negocios en cuestión, ha disminuido seriamente el elemento de conocimiento real que hay en la valuación de las inversiones por quienes las poseen o proyectan comprarlas.

2) Las fluctuaciones diarias de las ganancias de las inversiones existentes , que son a todas luces de carácter efímero y poco importante, tienden en conjunto a tener una influencia excesiva y aun absurda sobre el mercado. Se dice, por ejemplo, que las acciones de las compañías manufactureras de hielo norteamericanas tienden a venderse a un precio más alto en verano, cuando sus dividendos son estacionalmente elevados, que en invierno, cuando nadie quiere ese producto. La repetición de los días de fiesta oficiales puede elevar la valoración del mercado del sistema ferrocarrilero británico en varios millones de libras esterlinas.

3) Una valoración convencional que se establece como resultado de la psicología de masa de gran número de individuos ignorantes está sujeta a modificaciones violentas debidas a un cambio violento en la opinión como consecuencia de factores que en realidad no significan gran cosa para el rendimiento probable, ya que no habrá motivos de convicción fuertemente arraigados para mantenerla con firmeza. En tiempos anormales, particularmente cuando la hipótesis de una continuación indefinida del estado actual de los negocios es menos probable que de ordinario, aun cuando no existan motivos expresos para anticipar un cambio definido, el mercado estará sujeto a oleadas de sentimientos optimistas o pesimistas, que son irrazonables y sin embargo legítimos, en cierto sentido, cuando no hay bases sólidas para un cálculo razonable.

4) Pero hay un rasgo distintivo que merece nuestra atención. Podría haberse supuesto que la competencia entre los profesionales expertos, que poseen más juicio y conocimiento que el inversionista privado medio, corregiría las extravagancias de individuo ignorante abandonado a sí mismo. Sucede, sin embargo, que las energías y la habilidad del inversionista profesional y del especulador están ocupadas principalmente en otra parte. Porque la mayoría de estas personas no está, de hecho, dedicada en primer término a realizar previsiones superiores a largo plazo respecto al rendimiento probable de una inversión por todo el tiempo que dure, sino a prever cambios en las bases convencionales de valuación con un poco más de anticipación que el público en general. No se ocupan de lo que realmente significa un valor de inversión para el hombre que lo compra “para siempre”, sino de en cuánto lo estimará el mercado dentro de tres meses o un año, bajo la influencia de la psicología de masa. Más aún, esta conducta no es resultado de una inclinación disparatada. Es consecuencia inevitable de un mercado de inversión organizado de acuerdo con las normas descritas; porque no es sensato pagar 25 por una inversión cuyo rendimiento probable se cree que justifica un valor de 30, si al mismo tiempo se supone que el mercado lo estimará en 20 tres meses después.

De este modo, el inversionista profesional se ve forzado a estar alerta para anticipar esos cambios inminentes, en las noticias o en la atmósfera, que, según la experiencia demuestra, tienen más influencia sobre la psicología de masa del mercado. Éste es el resultado inevitable de los mercados de inversión que se organizan para lograr lo que se llama “liquidez”. Entre las máximas de la finanza ortodoxa, ninguna, seguramente, es más antisocial que el fetiche de la liquidez, la doctrina según la cual es una virtud positiva de las instituciones de inversión concentrar sus recursos en la posesión de valores “líquidos”. Olvida que las inversiones no pueden ser líquidas para la comunidad como un todo. La finalidad social de la inversión realizada con conocimiento de causa debería ser el dominio de las fuerzas negativas del tiempo y la ignorancia que rodean nuestro futuro. El objeto real y particular de la mayor parte de las inversiones de los expertos, hoy día, es “ganar la delantera” (to beat the gun), como dicen los norteamericanos; ser más listo que el vulgo, y encajar la moneda falsa o que se está depreciando a otra persona.

Esta batalla de viveza para prever las bases de la valoración convencional con unos cuantos meses de antelación, más bien que el rendimiento probable de una inversión durante años, ni siquiera necesita bobos entre el público para saciar las fauces de los profesionales: estos últimos pueden jugar entre sí. Ni tampoco se requiere que alguien conserve su fe ingenua en que las bases convencionales de la valoración tengan alguna validez genuina a largo plazo; porque es, por decirlo así, el juego del snap, del anillo de la solterona o de las sillas musicales —un pasatiempo en el que el vendedor es quien dice snap ni demasiado pronto ni demasiado tarde, quien pasa a su vecino el anillo antes que termine el juego, y es el que consigue una silla al cesar la música—. Estos entretenimientos pueden jugarse con diversión y deleite, aunque todos los jugadores sepan que lo que está circulando es el anillo o que cuando la música deje de tocar, algunos de ellos no encontrarán asiento.

O, para cambiar un poco la metáfora, la inversión por profesionales puede compararse a esos concursos de los periódicos en que los concursantes tienen que seleccionar las seis caras más bonitas entre un centenar de fotografías, ganando el premio aquel competidor cuya selección corresponda más aproximadamente al promedio de las preferencias de los competidores en conjunto; de tal manera que cada concursante ha de elegir, no los semblantes que él mismo considere más bonitos, sino los que crea que serán más del agrado de los demás concursantes, todos los cuales observan el problema desde el mismo punto de vista. No es el caso de seleccionar aquellas que, según el mejor juicio propio, son realmente las más bellas, ni siguiera las que la opinión general cree que lo son efectivamente. Hemos alcanzado el tercer grado en el que dedicamos nuestra inteligencia a anticipar lo que la opinión promedio espera que sea la opinión promedio. Y existen algunos, según creo, que practican los grados cuarto, quinto y otros superiores.

Si el lector objeta que, a la larga, un individuo experimentado y no perturbado por el pasatiempo debe poder ganar grandes sumas a los otros jugadores, si sigue comprando inversiones de acuerdo con sus expectativas más perfectas a largo plazo, podría objetársele, ante todo, que hay, en verdad, individuos de mentalidad tan seria como ésa, y que un mercado de inversión será muy diferente según que la influencia de esta gente seria predomine o no sobre la opinión de los jugadores. También debemos añadir que hay varios factores que comprometen el predominio de tales individuos en los mercados de inversión modernos. La inversión basada en las expectativas auténticas a largo plazo es tan difícil en la actualidad que apenas puede ponerse en práctica. Quién intente hacerla, seguramente deberá sobrellevar días mucho más laboriosos y correr riesgos mucho mayores que quien trata de adivinar mejor que la muchedumbre lo que ésta hará; y, a igualdad de inteligencia, puede cometer equivocaciones más desastrosas. La experiencia no da pruebas claras de que una política de inversión ventajosa socialmente coincida con la más productiva. Se necesita más inteligencia para derrotar las fuerzas del tiempo y nuestra ignorancia respecto al futuro que para ganar la delantera. Más todavía, la vida no es bastante larga, la naturaleza humana desea resultados rápidos, hay un deleite particular en hacer dinero pronto, y las ganancias remotas son descontadas por el hombre medio a tasas muy altas. El juego de los inversionistas profesionales es intolerablemente aburrido y demasiado exigente para cualquiera que esté completamente libre del instinto de jugador; en tanto que quien lo posee ha de pagar el correspondiente tributo por esta inclinación. Aún más, un inversionista que se proponga pasar por alto las fluctuaciones a corto plazo en el mercado necesita mayores recursos para su seguridad y no debe operar en tan gran escala, si es que en alguna, con dinero prestado —y ésta es una razón más de los rendimientos superiores que el pasatiempo da a quien posee cierto acopio de inteligencia y recursos—. Finalmente es el inversionista a largo plazo, aquel que más promueve el interés público, quien en la práctica levanta contra sí mayor crítica, dondequiera que los fondos de inversión sean manejados por comités, o consejos, o bancos;[73] porque la esencia de esta conducta es la de que deba ser excéntrica, sin convencionalismos y temeraria a los ojos de la opinión media. Si tiene éxito, eso únicamente confirmará la creencia general en su temeridad; y si fracasa en corto plazo, lo que es muy probable, no habrá mucha compasión para la víctima. La sabiduría mundana enseña que es mejor para la reputación fracasar convencionalmente que triunfar no convencionalmente.

5) Hasta ahora hemos tenido presente ante todo el estado de confianza del especulador o del inversionista especulativo mismo y podría parecer que hemos supuesto tácitamente que, si él está satisfecho con sus propias perspectivas, tiene dominio ilimitado sobre el dinero a la tasa de interés del mercado. Este no es el caso real, ciertamente, y por ello debemos tener también en cuenta la otra faceta del estado de la confianza, es decir, la confianza de las instituciones de crédito en aquellos que buscan préstamos en ellas, que algunas veces se ha descrito como el estado del crédito. Una baja violenta en el precio de los valores de rendimiento variable que haya tenido reacciones desastrosas sobre la eficiencia del capital, puede haberse debido al debilitamiento de la confianza especulativa o del estado del crédito. Pero mientras el debilitamiento de cualquiera de los dos es suficiente para ocasionar una baja violenta, la recuperación necesita que ambos revivan; porque mientras el debilitamiento del crédito es suficiente para ocasionar una postración, su fortalecimiento, aunque es requisito previo de la recuperación, no basta.

VI

Estas consideraciones no deberían quedar fuera de la esfera del economista; pero deben ser relegadas a su justa perspectiva. Si se me permite aplicar el término especulación a la actividad de prever la psicología del mercado, y la palabra empresa, o espíritu de empresa, a la tarea de prever los rendimientos probables de los bienes por todo el tiempo que duren, de ninguna manera es cierto que siempre predomine la especulación sobre la empresa. No obstante, a medida que mejora la organización de los mercados de inversión, el riesgo del predominio de la especulación aumenta. En uno de los mayores mercados de inversión del mundo, como Nueva York, la influencia de la especulación (en el sentido anterior) es enorme. Aun fuera del campo de las finanzas, los norteamericanos son capaces de interesarse demasiado por descubrir lo que la opinión media cree que será la opinión media; y esta debilidad nacional encuentra su Némesis en el mercado de valores. Se dice que es raro que un norteamericano invierta, como lo hacen muchos ingleses todavía, “para percibir una renta”; y no será fácil que compre un valor redituable si no tiene la esperanza de una apreciación del capital. Esto es sólo una forma de decir que cuando el norteamericano compra una inversión está poniendo sus esperanzas, no tanto en su rendimiento probable como en un cambio favorable en las bases convencionales de valoración; es decir, que es, en el sentido anterior, un especulador. Los especuladores pueden no hacer daño cuando sólo son burbujas en una corriente firme de espíritu de empresa; pero la situación es seria cuando la empresa se convierte en burbuja dentro de una vorágine de especulación. Cuando el desarrollo del capital en un país se convierte en subproducto de las actividades propias de un casino, es probable que aquél se realice mal. La medida del éxito obtenido por Wall Street, considerada como una institución cuya finalidad social es guiar las nuevas inversiones por los cauces más productivos en términos de rendimiento futuro, no puede presentarse como uno de los triunfos prominentes del capitalismo de laissez faire —lo que no es sorprendente si estoy en lo justo al pensar que los mejores cerebros de Wall Street se han orientado de hecho hacia un fin diferente.

Estas tendencias son una consecuencia difícilmente eludible de que hayamos logrado organizar mercados de inversiones “líquidos”. Generalmente se admite que, en interés público, los casinos deben ser inaccesibles y costosos, y tal vez esto mismo sea cierto en el caso de las bolsas de valores. El hecho de que los pecados de la bolsa de valores de Londres sean menores que los de Wall Street, quizá no se deba tanto a las diferencias en el carácter nacional, como a la circunstancia de que, para el inglés de tipo medio, Throgmorton Street es inaccesible y muy costosa comparada con Wall Street para el mismo tipo de norteamericano. La comisión del corredor de bolsa, los fuertes cargos de los comisionistas y el pesado impuesto sobre operaciones o traslado de títulos que se paga a la Tesorería, gastos todos estos que acompañan a las operaciones en la bolsa de valores de Londres, reducen la liquidez del mercado (aunque la práctica de las liquidaciones quincenales opera en sentido opuesto) lo bastante para eliminar gran parte de las operaciones características de Wall Street.[74] La implantación de un impuesto fuerte sobre todas las operaciones de compraventa podría ser la mejor reforma disponible con el objeto de mitigar en Estados Unidos el predominio de la especulación sobre la empresa.

El espectáculo de los mercados de inversión modernos me ha llevado algunas veces a concluir que la compra de una inversión debe ser permanente e indisoluble, como el matrimonio, excepto por motivo de muerte o de otra causa grave, y esto será un remedio útil para nuestros males contemporáneos; porque tal cosa forzaría a los inversionistas a dirigir su atención solamente a las oportunidades a largo plazo; pero un pequeño examen de este recurso nos lleva a un dilema, y nos muestra cómo la liquidez de mercados de inversión a menudo facilita, aunque algunas veces impide, el curso de las nuevas inversiones. Porque el hecho de que cada inversionista individual se haga la ilusión de que su compromiso es “líquido” (aunque esto no puede ser cierto para todos los inversionistas colectivamente) calma sus nervios y los anima mucho más a correr el riesgo. Si las compras individuales de inversiones perdieran su liquidez, esto podría obstruir seriamente las nuevas inversiones mientras el individuo disponga de formas alternativas de conservar sus ahorros. Éste es el dilema. En la medida que un individuo pueda emplear su riqueza en atesorar o en prestar dinero, la alternativa de comprar bienes reales de capital no puede ser lo bastante atractiva (especialmente para el hombre que no maneja los bienes de capital y sabe muy poco acerca de ellos), excepto cuando se organizan mercados en los que estos bienes puedan convertirse con facilidad en dinero.

La única cura radical para las crisis de confianza que afligen la vida económica del mundo moderno sería no permitir al individuo que escogiera entre consumir su ingreso y ordenar la producción de bienes específicos de capital, que, aun cuando se basan en pruebas precarias, lo impresionan como la inversión más halagüeña que está a su alcance. Podría suceder que, cuando lo acosan más que de ordinario las dudas concernientes al futuro, volviera, en su confusión, a consumir más y efectuar menos inversiones nuevas; pero esto evitaría las repercusiones desastrosas, acumulativas y de amplio alcance que se derivan de la facilidad que tiene para gastar su ingreso en una o en otra forma, cuando la duda lo asalta de este modo. Desde luego, quienes han subrayado los peligros sociales del atesoramiento de dinero han pensado en algo semejante; pero no han tenido en cuenta la posibilidad de que el fenómeno ocurra sin modificación alguna, o al menos sin algún cambio mensurable en el atesoramiento de dinero.

VII

Aun haciendo a un lado la inestabilidad debida a la especulación, hay otra inestabilidad que resulta de las características de la naturaleza humana: que gran parte de nuestras actividades positivas dependen más del optimismo espontáneo que de una expectativa matemática, ya sea moral, hedonista o económica. Quizá la mayor parte de nuestras decisiones de hacer algo positivo, cuyas consecuencias completas se irán presentando en muchos días por venir, sólo pueden considerarse como resultado de la fogosidad —de un resorte espontáneo que impulsa a la acción de preferencia a la quietud, y no como consecuencia de un promedio ponderado de los beneficios cuantitativos multiplicados por las probabilidades cuantitativas—. La “empresa” sólo pretende estar impulsada principalmente por el contenido de su programa, por muy ingenuo o poco sincero que pueda ser. Se basa en el cálculo exacto de los beneficios probables apenas un poco más que una expedición al Polo Sur. De este modo, si la fogosidad se enfría y el optimismo espontáneo vacila, dejando como única base de sustentación la previsión matemática, la “empresa” se marchita y muere —aunque el temor de perder puede tener bases poco razonables como las tuvieron antes las esperanzas de ganar.

Se puede afirmar sin miedo que la “empresa” que depende de las esperanzas que miran al futuro beneficia a la comunidad en su conjunto; pero la iniciativa individual solamente será adecuada cuando el cálculo razonable esté apuntalado y soportado por la energía animal, de tal manera que la idea de pérdidas finales que a menudo detiene a los precursores, como la experiencia les demuestra a ellos y a los demás, se rechaza del mismo modo que el hombre lleno de salud hace caso omiso de sus probabilidades de muerte.

Esto quiere decir, por desgracia, no sólo que se exagera la importancia de las depresiones y retrocesos, sino que la prosperidad económica depende excesivamente del ambiente político y social que agrada al tipo medio del hombre de negocios. Si el temor de un gobierno laborista o de un New Deal deprime la “empresa”, esto no tiene que ser necesariamente resultado de un cálculo razonable o de una conspiración con finalidades políticas; es simple consecuencia de trastornar el delicado equilibrio del optimismo espontáneo. Al calcular las posibilidades de inversión debemos tener en cuenta, por tanto, los nervios y la histeria, y aun la digestión o reacciones frente al estado del tiempo, de aquellos de cuya actividad espontánea depende principalmente.

No debemos deducir de esto que todo depende de oleadas de psicología irracional. Al contrario, el estado de expectativa a largo plazo es con frecuencia firme, y, aun cuando no lo sea, los otros factores ejercen efectos compensadores. Estamos simplemente acordándonos de que las decisiones humanas que afectan el futuro, ya sean personales, políticas o económicas, no pueden depender de la expectativa matemática estricta, desde el momento que las bases para realizar semejante cálculo no existen; y que es nuestra inclinación natural a la actividad la que hace girar las ruedas escogiendo nuestro ser racional entre las diversas alternativas lo mejor que puede, calculando cuando hay oportunidad, pero con frecuencia hallando el motivo en el capricho, el sentimentalismo o el azar.

VIII

Hay, además, ciertos factores importantes que de algún modo mitigan en la práctica los efectos de nuestra ignorancia del futuro. Debido al mecanismo del interés compuesto, combinado con la probabilidad de obsolescencia al correr del tiempo, existen muchas inversiones individuales cuyo rendimiento probable está genuinamente dominado por los rendimientos en un futuro comparativamente cercano. En el caso de la clase más importante de inversión a muy largo plazo, a saber, la edificación, el inversionista puede con frecuencia transferir riesgo al inquilino o por lo menos repartirlo entre ambos por medio de contratos largos, estando compensado el riesgo en la mente del inquilino por las ventajas de la continuidad y la seguridad. En el caso de otro tipo importante de inversión a largo plazo, como los valores de las empresas de servicios públicos, una parte importante del rendimiento probable está prácticamente garantizado por los privilegios de monopolio junto al derecho de cargar las tasas necesarias para obtener cierto margen estipulado. Finalmente, hay una clase de inversión, cada vez más importante, emprendida por las autoridades públicas, o a riesgo de las mismas, francamente influidas por el supuesto general de que hay ventajas sociales probables derivadas de ella cualquiera que pueda ser su productividad comercial dentro de un gran margen, y sin tratar de convencerse de que la previsión matemática del rendimiento sea por lo menos igual a la tasa corriente de interés —aunque la tasa que la autoridad pública tiene que pagar puede desempeñar todavía un papel decisivo en la determinación del volumen de operaciones de inversión que puede soportar.

De este modo, después de haber ponderado la importancia de la influencia de los cambios a corto plazo en la situación de las expectativas a largo plazo, por oposición a las modificaciones en la tasa de interés, podemos todavía volver sobre esta última y considerarla como un factor que, al menos en circunstancias normales, ejerce gran influencia, aunque no decisiva, sobre la tasa de inversión.

Sólo la experiencia, sin embargo, puede mostrar hasta qué punto la intervención en la tasa de interés es capaz de estimular continuamente el volumen adecuado de inversión. Por mi parte, soy ahora un poco escéptico respecto al éxito de una política puramente monetaria dirigida a influir sobre la tasa de interés. Espero ver al Estado, que está en situación de poder calcular la eficiencia marginal de los bienes de capital a largo plazo sobre la base de la conveniencia social general, asumir una responsabilidad cada vez mayor en la organización directa de las inversiones, ya que probablemente las fluctuaciones en la estimación que haga el mercado de la eficiencia marginal de las diferentes clases de capital, calculadas en la forma descrita antes, serán demasiado grandes para contrarrestarlas con alguna modificación factible de la tasa de interés.

 


 

CAPÍTULO 13

LA TEORÍA GENERAL DE LA TASA DE INTERÉS

I

EN EL CAPÍTULO 11 HEMOS MOSTRADO QUE, aunque existen fuerzas que hacen subir o bajar la tasa de inversión de modo que mantienen la eficiencia general del capital igual a la tasa de interés; sin embargo, la eficiencia marginal de capital en sí misma es cosa distinta de la tasa de interés prevaleciente. Puede decirse que la curva de la eficiencia marginal del capital rige los términos en que se demandan fondos disponibles para nuevas inversiones; mientras que la tasa de interés rige las condiciones en que se proveen corrientemente dichos fondos. Para completar nuestra teoría, por tanto, necesitamos saber lo que determina la tasa de interés.

En el capítulo 14 y su Apéndice nos ocupamos de las respuestas que hasta ahora se han dado a esta pregunta. En términos generales veremos que hacen depender la tasa de interés de la interacción de la curva de la eficiencia marginal del capital y de la propensión psicológica a ahorrar. Pero tan pronto como nos damos cuenta de que es importante deducir cuál será la tasa de interés con el solo conocimiento de la demanda y la oferta de ahorros para nuevas inversiones, se derrumba la noción de que la tasa de interés es el factor compensador que iguala la demanda de ahorros, en forma de nuevas inversiones que aparecen ante una tasa determinada, con la oferta de los mismos, que resulta, con igual tasa, de la propensión psicológica de la comunidad al ahorro. ¿Cuál es, pues, nuestra respuesta a esta pregunta?

II

Las preferencias psicológicas de tiempo de un individuo requieren dos clases de decisiones para realizarse por completo. La primera se relaciona con el aspecto de preferencia de tiempo que he denominado la propensión a consumir, la cual, actuando bajo la influencia de los varios motivos expuestos en el Libro III, determina qué parte de un ingreso consumirá cada individuo y cuánto guardará en alguna forma de poder adquisitivo de consumo futuro.

Pero una vez tomada esta decisión, le espera otra, es decir, en qué forma conservará el poder adquisitivo de consumo futuro que ha reservado, ya sea de su ingreso corriente o de ahorros previos. ¿Desea conservarlo en forma de poder adquisitivo líquido, inmediato (es decir, en dinero o su equivalente)? ¿O está dispuesto a desprenderse de poder adquisitivo inmediato por un periodo específico o indeterminado, dejando a la situación futura del mercado la fijación de las condiciones en que puede, si es necesario, convertir el poder adquisitivo diferido sobre bienes específicos en inmediato sobre bienes en general? En otras palabras, ¿cuál es el grado de su preferencia por la liquidez — cuando la preferencia por la liquidez del individuo está representada por una curva del volumen de recursos, valuados en dinero o en unidades de salarios, que deseará conservar en forma de dinero en diferentes circunstancias?

Veremos que el error de las teorías aceptadas sobre la tasa de interés está en que intentan derivarla del primero de estos dos elementos constitutivos de la preferencia psicológica de tiempo, menospreciando el segundo; y es este descuido el que debemos tratar de enmendar.

Debiera parecer evidente que la tasa de interés no puede ser recompensa al ahorro o a la espera como tales; porque si un hombre atesora sus ahorros en efectivo no gana interés, aunque ahorre lo mismo que antes. Por el contrario, la mera definición de tasa de interés nos dice, en muchas palabras, que la tasa de interés es la recompensa por privarse de liquidez durante un periodo determinado; porque dicha tasa no es, en sí misma, más que la inversa de la proporción que hay entre una suma de dinero y lo que se puede obtener por desprenderse del control del dinero a cambio de una deuda[75] durante un periodo determinado de tiempo.[76]

Así, en cualquier momento, por ser la tasa de interés la recompensa por desprenderse de la liquidez, es una medida de la renuencia de quienes poseen dinero a desprenderse del poder líquido que da. La tasa de interés no es “precio” que pone en equilibrio la demanda de recursos para invertir con la buena disposición para abstenerse del consumo presente. Es el “precio” que equilibra el deseo de conservar la riqueza en forma de efectivo, con la cantidad disponible de este último —lo que implica que si la tasa fuese menor, es decir, si la recompensa por desprenderse de efectivo se redujera, el volumen total de éste que el público desearía conservar excedería la oferta disponible y que si la tasa de interés se elevara habría un excedente de efectivo que nadie estaría dispuesto a guardar—. Si esta explicación es correcta, la cantidad de dinero es el otro factor que, combinado con la preferencia por la liquidez, determina la tasa real de interés en circunstancias dadas. La preferencia por la liquidez es una potencialidad o tendencia funcional que fija la cantidad de dinero que el público guardará cuando se conozca la tasa de interés; de tal manera que si r es la tasa de interés, M la cantidad de dinero y L la función de preferencia por la liquidez, tendremos M = L (r). Tal es la forma y lugar en que la cantidad de dinero penetra en el mecanismo económico.

Sin embargo, volvamos ahora hacia atrás y veamos por qué existe lo que se llama preferencia por la liquidez. A este respecto convendrá usar la vieja distinción entre el uso del dinero para las operaciones de negocios corrientes y el que tiene como reserva de valor. Por lo que respecta al primero de estos usos es evidente que vale la pena sacrificar, hasta cierto punto, algún interés para aumentar la liquidez. Pero dado que la tasa de interés nunca es negativa, ¿por qué preferiría alguien guardar su riqueza en una forma que rinde poco o ningún interés a conservarla en otra que sí lo da (suponiendo, claro está, por el momento, que el riesgo de pérdida es igual para un saldo bancario que para un bono)? La explicación completa es complicada y habrá de esperar hasta el capítulo 15. Hay, sin embargo, una condición necesaria sin la cual no podría haber preferencia de liquidez por el dinero como medio de conservar riqueza.

Esta condición necesaria es la existencia de incertidumbre respecto al futuro de la tasa de interés, es decir, respecto al complejo de tasas para plazos variables que regirá en fechas futuras; porque si pudieran preverse con certeza las que dominen en todo tiempo en el futuro, todas las tasas venideras podrían inferirse de las presentes para las deudas de diversos plazos, las que se ajustarían al conocimiento de las tasas futuras. Por ejemplo, si 1dr es el valor, en el presente año 1, de £ 1 diferida r años y se sabe que ndr será el valor, en el año n, de £ 1 diferida r años a partir de la fecha dada, tendremos:

de lo que se deduce que la tasa a que puede convertirse en efectivo cualquier deuda dentro de n años está determinada por dos de entre el complejo de tasas de interés corrientes. Si la actual es positiva para las deudas de cualquier plazo, ha de ser siempre más ventajoso comprar una deuda que guardar dinero como reserva de valor.

Si, por el contrario, la tasa futura es incierta, no podemos inferir con seguridad que ndr tenga que ser igual a 

cuando llegue el momento. Por eso, si puede concebirse que surja la necesidad de dinero efectivo líquido antes de que expiren los n años, existe el riesgo de incurrir en una pérdida al comprar una deuda a largo plazo y convertirla después en efectivo, en vez de haber conservado dinero en esa forma. La ganancia actuarial o expectativa matemática de ganancia calculada de acuerdo con las posibilidades existentes —si es que puede calcularse, cosa que es dudosa— debe ser suficiente para compensar el riesgo del desengaño.

Además, todavía queda un campo más amplio para la preferencia por la liquidez que resulta de la incertidumbre respecto del futuro de la tasa de interés, a condición de que haya un mercado organizado para comerciar con deudas; porque las diferentes personas estimarán de modo diverso las probabilidades y cualquiera que difiera de la opinión predominante, tal como se manifiesta en las cotizaciones del mercado, puede tener algún motivo de peso para conservar recursos líquidos con el fin de realizar una ganancia, si está en lo justo, al comprobarse en el momento oportuno que los 1dn guardaban una relación equivocada entre sí.[77]

Esto es muy semejante a lo que ya hemos estudiado con cierta amplitud al tratar de la eficiencia marginal del capital. Así como encontramos que la eficiencia marginal del capital no se fija por la “mejor” opinión, sino por la valoración del mercado, tal como la determina la psicología de masa, también las expectativas respecto al futuro de la tasa de interés, tal como las fija la misma psicología, tienen sus reacciones sobre la preferencia por la liquidez, pero con el añadido de que quien crea que las tasas futuras de interés estarán por encima de las supuestas por el mercado, tiene motivo para conservar dinero líquido real,[78] mientras el individuo que difiere del mercado en dirección opuesta, tendrá motivo para pedir dinero prestado a corto plazo con el fin de comprar deudas a plazo más largo. El precio de mercado se fijará en el nivel en que las ventas de los “bajistas” y las compras de los “alcistas” se equilibren.

Puede decirse que las tres clases de preferencia por la liquidez que hemos distinguido antes dependen de 1) el motivo transacción, es decir, la necesidad de efectivo para las operaciones corrientes de cambios personales y de negocios; 2) el motivo precaución, es decir, el deseo de seguridad respecto al futuro equivalente en efectivo de cierta parte de los recursos totales, y 3) el motivo especulativo, es decir, el propósito de conseguir ganancias por saber mejor que el mercado lo que el futuro traerá consigo. Igual que cuando estudiábamos la eficiencia marginal del capital, la cuestión de la deseabilidad de tener un mercado bien organizado para la compra-venta de deudas, nos presenta un dilema: si no hay tal mercado, la preferencia por la liquidez debida al motivo precaución crecería mucho; en tanto que la existencia de un mercado organizado da oportunidad para grandes fluctuaciones en la preferencia por la liquidez, debidas al motivo especulación.

Si suponemos que la preferencia por la liquidez debida al motivo transacción y al motivo precaución, absorben una cantidad en efectivo que no es muy sensitiva a los cambios en la tasa de interés como tal y aparte de sus reacciones sobre el nivel del ingreso, de tal manera que la cantidad total de dinero, menos esa cantidad, está disponible para satisfacer la preferencia por la liquidez debida al motivo especulación, tal vez se aclare el razonamiento indicando que la tasa de interés y el precio de los bonos deben ser fijados a un nivel en que el deseo de parte de ciertos individuos de mantener dinero en efectivo (porque a este nivel ellos se sienten “bajistas” en el futuro de los bonos) sea exactamente igual a la cantidad de efectivo disponible para el motivo especulación. Así, cada aumento en la cantidad de dinero debe elevar el precio de los valores lo suficiente para rebasar las expectativas de algunos “alcistas” e influir sobre ellos de tal manera que los vendan por efectivo y se sumen a la brigada de los “bajistas”. No obstante, si existe una demanda desdeñable de efectivo para satisfacer el motivo de especulación, excepto para un intervalo corto de transición, un aumento en la cantidad de dinero tendrá que reducir la tasa de interés casi inmediatamente en el grado que sea necesario para aumentar la ocupación y la unidad de salarios lo bastante para hacer que el efectivo adicional sea absorbido por los motivos transacción y precaución.

En lo general podemos suponer que la curva de preferencia por la liquidez que liga la cantidad de dinero con la tasa de interés es dada por una curva suave que muestra cómo esa tasa va descendiendo a medida que la cantidad de dinero crece; porque existen diversas causas que conducen todas al mismo resultado.

En primer lugar, es probable que según baja la tasa de interés, ceteris paribus, las preferencias por la liquidez debidas al motivo transacción absorban más dinero; porque si la baja en la tasa de interés aumenta el ingreso nacional, el volumen de dinero que conviene conservar para las transacciones crecerá más o menos en proporción al aumento en el ingreso; en tanto que, al mismo tiempo, disminuirá el costo de la conveniencia de que abunde el efectivo disponible, medido en pérdida de interés. A menos que midamos la preferencia por la liquidez en unidades de salarios en vez de hacerlo en dinero (lo que es conveniente en ciertos casos), se producirán resultados semejantes si el aumento de ocupación consiguiente a una baja en la tasa de interés conduce a un aumento de los salarios, es decir, a un aumento en el valor monetario de la unidad de salarios. En segundo lugar, cada baja en la tasa puede, como hemos visto, aumentar la cantidad de efectivo que ciertos individuos deseen conservar, porque sus puntos de vista respecto a la futura tasa de interés difieran de los del mercado.

No obstante, pueden desarrollarse determinadas circunstancias en que incluso un aumento considerable de la cantidad de dinero puede ejercer una influencia comparativamente pequeña sobre la tasa de interés; porque ese gran aumento puede ocasionar tal incertidumbre respecto al futuro que las preferencias por la liquidez debidas al motivo precaución pueden fortalecerse; mientras que la opinión acerca de la futura tasa puede ser tan unánime que una pequeña modificación en las presentes puede ocasionar una oleada de liquidaciones. Es interesante que la estabilidad del sistema y su sensibilidad ante los cambios en la cantidad de dinero hayan de depender hasta tal punto de la existencia de una variedad de opinión acerca de lo que es incierto. Lo mejor sería que conociéramos el futuro; pero, de no conocerlo, si hemos de dirigir la actividad del sistema económico modificando la cantidad de dinero, es importante que las opiniones difieran. Así, este método de control es más incierto en Estados Unidos, donde cada quien se inclina a tener la misma opinión al mismo tiempo, que en Inglaterra, donde las diferencias de opinión son más frecuentes.

III

Hemos introducido por primera vez al dinero en nuestro nexo causal, y podemos echar una primera ojeada a la forma en que los cambios en la cantidad de dinero penetran en el sistema económico. Sin embargo, si nos vemos tentados de asegurar que el dinero es el tónico que incita la actividad del sistema económico, debemos recordar que el vino se puede caer entre la copa y la boca; porque si bien puede esperarse que, ceteris paribus, un aumento en la cantidad de dinero reduzca la tasa de interés, esto no sucederá si las preferencias por la liquidez del público aumentan más que la cantidad de dinero; y mientras puede esperarse que, ceteris paribus, un descenso en la tasa de interés aumente el volumen de la inversión, esto no ocurrirá si la curva de la eficiencia marginal del capital baja con mayor rapidez que la tasa de interés; y mientras es de suponer que, ceteris paribus, un aumento en el volumen de la inversión haga subir la ocupación, esto puede no suceder si la propensión a consumir va en descenso. Finalmente, si el empleo aumenta, los precios subirán en un grado regido en parte por la forma de las funciones físicas de oferta, y en parte por la propensión de la unidad de salarios a subir en términos de dinero. Y cuando la producción ha aumentado y los precios han subido, el efecto de esto sobre la preferencia por la liquidez será aumentar la cantidad necesaria de dinero para mantener una tasa dada de interés.

IV

Aunque la preferencia por la liquidez debida al motivo especulación corresponde a lo que en mi Treatise on Money denominé “el ambiente de bajismo”, de ninguna manera es la misma cosa; porque el “bajismo” no se define allí como la relación funcional entre la tasa de interés (o precio de las deudas) y la cantidad de dinero, sino entre el precio del activo y las deudas, tomados en conjunto , y la cantidad de dinero. Esta idea, sin embargo, confundía los resultados debidos a un cambio en la tasa de interés con los procedentes de otro en la curva de la eficiencia marginal del capital —lo que espero haber evitado aquí.

V

El concepto de atesoramiento puede considerarse como una primera aproximación al de preferencia por la liquidez. Ciertamente, si fuéramos a sustituir “atesoramiento” por “propensión a atesorar” llegaríamos sustancialmente al mismo resultado. Pero si por “atesoramiento” queremos decir un aumento real en la tenencia de efectivo, es una idea incompleta, y seriamente desconcertante si nos hace pensar en “atesoramiento” y en “no atesoramiento” como simples alternativas, porque la decisión de atesorar no se toma en términos absolutos o sin tener en cuenta las ventajas ofrecidas por renunciar a la liquidez; resulta de comparar ventajas, y tenemos, por tanto, que saber lo que hay del otro lado. Más aún, es imposible que el monto real de atesoramiento cambie como resultado de las decisiones del público, mientras por “atesoramiento” queramos decir la tenencia real del efectivo; porque el volumen de atesoramiento tiene que ser igual a la cantidad de dinero (o —en ciertas definiciones— a la cantidad de dinero menos lo que se requiere para satisfacer el motivo transacción); y la cantidad de dinero no está determinada por el público. Todo lo que la propensión de éste al atesoramiento puede conseguir es fijar la tasa de interés a la que el deseo global de atesorar iguale al efectivo disponible. El hábito de desdeñar la relación de la tasa de interés con el atesoramiento puede explicar en parte por qué el interés ha sido generalmente considerado como la recompensa por no gastar, cuando en realidad es la recompensa por no atesorar.

 


 * 

CAPÍTULO 14

LA TEORÍA CLÁSICA DE LA TASA DE INTERÉS

I

¿CUÁL ES LA TEORÍA CLÁSICA DE LA TASA DE INTERÉS? Es algo que a todos nos han enseñado y que hemos aceptado sin gran reserva hasta hace poco tiempo. Sin embargo, me es difícil expresarla de modo preciso o descubrir una exposición explícita de ella en los principales tratados de escuela clásica moderna.[79]

Está claro, sin embargo, que esa tradición ha considerado la tasa de interés como el factor que equilibra la demanda de inversiones con la inclinación al ahorro. La inversión representa la demanda de recursos para invertir y los ahorros la oferta, en tanto que la tasa de interés es el precio de los recursos para invertir al cual se igualan ambas. Del mismo modo que el precio de una mercancía se fija necesariamente en el nivel en que la demanda es igual a la oferta, así la tasa de interés necesariamente se detiene, bajo el juego de las fuerzas del mercado, en el punto donde el monto de la inversión a esa tasa de interés es igual al de los ahorros, a dicha tasa de interés.

Lo anterior no se encuentra en los Principles de Marshall expresado en esos términos. No obstante, parece que ésta es su teoría, la misma en que yo también fui educado y, además, enseñé a otros por muchos años. Tómese, por ejemplo, el siguiente pasaje de sus Principles: “Siendo el interés el precio pagado por el uso del capital en cualquier mercado, tiende a un nivel de equilibrio en el que la demanda global de capital en dicho mercado a esa tasa de interés es igual al capital total que se proveerá a esa tasa”;[80] y en el libro Nature and Necessity of Interest, del profesor Cassel, se explica que la inversión es la “demanda de espera” y el ahorro la “oferta de espera”, y se da a entender que el interés es un “precio” que sirve para igualarlas a ambas, aunque tampoco aquí he encontrado palabras concretas que citar. El capítulo VI de Distribution of Wealth, del profesor Carver,[81] concibe claramente al interés como el factor que pone en equilibrio la desutilidad marginal de la espera con la productividad marginal del capital. Sir Alfred Flux (Economic Principles, p. 95) escribe: “Si es justo lo argumentado en nuestra discusión general, debe admitirse que se produce un ajuste automático entre el ahorro y las oportunidades de emplear capital lucrativamente… El ahorro no habrá excedido de sus posibilidades de ser útil… mientras la tasa de interés neta sea superior a cero.” El profesor Taussig (Principles, vol. II, p. 29) traza una curva de oferta de ahorros y una curva de demanda que representan “la productividad decreciente de las diversas dosis sucesivas de capital”, habiendo previamente sentado (p. 20) que “la tasa de interés se estabiliza a un nivel donde la productividad marginal del capital basta para hacer surgir la dosis marginal de ahorro”.[82] Walras, en el Apéndice I (III) de sus Eléments d’Économie pure, donde se ocupa de “el cambio de ahorros por capitales nuevos”, sostiene expresamente que correspondiendo a cada posible tasa de interés, hay una suma que los individuos ahorrarán y también otra que invertirán en bienes nuevos de capital; que estas dos cantidades tienden a igualarse entre sí; y que la tasa de interés es la variable que los iguala; de tal manera que ésta se fija en el nivel donde el ahorro, que representa la oferta de capital nuevo, es igual a la demanda del mismo. Así, se encuentra estrictamente dentro de la tradición clásica.

Ciertamente, el hombre de tipo medio —banquero, funcionario público o político— educado en la teoría tradicional, y también el economista, han mantenido la idea de que siempre que un individuo ejecuta un acto de ahorro ha hecho algo que automáticamente rebaja la tasa de interés; que tal cosa estimula automáticamente la producción de capital, y que la baja en la tasa de interés es precisamente la que se necesita para alentar la producción de capital en una extensión igual al aumento de los ahorros; y, además, que esto es un proceso autorregulador de ajuste que opera sin necesidad de intervención especial alguna o cuidado paternal de parte de la autoridad monetaria. De manera semejante —y esto es una creencia todavía más generalizada, aun en la actualidad— cada acto adicional de inversión necesariamente elevará la tasa de interés, si no está neutralizado por un cambio en la inclinación a ahorrar.

Ahora bien, el análisis de los capítulos anteriores habrá aclarado que esta interpretación del asunto ha de ser equivocada. Al investigar la razón de la diferencia de opinión hasta su origen, empecemos, sin embargo, con los puntos en que hay acuerdo.

A diferencia de la escuela neoclásica, que cree que el ahorro y la inversión pueden ser realmente desiguales, la escuela clásica propiamente dicha ha aceptado el punto de vista de que son iguales. Marshall, por ejemplo, seguramente creía , aunque no lo dijo expresamente, que el monto global del ahorro y de la inversión total son necesariamente iguales. En verdad, la mayoría de los miembros de la escuela clásica llevaron esta creencia demasiado lejos, desde el momento que sostenían que a todo acto individual de aumento de los ahorros sigue por necesidad otro correspondiente de crecimiento en la inversión. En lo que aquí importa, tampoco hay una diferencia sustancial entre mi curva de la eficiencia marginal del capital o de la demanda de inversión y la curva de demanda de capital en que pensaban algunos de los escritores clásicos que han sido citados antes. Cuando llegamos a la propensión a consumir y a su corolario, la propensión a ahorrar, estamos más próximos a una diferencia de opinión, debido al énfasis que ellos han puesto en la influencia de la tasa de interés sobre la propensión a ahorrar. Pero es de presumir que no quieran negar al nivel de ingresos una influencia importante también sobre el monto ahorrado; mientras que yo, por mi parte, no negaría que la tasa de interés puede quizá tener una influencia (aunque tal vez no de la clase que ellos suponen) sobre la parte ahorrada de un determinado ingreso. Todos estos puntos de acuerdo pueden resumirse en una proposición que la escuela clásica aceptaría y yo no discutiría, a saber, que si se supone conocido de antemano el nivel de ingresos, podemos inferir que la tasa corriente de interés debe estar en el punto donde la curva de la demanda de capital correspondiente a las diferentes tasas, corte la curva de las cantidades ahorradas de ese ingreso, a diferentes tipos de interés.

Pero es aquí donde se desliza el error definitivo en la teoría clásica. Si la escuela clásica se limitara a deducir de la proposición anterior que, dada la curva de la demanda de capital y la influencia de los cambios en la tasa de interés sobre la propensión a ahorrar partiendo de ingresos dados, el nivel de ingresos y la tasa deben tener una correlación única, no habría nada sobre qué porfiar. Más aún, esta proposición conduciría, naturalmente, a otra que contiene una verdad importante, a saber, que si se conoce la tasa de interés, lo mismo que la curva de demanda de capital y la influencia de la tasa de interés sobre la propensión a ahorrar partiendo de niveles dados de ingresos, el nivel de éstos debe ser el factor que iguala el monto de lo ahorrado con el de lo invertido. Pero, de hecho, la teoría clásica no solamente descuida la influencia de los cambios en el nivel de ingresos, sino que lleva consigo un error formal.

En efecto, como puede verse por las citas anteriores, la teoría clásica supone que se puede proceder inmediatamente a considerar (por ejemplo) el efecto de un desplazamiento de la curva de demanda de capital sobre la tasa de interés, sin moderar o modificar su hipótesis respecto al monto del ingreso dado que se trate y del cual van a salir los ahorros. Las variables independientes de la teoría clásica de la tasa de interés son la curva de demanda de capital y la influencia de la tasa sobre la cantidad ahorrada de un determinado ingreso, y cuando (por ejemplo) la curva de demanda de capital se desplaza, la nueva tasa de interés, de acuerdo con esta teoría, está fijada por el punto de intersección de la nueva curva de demanda de capital y la que liga la tasa con las cantidades que serán ahorradas de ese ingreso. La teoría clásica de la tasa de interés parece suponer que si la curva de demanda se desplaza o si la que liga la tasa con las cantidades ahorradas de un ingreso dado hace lo propio, o si ambas se desplazan, la nueva tasa estará determinada por el punto de intersección de las nuevas posiciones de las dos curvas. Pero ésta es una teoría absurda, porque el supuesto de que el ingreso es constante no es compatible con el de que estas dos curvas pueden desplazarse independientemente una de la otra. Si alguna de ellas se desplaza entonces el ingreso, en términos generales, cambiará, con el resultado de que todo el esquema basado en la hipótesis de un ingreso dado se derrumba. La posición sólo podría conservarse por medio de algún complicado supuesto que proveyera un cambio automático en la unidad de salarios, con una cantidad justamente suficiente en sus efectos sobre la preferencia por la liquidez, para establecer una tasa de interés, la cual neutralizará justamente el supuesto desplazamiento para llevar la producción al mismo nivel que antes. De hecho, no se encuentra en los escritores citados ninguna sugestión sobre la necesidad de semejante supuesto; en el mejor de los casos sería plausible solamente en relación con el equilibrio a largo plazo y no podría ser la base de una teoría de periodos cortos; ni hay razón para suponer que tenga validez siquiera para los periodos largos. En realidad, la teoría clásica no se ha dado cuenta de la importancia de los cambios en el nivel de ingresos o de la posibilidad de que éste sea realmente función de la tasa de inversión.

Lo anteriormente afirmado se puede ilustrar con el diagrama[83] siguiente. En ese diagrama el monto de la inversión (o del ahorro) I se mide verticalmente, y la tasa de interés r horizontalmente. X1X1′ es la primera posición de la curva de la demanda de inversión, y X2X2′ es la segunda posición de esta curva. La curva Y1 relaciona las cantidades ahorradas de un ingreso Y1 con varios niveles de la tasa de interés, siendo Y2, Y3, etc., las curvas correspondientes para niveles de ingreso Y2, Y3, etc. Supongamos que la curva Y1 es la curva Y correspondiente a una curva de demanda de inversión X1X1′ y una tasa de interés r1. Si la curva de la demanda de inversión se desplaza de X1X1′ a X2X2′, en general los ingresos se desplazarán también. Pero el diagrama que damos no contiene suficientes datos para indicarnos cuál será su nuevo valor; y, por tanto, no sabiendo cuál es la curva Y apropiada, no sabemos en qué punto la cortará la nueva curva de la demanda de inversión. Sin embargo, si consideramos el estado de la preferencia por la liquidez y la cantidad de dinero y estas magnitudes nos indican que la tasa de interés es r2, entonces la posición queda determinada por completo; porque la curva Y que intersecta X2X2′ en el punto situado en la vertical por encima de r2, es decir, la curva Y2, será la que corresponda. Así, pues, la curva X y las Y no nos dicen nada sobre la tasa de interés. Solamente nos indican cuál será el ingreso, siempre que por oros medios podamos averiguar cuál es la tasa de interés. Si no se ha modificado el estado de la preferencia por la liquidez ni la cantidad de dinero, de manera que la tasa de interés permanezca invariable, entonces la curva Y2′ que corta la nueva curva de demanda de inversiones verticalmente debajo del punto donde la curva Y1 corta a la vieja curva de demanda de inversión, será la curva Y que corresponda, e Y2′ el nuevo nivel de ingresos.

De este modo las funciones usadas por la teoría clásica, a saber, las reacciones de la inversión y de la parte ahorrada de un determinado ingreso ante un cambio en la tasa de interés, no proporcionan elementos suficientes para una teoría de ésta; pero conocida (por otros medios) la tasa de interés, podrían usarse para indicarnos cuál será el nivel de los ingresos, y, al contrario, cuál tendrá que ser la tasa, si el nivel de ingresos ha de mantenerse a determinada altura (por ejemplo , al nivel correspondiente a la ocupación plena).

El error surge de considerar el interés como la recompensa por la espera como tal, en vez de lo que se recibe por no atesorar, lo mismo que las tasas de rendimientos de los préstamos o las inversiones que implican diversos grados de riesgo no se deben considerar como la recompensa de la espera en sí, sino de correr el riesgo. Sin duda no existe una línea definida entre éstas y las llamadas tasas de interés “puras”, pues todas ellas son la retribución por correr el riesgo de una incertidumbre de cualquier clase. Solamente en caso de que el dinero se usara sólo para transacciones, y nunca como portador de valor, podría ser correcta una teoría diferente.[84]

 Hay, sin embargo, dos ideas familiares que quizá podrían haber advertido a la escuela clásica de que algo estaba equivocado. En primer lugar, se ha convenido, al menos desde la publicación de Nature and Necessity of Interest del profesos Cassel, que no es seguro que la parte ahorrada de un ingreso dado aumente siempre que crezca la tasa de interés; mientras que nadie duda que la curva de demanda de inversión baja al subir la tasa de interés; pero si las curvas Y y las X bajan cuando sube la tasa, no hay seguridad, en manera alguna, de que una determinada curva Y cortará a otra X en alguna parte. Esto sugiere que no pueden ser las curvas Y y X solas las que determinen la tasa de interés.

En segundo lugar, ha sido habitual suponer que un aumento en la cantidad de dinero tiende a reducir la tasa de interés, al menos al principio y en periodos cortos. Sin embargo, no se ha dado razón alguna de por qué un cambio en la cantidad de dinero deba afectar, ya sea a la curva de demanda de inversiones o a la voluntad de ahorrar parte de un ingreso dado. Así, la escuela clásica ha tenido una teoría de la tasa de interés en el volumen I, que trata de la teoría del valor, por completo diferente de la que ha sustentado en el volumen II, que trata de la teoría monetaria. Parece que ha permanecido inconmovible ante el conflicto y, que yo sepa, no ha realizado intentos para tender un puente entre ambas teorías. Esto se refiere a la escuela clásica propiamente dicha; ya que han sido las tentativas de la neoclásica de tender el puente las que han llevado a las peores confusiones; porque ésta ha llegado a la inferencia de que debe haber dos fuentes de abastecimiento para satisfacer a la curva de demanda de inversión; a saber, los ahorros propiamente dichos, de los que se ocupa la escuela clásica, más la suma que deja disponible cualquier aumento en la cantidad de dinero (lo que está equilibrado por ciertas clases de tributos sobre el público, llamados “ahorro forzado” o algo por el estilo). Esto conduce a la idea de que existe una tasa de interés “natural”, “neutral”[85] o de “equilibrio”, es decir, aquella que iguala la inversión con los ahorros clásicos propiamente dichos, sin adición alguna procedente de “ahorros forzados”; y finalmente, suponiendo que tengan razón desde el principio, a la solución más obvia de todas, o sea, que si la cantidad de dinero pudiera conservarse constante en cualquier circunstancia, no se presentaría ninguna de estas complicaciones, pues dejarían de ser posibles los males que se cree resultan del supuesto exceso de las inversiones sobre los ahorros propiamente dichos. Pero en este instante estamos hundidos en aguas profundas. “El pato salvaje se sumergió hasta el fondo —lo más hondo que pudo— y mordió con fuerza la cizaña, las algas y la basura que hay allí, de manera que se necesitaría un lebrel de inteligencia y habilidad extraordinaria para encontrarlo y sacarlo de nuevo.”

Así, el análisis tradicional es defectuoso porque no ha podido aislar correctamente las variables independientes del sistema. Ahorro e inversión son las determinadas, no las determinantes. Son producto gemelo de éstas, es decir, de la propensión a consumir, de la curva de eficiencia marginal del capital y de la tasa de interés. Dichas determinantes son, ciertamente, complejas de por sí, y cada una puede estar influida por los cambios probables en las otras. Pero siguen siendo independientes en el sentido de que sus valores no pueden ser deducidos de los de otros. El análisis tradicional ha advertido que el ahorro depende del ingreso, pero ha descuidado el hecho de que éste depende de la inversión, en tal forma que, cuando ésta cambia, el ingreso debe cambiar necesariamente en el grado precisamente necesario para hacer que la variación en el ahorro sea igual a la de la inversión.

Tampoco son más acertadas las teorías que intentan hacer depender la tasa de interés de “la eficiencia marginal del capital”. Es verdad que, en equilibrio, la tasa será igual a la eficiencia marginal del capital, ya que resultará lucrativo aumentar (o disminuir) el volumen corriente de inversión hasta que se llegue a la igualdad. Pero hacer de esto una teoría de la tasa de interés o derivarla de ahí, encierra un círculo vicioso, como advirtió Marshall después que hubo llegado a la mitad de la descripción de la tasa de interés siguiendo esa ruta.8[86] Porque la “eficiencia marginal del capital” depende en parte de la escala de inversión corriente, y necesitamos conocer la tasa antes que podamos calcular cuál será esta escala. La conclusión importante es que la producción de nuevas inversiones se llevará hasta el nivel en que la eficiencia marginal del capital se iguala con la tasa de interés; y lo que nos indica la curva de eficiencia marginal del capital no es la tasa de interés, sino hasta qué punto se llevará la producción de nuevas inversiones, conocida la tasa de interés.

El lector apreciará sin dificultad que el problema que aquí se estudia es materia de la mayor importancia teórica y también práctica; porque el principio económico que ha servido casi invariablemente de base a los consejos prácticos de los economistas, ha supuesto, en efecto, que, ceteris paribus, un descenso en los gastos tenderá a rebajar la tasa de interés y un aumento en la inversión a elevarla. Pero si lo que estas dos cantidades determinan no es la tasa de interés, sino el monto global de la ocupación, entonces nuestra visión del mecanismo del sistema económico cambiará sustancialmente. Una menor propensión a gastar será considerada de una manera por completo diferente si, en vez de tomarse como factor que, ceteris paribus, aumentará la inversión, se considera como factor que, ceteris paribus, hace disminuir la ocupación.

 


 * 

CAPÍTULO 14B

APÉNDICE SOBRE LA TASA DE INTERÉS EN LOS “PRINCIPLES OF ECONOMICS” DE MARSHALL, “PRINCIPLES OF POLITICAL ECONOMY” DE RICARDO Y EN OTRAS OBRAS

I

NO PUEDE ENCONTRARSE UNA EXPOSICIÓN ininterrumpida sobre la tasa de interés en los trabajos de Marshall, Edgeworth o del profesor Pigou —no más que unos cuantos obiter dicta—. Aparte del pasaje citado ya (p. 150) el único indicio importante sobre la posición de Marshall respecto a la tasa de interés se encuentra en sus Principles of Economics (6a ed.), Libro VI, pp. 534 y 593, cuya parte sustancial damos en las citas siguientes:

Siendo el interés el precio pagado por el uso del capital en cualquier mercado, tiende a un nivel de equilibrio en el que la demanda agregada de capital en dicho mercado, a esa tasa de interés es igual a la existencia agregada de capital (stock)[87] que se proveerá a esa tasa. Si el mercado que suponemos es pequeño —digamos una sola ciudad o una sola industria en un país progresista—, un aumento de su demanda de capital se cubrirá muy pronto con una oferta procedente de los distritos circundantes u otras industrias. Pero si consideramos el mundo en su conjunto, o al menos todo un país grande, como si fuera un solo mercado de capital, no podemos considerar que la oferta agregada del mismo se altere rápidamente y en considerable extensión por un cambio en la tasa de interés; porque el fondo general de capital es producto del trabajo y de la espera; y el trabajo extra[88] y la espera extra, para los que un alza en la tasa de interés sería un incentivo, no ascenderían a mucho en un plazo breve, comparados con el trabajo y la espera cuyo resultado es la existencia total de acervo de capital. Un gran incremento en la demanda de capital en general se enfrentará, durante cierto tiempo, no tanto a un incremento de la oferta como a una elevación en la tasa de interés,[89] lo que hará que el capital se retire parcialmente de aquellos usos en los que su utilidad marginal sea menor. El alza en la tasa de interés sólo acrecentará lenta y gradualmente la existencia total de capital (p. 534).

No debemos cansarnos de repetir que la frase “tasa de interés” sólo es aplicable en sentido muy limitado a las viejas inversiones de capital.[90] Por ejemplo, quizá podamos calcular que se invierte un capital comercial de unos siete mil millones en los diferentes negocios de Inglaterra al 3 por ciento, aproximadamente, de interés neto. Pero tal método de expresión, aunque conveniente y justificable para muchos fines, no es exacto. Lo que debería decirse es que considerando la tasa de interés neta sobre las inversiones de capital nuevo en cada uno de dichos negocios [es decir, sobre inversiones marginales] como del 3 por ciento, el ingreso neto agregado producido por el total del capital en giro invertido en los diversos negocios es tal que, si se capitaliza a 33 años (es decir, sobre la base de que el interés esté al 3 por ciento), alcanzaría la cifra de unos siete mil millones de libras; porque el valor del capital ya invertido en mejorar la tierra o levantar un edificio, en construir un ferrocarril o una máquina, es el valor agregado descontado correspondiente a sus futuros ingresos netos [o cuasi-rentas] que se prevén; y si disminuyera su capacidad para proporcionar ingresos, su valor bajaría proporcionalmente y sería el valor capitalizado de ese ingreso reducido, después de tener en cuenta la depreciación (p. 593).

En su Economics of Welfare (3ª ed.), p. 163, el profesor Pigou escribe:

La naturaleza del servicio de “esperar” ha sido muy mal interpretada. Algunas veces se ha supuesto que consiste en la provisión de dinero, otras en la provisión de tiempo, y en ambos supuestos se ha argüido que no contribuye en nada al dividendo. Ninguna de estas suposiciones es correcta. La “espera” significa simplemente aplazar el consumo que una persona puede efectuar inmediatamente, permitiendo así a los recursos, que podrían haber sido destruidos, asumir la forma de instrumentos de producción[91]… La unidad de “espera” es, por lo tanto, el uso de una cantidad determinada de recursos[92] —por ejemplo, trabajo o maquinaria— por un tiempo dado… En términos más generales podemos decir que la unidad de espera es una unidad de valor anual o, en el lenguaje más sencillo, aunque menos exacto, del Dr. Cassel, una libra-año… Puede hacerse una advertencia contra el generalizado punto de vista de que el volumen de capital acumulado en cualquier año es necesariamente igual al monto de los “ahorros” hechos durante el mismo. Esto no es así, aun cuando se interpreten los ahorros como netos, eliminando de este modo los de un hombre que se prestan para aumentar el consumo de otro, y cuando las acumulaciones temporales de derechos no usados a servicios en forma de dinero bancario no se toman en cuenta; porque muchos ahorros que se destinan a convertirse en capital , de hecho no cumplen su objeto debido a que se emplean equivocadamente en usos ruinosos.[93]

Creo que la única mención importante que hace el profesor Pigou a lo que determina la tasa de interés se encuentra en su libro Industrial Fluctuations (1ª ed.), pp. 251-3, donde ataca la opinión de que la tasa de interés, estando determinada por las condiciones generales de la demanda y la oferta de capital real, está fuera del control del banco central o de cualquier otro banco. Contra este razonamiento él arguye que: “Cuando los banqueros crean más crédito para los hombres de negocios, hacen, en su propio interés y sujeto a las explicaciones dadas en el capítulo XIII de la parte 1,[94] al público objeto de un tributo forzado de cosas reales, aumentando así el caudal de capital real de que dispone, y ocasionando una baja en la tasa real de interés, lo mismo para los préstamos a largo que a corto plazo. En resumen, es cierto que la tasa bancaria del dinero está sujeta por un vínculo mecánico a la tasa real de interés en los préstamos a largo plazo; pero no es verdad que esta última esté determinada por condiciones que se encuentran completamente fuera del control de los banqueros.”

He hecho mis comentarios a lo anterior en las notas al pie de página. La confusión que encuentro en las ideas de Marshall sobre el asunto se debe fundamentalmente, en mi opinión, a que se incluye el concepto de “interés”, que pertenece a una economía monetaria, en un tratado que no toma en cuenta el dinero. El “interés” no tiene realmente nada que hacer en los Principles of Economics de Marshall —pertenece a otra parte del tema—. El profesor Pigou, de acuerdo con las otras suposiciones tácitas que hace, nos lleva (en su Economics of Welfare) a inferir que la unidad de espera es lo mismo que la unidad de la inversión corriente y que la recompensa de la espera es cuasi-renta, y prácticamente nunca menciona el interés —que es como debe ser—. Sin embargo, estos escritores no se ocupan de una economía no monetaria (si es que tal cosa existe); suponen claramente que el dinero se usa y que existe un sistema bancario. Más aún, la tasa de interés apenas juega un papel más importante en Industrial Fluctuations del profesor Pigou (que es sobre todo un estudio de las fluctuaciones en la eficiencia marginal del capital) o en su Theory of Unemployment (que es primordialmente un estudio de lo que determina los cambios en el volumen de empleo, en el supuesto de que no exista desocupación involuntaria) que en su Economics of Welfare.

II

La siguiente cita, tomada de los Principles of Political Economy (p. 511) de

 Ricardo, da lo esencial de su teoría sobre la tasa de interés: El interés del dinero no está regulado por la tasa a que prestará el Banco, ya sea 5, 3 o 2 por ciento, sino por la tasa de ganancias que puede lograrse empleando capital, y que es por completo independiente de la cantidad o del valor del dinero. Aunque el Banco preste un millón, diez millones o cien millones, esto no altera permanentemente la tasa de interés, sino sólo el valor del dinero que de este modo se emite. En un caso podría requerirse diez o veinte veces más dinero que en el otro para llevar los mismos negocios. Las solicitudes de dinero al Banco dependen, pues, de la comparación entre la tasa de ganancias que puede lograrse con su empleo y aquella a que está dispuesto a prestarlo. Si se carga menos que la tasa de interés de mercado, no habrá cantidad alguna de dinero que no pueda prestarse —si se carga más, no se encontrarán sino derrochadores y pródigos como prestatarios.

Esto tiene perfiles tan claros, que proporciona un punto de partida mejor para un estudio que las frases de escritores posteriores, quienes, sin diferir realmente de la esencia de la doctrina ricardiana, se sienten, sin embargo, lo bastante incómodos con ella para buscar refugio en la neblina. Lo anterior, por supuesto, como siempre tratándose de Ricardo, ha de interpretarse como una doctrina para periodos largos, con el énfasis sobre la palabra “permanentemente” enclavada en la mitad del pasaje; y es interesante considerar los supuestos necesarios para hacerla válida.

Una vez más, el supuesto requerido es el clásico de que siempre hay ocupación plena; de manera que suponiendo que no ocurran cambios en la curva de oferta de trabajo en términos de producción, sólo hay un nivel posible de ocupación en el equilibrio a largo plazo. En esta hipótesis, con el acostumbrado ceteris paribus, es decir, que no haya en las propensiones psicológicas y expectativas más cambios que los derivados de una modificación en la cantidad de dinero, la teoría ricardiana es válida en el sentido de que, de acuerdo con los supuestos, sólo queda una tasa de interés compatible con la ocupación plena en periodos largos. Ricardo y sus sucesores descuidaron el hecho de que, aun a la larga, el volumen de ocupación no es necesariamente pleno, sino que puede variar, y que a cada política bancaria corresponde un nivel de ocupación diferente a largo plazo; de manera que hay cierto número de posiciones de equilibrio a largo plazo correspondientes a las diversas políticas concebibles que en materia de interés puede seguir la autoridad monetaria.

Si Ricardo se hubiera conformado con presentar su argumento aisladamente como aplicable a cualquier cantidad dada de dinero creado por la autoridad monetaria, todavía habría sido correcto en el supuesto de que los salarios monetarios son flexibles. Es decir, si Ricardo hubiera sostenido que la tasa de interés no sufriría alteración permanente aunque la autoridad monetaria fijara en diez o en cien millones la cantidad de dinero, su conclusión se mantendría en pie. Pero si por política de la autoridad monetaria queremos decir los términos en que aumentará o disminuirá la cantidad de dinero, es decir, la tasa de interés a la cual, bien sea por cambio en el volumen de los descuentos o por operaciones de mercado abierto, aumentará o reducirá sus disponibilidades —que es lo que Ricardo quiere decir expresamente en la cita anterior—, entonces ni esa política de la autoridad monetaria es nugatoria, ni sólo hay una política única compatible con el equilibrio a largo plazo; aunque en el caso extremo, en que se supone que los salarios monetarios bajan sin límite frente a la desocupación involuntaria debido a una fútil competencia por el empleo entre los trabajadores desocupados, sólo habrá, ciertamente, dos posiciones posibles a la larga —ocupación plena y el nivel de ocupación correspondiente a la tasa de interés a la cual la preferencia por la liquidez se vuelve absoluta (en el caso de que el volumen de empleo sea inferior al de empleo pleno)—. Suponiendo salarios monetarios flexibles, la cantidad de dinero como tal es, en verdad, nugatoria en periodos largos; pero los términos en que la autoridad monetaria modificará dicha cantidad entran como determinante real en el sistema económico.

Vale la pena añadir que las frases finales de lo transcrito sugieren que Ricardo descuidó los cambios posibles en la eficiencia marginal del capital según la cantidad invertida. Pero esto puede interpretarse una vez más como otro ejemplo de que su consistencia interna era superior a la de sus sucesores. Porque si el volumen de ocupación y las propensiones psicológicas de la comunidad se dan por conocidas, sólo hay, de hecho, una tasa posible de acumulación de capital, y, en consecuencia, solamente un valor posible para la eficacia marginal del capital. Ricardo nos ofrece la realización intelectual suprema, que no pueden alcanzar los espíritus más débiles, de adoptar un mundo hipotético distante de la experiencia como si fuera el de ésta y luego vivir en él sin contradicciones. Con la mayor parte de sus sucesores no se puede evitar que el sentido común penetre en ese mundo —con daño para su consistencia lógica.

III

El profesor Von Mises ha propuesto una teoría peculiar de la tasa de interés y de él la han tomado el profesor Hayek y también, según creo, el profesor Robbins; de acuerdo con esta teoría las modificaciones en la tasa de interés pueden identificarse con las de los niveles relativos de precios de los bienes de consumo y los bienes de capital.[95] No está claro cómo se llega a esta conclusión; pero el razonamiento parece desarrollarse como 168 sigue: por una simplificación algo drástica, la eficiencia marginal del capital se considera medida por la relación entre el precio de oferta de los nuevos artículos de consumo y el de los nuevos artículos de producción.[96] Luego se identifica esto con la tasa de interés. Se llama la atención sobre el hecho de que una baja de ésta resulta favorable a la inversión. Ergo, un descenso de la proporción que guarda el precio de los bienes de consumo con el de los bienes de producción es favorable a la inversión.

Por este medio se establece un eslabón entre el incremento individual del ahorro y el aumento de la inversión total; porque es un tópico común que el crecimiento del ahorro individual ocasionará una baja en el precio de los bienes del consumo y, muy posiblemente, una mayor que en el de los bienes de producción; de aquí que, según el razonamiento anterior, significa una baja de la tasa de interés que estimulará la inversión. Pero, por supuesto, un descenso en la eficiencia marginal de determinados bienes de capital y, en consecuencia, una baja de la curva de la eficiencia marginal del capital en general, tiene exactamente un efecto opuesto al que supone el razonamiento anterior; porque la inversión se estimula ya sea por un alza en la curva de la eficiencia marginal del capital o por una baja de la tasa de interés. Como resultado de confundir la eficiencia marginal del capital con la tasa de interés, el profesor Von Mises y sus discípulos han obtenido sus conclusiones precisamente al revés. Un buen ejemplo de confusión de este tipo es el que señala en el siguiente pasaje Alvin Hansen:[97] “Algunos economistas han sugerido que el efecto neto de reducir los gastos será un nivel de precios de artículos de consumo inferior al que existiría en otras condiciones, y que, en consecuencia, el estímulo a la inversión en capital fijo tendería con ello a reducirse al mínimo. Este punto de vista es, sin embargo, incorrecto y se base en una confusión del efecto que producen sobre la formación de capital 1) los precios mayores o menores de los bienes de consumo, y 2) un cambio en la tasa de interés. Es verdad que, a consecuencia de la reducción de los gastos y del aumento del ahorro, los precios de los bienes de consumo serían relativamente bajos comparados con los precios de los bienes de producción; pero esto significa, en efecto, una tasa menor de interés, y una tasa reducida alienta un crecimiento de la inversión de capital en campos donde, a mayores tasas, sería incosteable.”

 


 * 

CAPÍTULO 15

LOS INCENTIVOS PSICOLÓGICOS Y DE NEGOCIOS PARA LA LIQUIDEZ

I

UN ACTO DE AHORRO INDIVIDUAL SIGNIFICA —por decirlo así— el propósito de no comer hoy; pero no supone la necesidad de tomar una decisión de comer o comprar un par de botas dentro de una semana o de un año o de consumir cualquier cosa concreta en fecha alguna determinada. De este modo deprime los negocios de la preparación de la comida de hoy sin estimular los que preparan algún acto futuro de consumo. No es una sustitución de la demanda de consumo presente por demanda de consumo futuro, sino una disminución neta de la primera. Más aún, la expectativa de consumo futuro se basa en tal medida en la experiencia actual del consumo presente que una reducción de éste probablemente deprima al otro, con el resultado de que el acto de ahorro no solamente abatirá el precio de los artículos de consumo dejando inafectada la eficiencia marginal del capital existente, sino que en realidad puede tender también a deprimir la última. En este caso puede reducir la demanda de inversión actual lo mismo que la de consumo presente.

Si el ahorro consistiera no solamente en abstenerse de consumir en el presente, sino en situar simultáneamente una orden específica para consumo posterior, el efecto podría ser distinto; porque en tal caso la expectativa del futuro rendimiento de la inversión mejoraría y los recursos liberados de la preparación del consumo presente podrían trasladarse a la del futuro. No que fueran necesariamente, aun en este caso, de una escala igual al monto de los recursos liberados; ya que el intervalo deseado de espera podría requerir un método de producción tan desfavorablemente “indirecto” que tuviera una eficacia bastante inferior a la tasa corriente de interés, con el resultado de que el efecto favorable sobre la ocupación del pedido hecho para consumo futuro no acontecería en seguida, sino en alguna fecha posterior; de tal manera que la consecuencia inmediata del ahorro seguiría siendo adversa a la ocupación. De todos modos, sin embargo, una decisión individual de ahorrar, de hecho no significa hacer un pedido concreto para consumo posterior, sino simplemente la cancelación de uno presente. Así, desde el momento que la expectativa de consumir es la única razón de ser de la ocupación, no debería haber nada de paradójico en la conclusión de que la baja de la propensión a consumir tenga, ceteris paribus, un efecto deprimente sobre la ocupación.

La dificultad nace, pues, porque el acto de ahorro supone no una sustitución del consumo presente por algún consumo adicional concreto cuya preparación requiera inmediatamente tanta actividad económica como se necesitaría para un consumo actual igual en valor a la suma ahorrada; sino un deseo de “riqueza” como tal, es decir, de la potencialidad de consumir un artículo no especificado en fecha indeterminada. La idea absurda, aunque casi universal, de que un acto de ahorro individual es precisamente tan bueno para la demanda efectiva como otro de consumo también individual ha estado alimentada por la falacia mucho más especiosa que la conclusión de ella derivada, de que un deseo mayor de conservar riqueza, siendo en gran parte la misma cosa que un mayor deseo de mantener inversiones, debe al aumentar la demanda de inversión, ser estimulante de la producción respectiva; de modo que la inversión corriente es promovida por el ahorro individual en la misma medida que disminuye el consumo actual.

Es muy difícil desarraigar esta falacia de la mente de los hombres. El engaño proviene de creer que el propietario de riqueza desea un bien de capital por sí mismo, cuando en realidad lo que efectivamente desea es su rendimiento probable. Ahora bien, el rendimiento probable depende enteramente de la expectativa de la futura demanda efectiva que habrá en relación con las futuras condiciones de la oferta. Por tanto, si un acto de ahorro no hace nada por mejorar el rendimiento probable, tampoco lo hará para estimular la inversión. Más aún, con el fin de que un individuo que ahorra pueda alcanzar su deseada meta de posesión de riqueza, no es necesario que se produzca un nuevo bien de capital para satisfacerlo. El mero acto de ahorrar realizado por un individuo, siendo de dos caras, como hemos demostrado antes, obliga a algún otro individuo a transferirle alguna otra riqueza, vieja o nueva. Cada acto de ahorro implica una transferencia “forzada” inevitable de riqueza a quien ahorra, aunque él, a su vez, puede sufrir las consecuencias del ahorro de otros. Estas transferencias de riqueza no requieren la creación de otra nueva —en realidad, como lo hemos visto, pueden ser enemigas activas de ella—. La creación de riqueza nueva depende completamente de que su rendimiento probable alcance el nivel establecido por la tasa corriente de interés. El rendimiento probable de la nueva inversión marginal no se aumenta por el hecho de que alguien desee acrecentar su riqueza, ya que el presente rendimiento de la nueva inversión marginal depende de la expectativa de la demanda por un artículo determinado y en fecha determinada.

Tampoco evitamos esta conclusión con el argumento de que el propietario de riqueza desea, no un rendimiento probable dado, sino el rendimiento mejor en perspectiva y que esté disponible, de manera que un deseo mayor de poseer riqueza reduce el rendimiento probable con que han de conformarse los productos de nuevas inversiones, porque esto descuida el hecho de que siempre se puede oponer una alternativa a la propiedad de bienes reales de capital, o sea, la de dinero y deudas; de modo que el rendimiento probable con el cual los productores de inversiones nuevas tienen que conformarse no puede caer más abajo del nivel establecido por la tasa corriente de interés. Y ésta no depende, como hemos visto, de la fuerza del deseo de guardar riqueza, sino de la potencia de los deseos de conservarla en forma líquida o no líquida, respectivamente, junto con la magnitud de la oferta de riqueza en una de esas formas en relación con la oferta de la misma en la otra. Si el lector se encuentra todavía perplejo, que se pregunte por qué, permaneciendo inalterable la cantidad de dinero, un nuevo acto de ahorro disminuye la suma que se desea conservar en forma líquida a la tasa existente de interés. Algunas dudas más profundas que pueden presentarse cuando intentamos aventurarnos en los cómos y porqués, se tendrán en cuenta en el próximo capítulo.

II

Es mucho mejor hablar de que el capital da un rendimiento mientras dura, como excedente sobre su costo original, que decir que es productivo; pues la única razón por la cual un bien ofrece probabilidades de rendimiento mientras dura, teniendo sus servicios un valor total mayor que su precio de oferta inicial, se debe a que es escaso; y sigue siéndolo por la competencia de la tasa de interés del dinero. Si el capital se vuelve menos escaso, el excedente de rendimiento disminuirá, sin que se haya hecho menos productivo —al menos en sentido físico.

Por eso simpatizo con la doctrina preclásica de que todo es producido por el trabajo, ayudado por lo que acostumbraba llamarse arte y ahora se llama técnica, por los recursos naturales libres o que cuestan una renta, según su escasez o abundancia, y por los resultados del trabajo pasado, incorporado en los bienes, que también tiene un precio de acuerdo con su escasez o con su abundancia. Es preferible considerar al trabajo, incluyendo, por supuesto, los servicios personales del empresario y sus colaboradores , como el único factor de la producción que opera dentro de un determinado ambiente de técnica, recursos naturales, equipo de producción y demanda efectiva. Esto explica, en parte, por qué hemos podido tomar la unidad de trabajo como la única unidad física que necesitamos en nuestro sistema económico, aparte de las de dinero y de tiempo.

Es cierto que algunos procesos largos o indirectos son físicamente eficaces; pero lo mismo pasa con otros que son cortos. Los extensos no son físicamente eficientes porque son largos, sino que algunos, probablemente la mayor parte, serían físicamente muy ineficaces, debido a que existen probabilidades como las de echarse a perder o desgastarse con el tiempo.1[98] Para determinada fuerza de trabajo hay un límite definido a la cantidad de éste que se incorpora en los procesos indirectos, y que puede usarse ventajosamente. Fuera de otras consideraciones, debe haber una proporción definida entre la cantidad de trabajo empleada en hacer máquinas y la que se emplea en usarlas. La última cantidad de valor no aumentará de manera indefinida, relativamente a la magnitud del trabajo empleado, a medida que los procesos adoptados se hacen más y más indirectos, aun en el caso de que su eficacia física esté aumentando todavía. Sólo si el deseo de aplazar el consumo fuera lo bastante intenso para producir una situación en que la ocupación plena requiriera un volumen de inversión tan grande que significara una eficiencia marginal negativa del capital, sería ventajoso un proceso por el simple hecho de ser extenso; caso en el cual deberíamos emplear procesos que son físicamente ineficientes a condición de que fueran lo bastante largos para que la ganancia proporcionada por su aplazamiento equilibrara su ineficacia. Nos encontraríamos, de hecho, ante una situación en la cual los procesos cortos tendrían que conservarse lo bastante escasos para que su eficiencia física equilibrara la desventaja de la pronta entrega de su producto. Una teoría correcta, por tanto, debe ser reversible, de manera que pueda abarcar los casos de la eficiencia marginal del capital correspondiente a una tasa positiva o negativa de interés; y, según creo, solamente la teoría de la escasez delineada antes es capaz de conseguirlo.

Más todavía, hay toda clase de razones por las cuales varias clases de servicios y facilidades son escasos y, por tanto, caros, relativamente a la cantidad de trabajo que suponen. Por ejemplo, los procesos malolientes requieren una recompensa mayor, debido a que la gente no los emprendería de otro modo. Lo mismo ocurre con los arriesgados; pero no delineamos una teoría de la productividad de esos procesos como tales. En resumen, no todo el trabajo se desempeña en circunstancias igualmente agradables; y las condiciones de equilibrio requieren que los artículos producidos en condiciones menos atractivas (caracterizados por su mal olor, el riesgo o el transcurso del tiempo) deben seguir siendo bastante escasos para que puedan alcanzar un precio más alto. Pero si el transcurso de tiempo llega a ser una circunstancia agradable, lo que es muy posible y ya es válido para muchos individuos, entonces, como dije antes, son los procesos cortos los que deben seguir siendo suficientemente escasos.

Dado el grado óptimo de lo indirecto de la producción (round-aboutness) seleccionaremos, por supuesto, los procesos indirectos más eficaces que podamos hallar para lograr el total requerido. Pero el volumen óptimo en sí mismo debiera ser tal que abasteciera en las fechas que correspondan aquella parte de la demanda de los consumidores que se desee aplazar. Es decir, en condiciones óptimas la producción debiera organizarse de tal modo que preveyera del modo más eficaz y compatible con la entrega en las fechas en que espera que la demanda de los consumidores sea efectiva. No tiene objeto producir para entregar en fechas diferentes de éstas, aun cuando la producción física pudiera aumentarse cambiando el momento de la entrega —excepto en la medida en que, por decirlo así, la probabilidad de una comida más abundante induzca al consumidor a anticipar o retardar la hora de comer—. Si después de oír todos los detalles relativos a las comidas que pueden obtenerse fijando el momento de cenar en horas diferentes, se espera que el consumidor vaya a decidirse en favor de las ocho, compete al cocinero proveer la mejor cena que pueda para servirla a esa hora, sin tomar en cuenta que las siete y media, las ocho o las ocho y media fuera la que más le conviniera si el tiempo no tuviera importancia alguna, en uno o en otro sentido, y su única tarea fuese producir la mejor en términos absolutos. En ciertas fases de la sociedad cabría que pudiéramos obtener cenas físicamente mejores tomándolas más tarde de lo que acostumbramos; pero es igualmente concebible que, en otras fases, pudiéramos conseguirlas mejores haciéndolo más temprano. Como antes dijimos, nuestra teoría debe ser aplicable a los dos casos.

Si la tasa de interés fuese cero, habría un intervalo óptimo para cualquier artículo dado, entre la fecha promedio del insumo de factores productivos y la de consumo, para el cual el costo en trabajo sería mínimo —un proceso de producción más corto sería menos eficaz técnicamente, en tanto que otro más largo lo sería también por razón de los costos de almacenamiento y deterioro—. Sin embargo, si la tasa está sobre cero, se introduce un nuevo elemento de costo que aumenta con la duración del proceso, de tal manera que el intervalo óptimo se reducirá y el insumo corriente de factores productivos para proveer a la entrega eventual del artículo tendrá que ser recortado hasta que el precio probable haya subido lo suficiente para cubrir el aumento del costo —un costo que se elevará tanto por los cargos de interés como por la eficiencia decreciente del método abreviado de producción—. Por el contrario, si la tasa de interés cae por debajo de cero (suponiendo que esto sea técnicamente posible) ocurría al revés. Dado el cálculo de la demanda de los consumidores, el insumo corriente de factores productivos en la actualidad tiene que competir, por decirlo así, con la alternativa de iniciar el insumo en fecha posterior; y, en consecuencia, el insumo corriente solamente valdrá la pena cuando la mayor baratura de producir después en vez de hoy, por razón de la mayor eficacia técnica o de los cambios probables en los precios, sea insuficiente para equilibrar la reducción del ingreso debida al interés negativo. En el caso de la gran mayoría de los artículos supondría una gran ineficacia técnica anticipar el insumo de factores más allá de un pequeño periodo de tiempo, que adelante a su probable consumo. De este modo, aunque la tasa de interés sea cero, hay un límite estricto para la proporción de la demanda probable de los consumidores en que es provechoso comenzar a proveer por adelantado; y a medida que la tasa sube, la proporción de la demanda probable de los consumidores para la que conviene producir en la actualidad se acorta pari passu.

III

Hemos visto que el capital debe conservarse lo bastante escaso, a largo plazo, para que tenga una eficiencia marginal cuando menos de la misma magnitud que la tasa de interés durante un periodo igual a la duración del capital, de acuerdo con las condiciones psicológicas e institucionales. ¿Qué significaría esto para una sociedad dispuesta a ahorrar en condiciones de ocupación plena y tan bien dotada de capital que la eficiencia marginal fuera cero, y que con una inversión adicional se volvería negativa; contando, a pesar de ello, con un sistema monetario tal que el dinero se “conserve” y suponga costos de almacenamiento y custodia irrisorios, de modo que en la práctica el interés no podría ser negativo?

Si, en tales circunstancias, partimos de la posición de ocupación plena, los empresarios necesariamente tendrán pérdidas, de continuar ofreciendo empleo en una escala que use la totalidad de la existencia de capital. En consecuencia, el capital existente y el nivel de ocupación tendrán que reducirse hasta que la comunidad se empobrezca de tal modo que el conjunto de los ahorros haya llegado a cero, estando neutralizado el ahorro positivo de ciertos individuos o grupos por el ahorro negativo de otros. Así, para una sociedad tal como la que hemos supuesto, la posición de equilibrio, en condiciones de laissez faire, será aquella en que el empleo sea lo bastante bajo y el nivel de vida suficientemente miserable para empujar los ahorros hasta cero. Lo más probable será que haya un movimiento cíclico alrededor de esta posición de equilibrio; porque si todavía queda lugar para la incertidumbre acerca del futuro, la eficiencia marginal del capital subirá incidentalmente sobre cero, conduciendo a un “auge”; y en la siguiente “depresión” la existencia de capital puede bajar durante cierto tiempo a un nivel inferior al que rendiría a la larga una eficiencia marginal de cero. Suponiendo que la previsión sea correcta, la existencia de capital correspondiente al equilibrio que tendrá precisamente una eficiencia marginal de cero, será menor, por supuesto, que la correspondiente a la ocupación plena del trabajo disponible; porque el equipo que corresponde a esa magnitud de desocupación será el que asegure un ahorro nulo.

La única posición alternativa de equilibrio estaría determinada por un estado de cosas tal que una existencia de capital lo bastante grande para tener una eficiencia marginal de cero representara también una cantidad de riqueza de magnitud suficiente para saciar por completo el deseo agregado por parte del público de hacer provisión para el futuro, aun con ocupación completa, en circunstancias tales que no pueda obtenerse bonificación en forma de interés. Sin embargo, sería una coincidencia improbable que la propensión a ahorrar en condiciones de ocupación plena se satisficiera justamente en el nivel donde la existencia de capital alcanza el nivel en que su eficiencia marginal fuese cero. Por tanto, si esta posibilidad más favorable salva la situación, probablemente tendrá efectos, no en el nivel preciso donde la tasa de interés se desvanece, sino en algún otro previo, durante la baja gradual de dicha tasa.

Hemos supuesto hasta ahora un factor institucional que no permite a la tasa de interés ser negativa, en forma de dinero con costos de conservación irrisorios. De hecho, sin embargo, hay factores institucionales y psicológicos que marcan un límite muy por encima de cero a la baja practicable en la tasa de interés. En particular, los costos de poner en contacto a prestamistas y prestatarios de crédito y la incertidumbre respecto a la tasa futura de interés, que hemos examinado antes, marcan un límite inferior que, en las circunstancias presentes, puede ser quizá tan alto como 2 o 2½ por ciento a plazo largo. Si esto es correcto, puede presentarse muy pronto en la práctica la difícil posibilidad de una existencia creciente de riqueza en condiciones que impiden a la tasa de interés bajar más en un régimen de laissez faire. Más aún, si el nivel mínimo al que puede llevarse la tasa está apreciablemente por encima de cero, queda menor probabilidad de que el deseo agregado de acumular riqueza se sacie antes de que dicha tasa haya alcanzado su nivel mínimo.

La experiencia de posguerra de la Gran Bretaña y de Estados Unidos da ejemplos reales de cómo una acumulación de riqueza tan grande que su eficiencia marginal ha caído más rápidamente de lo que la tasa de interés está en posibilidad de bajar en presencia de los factores institucionales y psicológicos que prevalecen, puede interferir, en condiciones principalmente de laissez faire, con una magnitud razonable de ocupación y con el nivel de vida que las condiciones técnicas de producción sean capaces de proporcionar.

Se deduce que de dos comunidades iguales, con la misma técnica pero diferente existencia de capital, la que tanga menos puede ser capaz, por lo pronto, de gozar de un nivel de vida más alto que la comunidad que tenga más; aunque cuando la más pobre haya alcanzado a la rica —como puede presumirse que sucederá eventualmente— ambas sufrirán por igual la suerte de Midas. Esta inquietante conclusión depende, naturalmente, del supuesto de que la propensión a consumir y la tasa de inversión no estén controladas deliberadamente con miras al interés social, sino que se abandonen en su mayor parte a la influencia del laissez faire.

Si —por cualquier razón— la tasa de interés no puede descender tan de prisa como bajaría la eficiencia marginal del capital con una tasa de acumulación correspondiente a lo que la comunidad preferiría ahorrar con una tasa de interés igual a la eficiencia marginal del capital en condiciones de ocupación plena, entonces aun la misma desviación del deseo de guardar riqueza hacia el de conservar bienes, que no tendrá seguramente fruto económico alguno, aumentará el bienestar económico. El día en que la abundancia de capital interfiera con la de producción puede aplazarse en la medida en que los millonarios encuentren satisfacción en edificar poderosas mansiones para encerrarse en ellas mientras vivan y pirámides para albergarse después de muertos, o, arrepintiéndose de sus pecados levanten catedrales y funden monasterios o misiones en el extranjero. “Abrir hoyos en el suelo”, pagando con ahorros, no aumentará solamente la ocupación, sino el dividendo nacional real de bienes y servicios útiles. No es razonable, sin embargo, que una comunidad sensata se conforme con depender de paliativos tan fortuitos y frecuentemente tan dispendiosos, cuando ya sabemos de qué influencias depende la demanda efectiva.

IV

Supongamos que se toman medidas para asegurar que la tasa de interés corresponda a la de inversión propia de la ocupación plena. Supongamos, además, que la acción del estado interviene como un factor de compensación para procurar que el crecimiento del equipo de capital sea el adecuado para alcanzar la saturación a una tasa que no arroje una carga desproporcionada sobre el nivel de vida de la generación presente.

En tales supuestos, diría que una comunidad dirigida convenientemente y equipada con recursos técnicos modernos, cuya población no crezca rápidamente, debería ser capaz de reducir la eficiencia marginal del capital, en estado de equilibrio, aproximadamente a cero en una sola generación; de tal manera que alcanzáramos las condiciones de una comunidad cuasi-estacionaria, en la que los cambios y el progreso resultarían únicamente de modificaciones en la técnica, los gustos, la población y las instituciones, vendiéndose los productos del capital a un precio proporcionado al trabajo, etc., incorporado en ellos; de acuerdo precisamente con los mismos principios que rigen los precios de los artículos de consumo que tienen costos insignificantes por concepto de capital.

Si estoy en lo justo al suponer que es relativamente fácil hacer que los artículos de capital sean tan abundantes que la eficiencia marginal del capital sea cero, éste puede ser el camino más sensato para librarse gradualmente de muchas de las características objetables del capitalismo; porque un poco de reflexión mostrará los enormes cambios sociales que resultarían con la desaparición gradual de la tasa de rendimiento sobre la riqueza acumulada. Cualquier persona podría aún guardar su ingreso ganado con intención de gastarlo en una fecha posterior; pero su acumulación no crecería. Simplemente estaría en la posición del padre de Pope, quien, al retirarse de los negocios, se llevó un cofre lleno de dinero a su villa de Twickenham y atendía con él a sus gastos domésticos según lo iba necesitando.

Aunque desaparecería el rentista, todavía habría lugar, sin embargo, para la empresa y la habilidad en el cálculo de los rendimientos probables acerca de los cuales las opiniones pudieran diferir; porque lo anterior se refiere en primer lugar a la tasa pura de interés, independientemente de lo que se previera en concepto de riesgos y cosas semejantes, y no al rendimiento bruto de los bienes incluyendo el referente al riesgo. De este modo, a menos que la tasa pura de interés se mantuviera en una cifra negativa, todavía habría un rendimiento positivo para la inversión hábil en determinados bienes con dudosa probabilidad de rendir ganancias. Siempre que hubiera cierta repugnancia mensurable a correr riesgos, habría también un rendimiento neto positivo del conjunto de tales bienes en un periodo de tiempo; pero no es improbable que, en tales circunstancias, el interés por obtener un rendimiento de las inversiones dudosas pudiera ser tal que produjera en conjunto un rendimiento neto negativo.

 


 * 

CAPÍTULO 16

OBSERVACIONES ESPECIALES SOBRE LA NATURALEZA DEL CAPITAL

I

UN ACTO DE AHORRO INDIVIDUAL SIGNIFICA —por decirlo así— el propósito de no comer hoy; pero no supone la necesidad de tomar una decisión de comer o comprar un par de botas dentro de una semana o de un año o de consumir cualquier cosa concreta en fecha alguna determinada. De este modo deprime los negocios de la preparación de la comida de hoy sin estimular los que preparan algún acto futuro de consumo. No es una sustitución de la demanda de consumo presente por demanda de consumo futuro, sino una disminución neta de la primera. Más aún, la expectativa de consumo futuro se basa en tal medida en la experiencia actual del consumo presente que una reducción de éste probablemente deprima al otro, con el resultado de que el acto de ahorro no solamente abatirá el precio de los artículos de consumo dejando inafectada la eficiencia marginal del capital existente, sino que en realidad puede tender también a deprimir la última. En este caso puede reducir la demanda de inversión actual lo mismo que la de consumo presente.

Si el ahorro consistiera no solamente en abstenerse de consumir en el presente, sino en situar simultáneamente una orden específica para consumo posterior, el efecto podría ser distinto; porque en tal caso la expectativa del futuro rendimiento de la inversión mejoraría y los recursos liberados de la preparación del consumo presente podrían trasladarse a la del futuro. No que fueran necesariamente, aun en este caso, de una escala igual al monto de los recursos liberados; ya que el intervalo deseado de espera podría requerir un método de producción tan desfavorablemente “indirecto” que tuviera una eficacia bastante inferior a la tasa corriente de interés, con el resultado de que el efecto favorable sobre la ocupación del pedido hecho para consumo futuro no acontecería en seguida, sino en alguna fecha posterior; de tal manera que la consecuencia inmediata del ahorro seguiría siendo adversa a la ocupación. De todos modos, sin embargo, una decisión individual de ahorrar, de hecho no significa hacer un pedido concreto para consumo posterior, sino simplemente la cancelación de uno presente. Así, desde el momento que la expectativa de consumir es la única razón de ser de la ocupación, no debería haber nada de paradójico en la conclusión de que la baja de la propensión a consumir tenga, ceteris paribus, un efecto deprimente sobre la ocupación.

La dificultad nace, pues, porque el acto de ahorro supone no una sustitución del consumo presente por algún consumo adicional concreto cuya preparación requiera inmediatamente tanta actividad económica como se necesitaría para un consumo actual igual en valor a la suma ahorrada; sino un deseo de “riqueza” como tal, es decir, de la potencialidad de consumir un artículo no especificado en fecha indeterminada. La idea absurda, aunque casi universal, de que un acto de ahorro individual es precisamente tan bueno para la demanda efectiva como otro de consumo también individual ha estado alimentada por la falacia mucho más especiosa que la conclusión de ella derivada, de que un deseo mayor de conservar riqueza, siendo en gran parte la misma cosa que un mayor deseo de mantener inversiones, debe al aumentar la demanda de inversión, ser estimulante de la producción respectiva; de modo que la inversión corriente es promovida por el ahorro individual en la misma medida que disminuye el consumo actual.

Es muy difícil desarraigar esta falacia de la mente de los hombres. El engaño proviene de creer que el propietario de riqueza desea un bien de capital por sí mismo, cuando en realidad lo que efectivamente desea es su rendimiento probable. Ahora bien, el rendimiento probable depende enteramente de la expectativa de la futura demanda efectiva que habrá en relación con las futuras condiciones de la oferta. Por tanto, si un acto de ahorro no hace nada por mejorar el rendimiento probable, tampoco lo hará para estimular la inversión. Más aún, con el fin de que un individuo que ahorra pueda alcanzar su deseada meta de posesión de riqueza, no es necesario que se produzca un nuevo bien de capital para satisfacerlo. El mero acto de ahorrar realizado por un individuo, siendo de dos caras, como hemos demostrado antes, obliga a algún otro individuo a transferirle alguna otra riqueza, vieja o nueva. Cada acto de ahorro implica una transferencia “forzada” inevitable de riqueza a quien ahorra, aunque él, a su vez, puede sufrir las consecuencias del ahorro de otros. Estas transferencias de riqueza no requieren la creación de otra nueva —en realidad, como lo hemos visto, pueden ser enemigas activas de ella—. La creación de riqueza nueva depende completamente de que su rendimiento probable alcance el nivel establecido por la tasa corriente de interés. El rendimiento probable de la nueva inversión marginal no se aumenta por el hecho de que alguien desee acrecentar su riqueza, ya que el presente rendimiento de la nueva inversión marginal depende de la expectativa de la demanda por un artículo determinado y en fecha determinada.

Tampoco evitamos esta conclusión con el argumento de que el propietario de riqueza desea, no un rendimiento probable dado, sino el rendimiento mejor en perspectiva y que esté disponible, de manera que un deseo mayor de poseer riqueza reduce el rendimiento probable con que han de conformarse los productos de nuevas inversiones, porque esto descuida el hecho de que siempre se puede oponer una alternativa a la propiedad de bienes reales de capital, o sea, la de dinero y deudas; de modo que el rendimiento probable con el cual los productores de inversiones nuevas tienen que conformarse no puede caer más abajo del nivel establecido por la tasa corriente de interés. Y ésta no depende, como hemos visto, de la fuerza del deseo de guardar riqueza, sino de la potencia de los deseos de conservarla en forma líquida o no líquida, respectivamente, junto con la magnitud de la oferta de riqueza en una de esas formas en relación con la oferta de la misma en la otra. Si el lector se encuentra todavía perplejo, que se pregunte por qué, permaneciendo inalterable la cantidad de dinero, un nuevo acto de ahorro disminuye la suma que se desea conservar en forma líquida a la tasa existente de interés.

Algunas dudas más profundas que pueden presentarse cuando intentamos aventurarnos en los cómos y porqués, se tendrán en cuenta en el próximo capítulo.

II

Es mucho mejor hablar de que el capital da un rendimiento mientras dura, como excedente sobre su costo original, que decir que es productivo; pues la única razón por la cual un bien ofrece probabilidades de rendimiento mientras dura, teniendo sus servicios un valor total mayor que su precio de oferta inicial, se debe a que es escaso; y sigue siéndolo por la competencia de la tasa de interés del dinero. Si el capital se vuelve menos escaso, el excedente de rendimiento disminuirá, sin que se haya hecho menos productivo —al menos en sentido físico.

Por eso simpatizo con la doctrina preclásica de que todo es producido por el trabajo, ayudado por lo que acostumbraba llamarse arte y ahora se llama técnica, por los recursos naturales libres o que cuestan una renta, según su escasez o abundancia, y por los resultados del trabajo pasado, incorporado en los bienes, que también tiene un precio de acuerdo con su escasez o con su abundancia. Es preferible considerar al trabajo, incluyendo, por supuesto, los servicios personales del empresario y sus colaboradores , como el único factor de la producción que opera dentro de un determinado ambiente de técnica, recursos naturales, equipo de producción y demanda efectiva. Esto explica, en parte, por qué hemos podido tomar la unidad de trabajo como la única unidad física que necesitamos en nuestro sistema económico, aparte de las de dinero y de tiempo.

Es cierto que algunos procesos largos o indirectos son físicamente eficaces; pero lo mismo pasa con otros que son cortos. Los extensos no son físicamente eficientes porque son largos, sino que algunos, probablemente la mayor parte, serían físicamente muy ineficaces, debido a que existen probabilidades como las de echarse a perder o desgastarse con el tiempo.[99] Para determinada fuerza de trabajo hay un límite definido a la cantidad de éste que se incorpora en los procesos indirectos, y que puede usarse ventajosamente. Fuera de otras consideraciones, debe haber una proporción definida entre la cantidad de trabajo empleada en hacer máquinas y la que se emplea en usarlas. La última cantidad de valor no aumentará de manera indefinida, relativamente a la magnitud del trabajo empleado, a medida que los procesos adoptados se hacen más y más indirectos, aun en el caso de que su eficacia física esté aumentando todavía. Sólo si el deseo de aplazar el consumo fuera lo bastante intenso para producir una situación en que la ocupación plena requiriera un volumen de inversión tan grande que significara una eficiencia marginal negativa del capital, sería ventajoso un proceso por el simple hecho de ser extenso; caso en el cual deberíamos emplear procesos que son físicamente ineficientes a condición de que fueran lo bastante largos para que la ganancia proporcionada por su aplazamiento equilibrara su ineficacia. Nos encontraríamos, de hecho, ante una situación en la cual los procesos cortos tendrían que conservarse lo bastante escasos para que su eficiencia física equilibrara la desventaja de la pronta entrega de su producto. Una teoría correcta, por tanto, debe ser reversible, de manera que pueda abarcar los casos de la eficiencia marginal del capital correspondiente a una tasa positiva o negativa de interés; y, según creo, solamente la teoría de la escasez delineada antes es capaz de conseguirlo.

Más todavía, hay toda clase de razones por las cuales varias clases de servicios y facilidades son escasos y, por tanto, caros, relativamente a la cantidad de trabajo que suponen. Por ejemplo, los procesos malolientes requieren una recompensa mayor, debido a que la gente no los emprendería de otro modo. Lo mismo ocurre con los arriesgados; pero no delineamos una teoría de la productividad de esos procesos como tales. En resumen, no todo el trabajo se desempeña en circunstancias igualmente agradables; y las condiciones de equilibrio requieren que los artículos producidos en condiciones menos atractivas (caracterizados por su mal olor, el riesgo o el transcurso del tiempo) deben seguir siendo bastante escasos para que puedan alcanzar un precio más alto. Pero si el transcurso de tiempo llega a ser una circunstancia agradable, lo que es muy posible y ya es válido para muchos individuos, entonces, como dije antes, son los procesos cortos los que deben seguir siendo suficientemente escasos.

Dado el grado óptimo de lo indirecto de la producción (round-aboutness) seleccionaremos, por supuesto, los procesos indirectos más eficaces que podamos hallar para lograr el total requerido. Pero el volumen óptimo en sí mismo debiera ser tal que abasteciera en las fechas que correspondan aquella parte de la demanda de los consumidores que se desee aplazar. Es decir, en condiciones óptimas la producción debiera organizarse de tal modo que preveyera del modo más eficaz y compatible con la entrega en las fechas en que espera que la demanda de los consumidores sea efectiva. No tiene objeto producir para entregar en fechas diferentes de éstas, aun cuando la producción física pudiera aumentarse cambiando el momento de la entrega —excepto en la medida en que, por decirlo así, la probabilidad de una comida más abundante induzca al consumidor a anticipar o retardar la hora de comer—. Si después de oír todos los detalles relativos a las comidas que pueden obtenerse fijando el momento de cenar en horas diferentes, se espera que el consumidor vaya a decidirse en favor de las ocho, compete al cocinero proveer la mejor cena que pueda para servirla a esa hora, sin tomar en cuenta que las siete y media, las ocho o las ocho y media fuera la que más le conviniera si el tiempo no tuviera importancia alguna, en uno o en otro sentido, y su única tarea fuese producir la mejor en términos absolutos. En ciertas fases de la sociedad cabría que pudiéramos obtener cenas físicamente mejores tomándolas más tarde de lo que acostumbramos; pero es igualmente concebible que, en otras fases, pudiéramos conseguirlas mejores haciéndolo más temprano. Como antes dijimos, nuestra teoría debe ser aplicable a los dos casos.

Si la tasa de interés fuese cero, habría un intervalo óptimo para cualquier artículo dado, entre la fecha promedio del insumo de factores productivos y la de consumo, para el cual el costo en trabajo sería mínimo —un proceso de producción más corto sería menos eficaz técnicamente, en tanto que otro más largo lo sería también por razón de los costos de almacenamiento y deterioro—. Sin embargo, si la tasa está sobre cero, se introduce un nuevo elemento de costo que aumenta con la duración del proceso, de tal manera que el intervalo óptimo se reducirá y el insumo corriente de factores productivos para proveer a la entrega eventual del artículo tendrá que ser recortado hasta que el precio probable haya subido lo suficiente para cubrir el aumento del costo —un costo que se elevará tanto por los cargos de interés como por la eficiencia decreciente del método abreviado de producción—. Por el contrario, si la tasa de interés cae por debajo de cero (suponiendo que esto sea técnicamente posible) ocurría al revés. Dado el cálculo de la demanda de los consumidores, el insumo corriente de factores productivos en la actualidad tiene que competir, por decirlo así, con la alternativa de iniciar el insumo en fecha posterior; y, en consecuencia, el insumo corriente solamente valdrá la pena cuando la mayor baratura de producir después en vez de hoy, por razón de la mayor eficacia técnica o de los cambios probables en los precios, sea insuficiente para equilibrar la reducción del ingreso debida al interés negativo. En el caso de la gran mayoría de los artículos supondría una gran ineficacia técnica anticipar el insumo de factores más allá de un pequeño periodo de tiempo, que adelante a su probable consumo. De este modo, aunque la tasa de interés sea cero, hay un límite estricto para la proporción de la demanda probable de los consumidores en que es provechoso comenzar a proveer por adelantado; y a medida que la tasa sube, la proporción de la demanda probable de los consumidores para la que conviene producir en la actualidad se acorta pari passu.

III

Hemos visto que el capital debe conservarse lo bastante escaso, a largo plazo, para que tenga una eficiencia marginal cuando menos de la misma magnitud que la tasa de interés durante un periodo igual a la duración del capital, de acuerdo con las condiciones psicológicas e institucionales. ¿Qué significaría esto para una sociedad dispuesta a ahorrar en condiciones de ocupación plena y tan bien dotada de capital que la eficiencia marginal fuera cero, y que con una inversión adicional se volvería negativa; contando, a pesar de ello, con un sistema monetario tal que el dinero se “conserve” y suponga costos de almacenamiento y custodia irrisorios, de modo que en la práctica el interés no podría ser negativo?

Si, en tales circunstancias, partimos de la posición de ocupación plena, los empresarios necesariamente tendrán pérdidas, de continuar ofreciendo empleo en una escala que use la totalidad de la existencia de capital. En consecuencia, el capital existente y el nivel de ocupación tendrán que reducirse hasta que la comunidad se empobrezca de tal modo que el conjunto de los ahorros haya llegado a cero, estando neutralizado el ahorro positivo de ciertos individuos o grupos por el ahorro negativo de otros. Así, para una sociedad tal como la que hemos supuesto, la posición de equilibrio, en condiciones de laissez faire, será aquella en que el empleo sea lo bastante bajo y el nivel de vida suficientemente miserable para empujar los ahorros hasta cero. Lo más probable será que haya un movimiento cíclico alrededor de esta posición de equilibrio; porque si todavía queda lugar para la incertidumbre acerca del futuro, la eficiencia marginal del capital subirá incidentalmente sobre cero, conduciendo a un “auge”; y en la siguiente “depresión” la existencia de capital puede bajar durante cierto tiempo a un nivel inferior al que rendiría a la larga una eficiencia marginal de cero. Suponiendo que la previsión sea correcta, la existencia de capital correspondiente al equilibrio que tendrá precisamente una eficiencia marginal de cero, será menor, por supuesto, que la correspondiente a la ocupación plena del trabajo disponible; porque el equipo que corresponde a esa magnitud de desocupación será el que asegure un ahorro nulo.

La única posición alternativa de equilibrio estaría determinada por un estado de cosas tal que una existencia de capital lo bastante grande para tener una eficiencia marginal de cero representara también una cantidad de riqueza de magnitud suficiente para saciar por completo el deseo agregado por parte del público de hacer provisión para el futuro, aun con ocupación completa, en circunstancias tales que no pueda obtenerse bonificación en forma de interés. Sin embargo, sería una coincidencia improbable que la propensión a ahorrar en condiciones de ocupación plena se satisficiera justamente en el nivel donde la existencia de capital alcanza el nivel en que su eficiencia marginal fuese cero. Por tanto, si esta posibilidad más favorable salva la situación, probablemente tendrá efectos, no en el nivel preciso donde la tasa de interés se desvanece, sino en algún otro previo, durante la baja gradual de dicha tasa.

Hemos supuesto hasta ahora un factor institucional que no permite a la tasa de interés ser negativa, en forma de dinero con costos de conservación irrisorios. De hecho, sin embargo, hay factores institucionales y psicológicos que marcan un límite muy por encima de cero a la baja practicable en la tasa de interés. En particular, los costos de poner en contacto a prestamistas y prestatarios de crédito y la incertidumbre respecto a la tasa futura de interés, que hemos examinado antes, marcan un límite inferior que, en las circunstancias presentes, puede ser quizá tan alto como 2 o 2½ por ciento a plazo largo. Si esto es correcto, puede presentarse muy pronto en la práctica la difícil posibilidad de una existencia creciente de riqueza en condiciones que impiden a la tasa de interés bajar más en un régimen de laissez faire. Más aún, si el nivel mínimo al que puede llevarse la tasa está apreciablemente por encima de cero, queda menor probabilidad de que el deseo agregado de acumular riqueza se sacie antes de que dicha tasa haya alcanzado su nivel mínimo.

La experiencia de posguerra de la Gran Bretaña y de Estados Unidos da ejemplos reales de cómo una acumulación de riqueza tan grande que su eficiencia marginal ha caído más rápidamente de lo que la tasa de interés está en posibilidad de bajar en presencia de los factores institucionales y psicológicos que prevalecen, puede interferir, en condiciones principalmente de laissez faire, con una magnitud razonable de ocupación y con el nivel de vida que las condiciones técnicas de producción sean capaces de proporcionar.

Se deduce que de dos comunidades iguales, con la misma técnica pero diferente existencia de capital, la que tanga menos puede ser capaz, por lo pronto, de gozar de un nivel de vida más alto que la comunidad que tenga más; aunque cuando la más pobre haya alcanzado a la rica —como puede presumirse que sucederá eventualmente— ambas sufrirán por igual la suerte de Midas. Esta inquietante conclusión depende, naturalmente, del supuesto de que la propensión a consumir y la tasa de inversión no estén controladas deliberadamente con miras al interés social, sino que se abandonen en su mayor parte a la influencia del laissez faire.

Si —por cualquier razón— la tasa de interés no puede descender tan de prisa como bajaría la eficiencia marginal del capital con una tasa de acumulación correspondiente a lo que la comunidad preferiría ahorrar con una tasa de interés igual a la eficiencia marginal del capital en condiciones de ocupación plena, entonces aun la misma desviación del deseo de guardar riqueza hacia el de conservar bienes, que no tendrá seguramente fruto económico alguno, aumentará el bienestar económico. El día en que la abundancia de capital interfiera con la de producción puede aplazarse en la medida en que los millonarios encuentren satisfacción en edificar poderosas mansiones para encerrarse en ellas mientras vivan y pirámides para albergarse después de muertos, o, arrepintiéndose de sus pecados levanten catedrales y funden monasterios o misiones en el extranjero. “Abrir hoyos en el suelo”, pagando con ahorros, no aumentará solamente la ocupación, sino el dividendo nacional real de bienes y servicios útiles. No es razonable, sin embargo, que una comunidad sensata se conforme con depender de paliativos tan fortuitos y frecuentemente tan dispendiosos, cuando ya sabemos de qué influencias depende la demanda efectiva.

IV

Supongamos que se toman medidas para asegurar que la tasa de interés corresponda a la de inversión propia de la ocupación plena. Supongamos, además, que la acción del estado interviene como un factor de compensación para procurar que el crecimiento del equipo de capital sea el adecuado para alcanzar la saturación a una tasa que no arroje una carga desproporcionada sobre el nivel de vida de la generación presente.

En tales supuestos, diría que una comunidad dirigida convenientemente y equipada con recursos técnicos modernos, cuya población no crezca rápidamente, debería ser capaz de reducir la eficiencia marginal del capital, en estado de equilibrio, aproximadamente a cero en una sola generación; de tal manera que alcanzáramos las condiciones de una comunidad cuasi-estacionaria, en la que los cambios y el progreso resultarían únicamente de modificaciones en la técnica, los gustos, la población y las instituciones, vendiéndose los productos del capital a un precio proporcionado al trabajo, etc., incorporado en ellos; de acuerdo precisamente con los mismos principios que rigen los precios de los artículos de consumo que tienen costos insignificantes por concepto de capital.

Si estoy en lo justo al suponer que es relativamente fácil hacer que los artículos de capital sean tan abundantes que la eficiencia marginal del capital sea cero, éste puede ser el camino más sensato para librarse gradualmente de muchas de las características objetables del capitalismo; porque un poco de reflexión mostrará los enormes cambios sociales que resultarían con la desaparición gradual de la tasa de rendimiento sobre la riqueza acumulada. Cualquier persona podría aún guardar su ingreso ganado con intención de gastarlo en una fecha posterior; pero su acumulación no crecería. Simplemente estaría en la posición del padre de Pope, quien, al retirarse de los negocios, se llevó un cofre lleno de dinero a su villa de Twickenham y atendía con él a sus gastos domésticos según lo iba necesitando.

Aunque desaparecería el rentista, todavía habría lugar, sin embargo, para la empresa y la habilidad en el cálculo de los rendimientos probables acerca de los cuales las opiniones pudieran diferir; porque lo anterior se refiere en primer lugar a la tasa pura de interés, independientemente de lo que se previera en concepto de riesgos y cosas semejantes, y no al rendimiento bruto de los bienes incluyendo el referente al riesgo. De este modo, a menos que la tasa pura de interés se mantuviera en una cifra negativa, todavía habría un rendimiento positivo para la inversión hábil en determinados bienes con dudosa probabilidad de rendir ganancias. Siempre que hubiera cierta repugnancia mensurable a correr riesgos, habría también un rendimiento neto positivo del conjunto de tales bienes en un periodo de tiempo; pero no es improbable que, en tales circunstancias, el interés por obtener un rendimiento de las inversiones dudosas pudiera ser tal que produjera en conjunto un rendimiento neto negativo.

 


 * 

CAPÍTULO 17

LAS PROPIEDADES ESENCIALES DEL INTERÉS Y EL DINERO

I

PARECE SER, PUES, QUE LA TASA MONETARIA DE INTERÉS juega papel peculiar en la fijación de un límite al volumen de ocupación, desde el momento que marca el nivel que debe alcanzar la eficiencia marginal de un bien de capital durable para que se vuelva a producir. Que esto debería ser así resulta de lo más confuso a primera vista. Es natural tratar de averiguar en dónde reside la peculiaridad del dinero que lo distingue de los otros bienes, si sólo el dinero tiene una tasa de interés y qué ocurriría en una economía no monetaria. Hasta que hayamos contestado estas preguntas no estará claro el significado completo de nuestra teoría.

La tasa monetaria de interés —permítasenos recordar al lector— no es otra cosa que el porciento de excedente de una suma de dinero contratada para entrega futura, por ejemplo, a un año de plazo, sobre lo que podemos llamar el precio inmediato (spot) o efectivo de esa suma. Parecería, por tanto, que para cada clase de bienes de capital durables debería existir una tasa análoga a la del interés sobre el dinero, porque hay una cantidad definida de (por ejemplo) trigo para ser entregada dentro de un año que tiene hoy el mismo valor en cambio que 100 arrobas de trigo para entrega inmediata. Si la primera cantidad es 105 arrobas, podemos decir que la tasa-trigo de interés es de 5 por ciento anual; y si es 95 arrobas, que es menos 5 por ciento anual. Así, para cada bien durable tenemos una tasa de interés medida en términos de sí mismo —una tasa trigo de interés, una tasa-cobre de interés, una tasa-casa de interés, y aun una tasa planta-de-acero de interés.

La diferencia entre los contratos “futuros” y a la “vista”, que se cotizan en el mercado, sobre un bien como el trigo, mantiene una relación definida con la tasa-trigo de interés; pero desde el momento que el contrato a futuro se cotiza en dinero para entrega futura y no en trigo para entrega inmediata, también trae a colación la tasa de interés monetaria. La relación exacta es como sigue:

Supongamos que el precio del trigo para entrega inmediata es de 100 libras esterlinas por 100 arrobas, que el precio del trigo en contrato a “futuro” para entregar dentro de un año, es de 107 libras esterlinas por 100 arrobas, y que la tasa de interés monetaria es de 5 por ciento; ¿cuál es la tasa-trigo de interés? 100 libras esterlinas comprarán hoy 105 para entrega futura, y 105 libras para entrega futura comprarán

A su vez 100 libras esterlinas hoy comprarán 100 arrobas de trigo para entrega inmediata. De este modo, 100 arrobas de trigo para entrega inmediata comprarán 98 arrobas para una futura. De ahí se deduce que la tasa-trigo de interés es menos 2 por ciento anual.[100]

De aquí se sigue que no hay razón por la cual las tasas de interés deban ser iguales para bienes diferentes —para que la tasa-trigo de interés deba ser igual a la tasa-cobre de interés—; porque la relación entre los contratos a la “vista” y a “futuro”, tal como se cotizan en el mercado, es notoriamente distinta para diferentes bienes. Esto, como veremos, nos llevará a la pista que estamos buscando; porque puede suceder que sea la mayor de las tasas propias de interés (como podríamos llamarlas) la que lleve la batuta (pues es la mayor de las tasas la que la eficiencia marginal de un bien durable de capital debe alcanzar para que pueda empezar a producirse); y porque hay razones por las que la tasa monetaria de interés a menudo es la mayor de todas (pues, como veremos, ciertas fuerzas que operan para reducir las tasas propias de interés de otros bienes no actúan en el caso del dinero).

Puede añadirse que, así como en un momento cualquiera existen diferentes tasas mercancías de interés, también los cambistas están familiarizados con el hecho de que la tasa de interés no es igual siquiera para dos monedas distintas, por ejemplo, libras esterlinas y dólares; porque aquí también las diferencias entre los contratos a la “vista” y a “futuro” para una moneda extranjera, en términos de la libra esterlina no son, por lo general, iguales para las diferentes monedas extranjeras.

Ahora bien, cada una de estas mercancías-patrón nos ofrece la misma facilidad que el dinero para medir la eficiencia marginal del capital; porque podemos tomar cualquiera que escojamos, por ejemplo, el trigo; calcular el valor-trigo de los rendimientos probables de cualquier bien capital; y la tasa de descuento que iguala el valor presente de estas series de anualidades de trigo al precio actual de oferta del bien en términos de trigo, nos da la eficiencia marginal de dicho bien en términos de trigo. Si no se espera ningún cambio en el valor relativo de dos patrones alternativos, la eficiencia marginal de un bien de capital será la misma en cualquiera de ambos que se mida, ya que el numerador y el denominador de la fracción que nos da la eficiencia marginal cambiarán en la misma proporción. Sin embargo, si se espera que uno de esos dos patrones alternativos cambie de valor en términos del otro, las eficiencias marginales de los bienes de capital variarán en el mismo por ciento, de acuerdo con el patrón en que se mida. Para ilustrar esto tomemos el caso más sencillo en que se espera que el trigo, uno de los dos patrones, suba de valor a una tasa de a por ciento anual en términos de dinero; la eficiencia marginal de un bien, que es x por ciento en dinero, será entonces x – a por ciento en términos de trigo. Desde el momento que las eficiencias marginales de todos los bienes de capital se alterarán en la misma proporción, se deduce que el orden de su magnitud será igual, independientemente del patrón que se elija.

Si hubiera alguna mercancía compuesta que pudiera tomarse en sentido estricto como representativa, podríamos considerar la tasa de interés y la eficiencia marginal del capital, en términos de esa mercancía, como si fueran, en cierto sentido, la tasa de interés única y la eficiencia marginal única del capital. Pero existen, ciertamente, los mismos obstáculos para lograr esto que cuando se trata de fijar un patrón de valor único.

Por tanto, hasta ahora, la tasa monetaria de interés no es singular, comparada con otras, sino que se encuentra precisamente en el mismo caso. ¿Dónde está, entonces, la peculiaridad de la tasa monetaria de interés que le da la importancia práctica predominante que se le atribuye en los capítulos precedentes? ¿Por qué han de estar el volumen de la producción y ocupación más íntimamente ligados con la tasa monetaria de interés que con la tasa-trigo o con la tasa-casa?

II

Consideremos cuáles serán probablemente las tasas-mercancías de interés en un periodo de (digamos) un año para los diferentes tipos de bienes. Desde el momento que tomamos cada bien como patrón, por turno, los rendimientos de cada uno deben considerarse a este propósito como medidos en términos de sí mismos.

Hay tres atributos que los diversos tipos de bienes poseen en distintos grados, a saber:

1) Algunos dan un rendimiento o producción q, medido en términos de ellos mismos, por contribuir en algún proceso productivo o por procurar servicios a un consumidor.

2) La mayor parte de los bienes, excepto el dinero, sufre desgaste o supone algún costo por el simple correr del tiempo (aparte de cualquier cambio en su valor relativo), independientemente de que se usen para dar un rendimiento; es decir, entrañan un costo de almacenamiento c medido en términos de sí mismos. No importa para nuestro objeto presente dónde tracemos exactamente la línea entre los costos que deducimos antes de calcular q y los que incluimos en c, ya que en lo que sigue nos ocuparemos exclusivamente de q – c.

3) Finalmente, el poder de disponer de un bien durante determinado periodo puede ofrecer una conveniencia o seguridad potencial que no son iguales para bienes de clase diferente, aunque los bienes sean del mismo valor inicial. No hay, por así decirlo, ningún resultado tangible en forma de producción al final del periodo y, no obstante, es una cosa por la cual la gente está dispuesta a pagar algo. La cantidad (medida en términos de sí misma) que está dispuesta a pagar por la conveniencia o la seguridad potenciales proporcionadas por este poder de disponer (deducción hecha del rendimiento o el costo de almacenamiento que lleva consigo el bien) la llamaremos su prima de liquidez l.

Se deduce que el rendimiento total que se espera de la propiedad de un bien, durante un periodo cualquiera, es igual a su rendimiento menos su costo de almacenamiento más su prima de liquidez, es decir, a q – c + l. Es decir, q – c + l es la tasa de interés propia de cualquier bien, donde q, c y l se miden en unidades de sí mismos como patrón.

Es característico del capital instrumental (por ejemplo, una máquina) o del capital de consumo (por ejemplo, una casa) en uso, que su rendimiento exceda normalmente al costo de almacenamiento, en tanto que su prima de liquidez es probablemente desdeñable; de una existencia de bienes líquidos o de un excedente almacenado de capital instrumental o de consumo, que incurra en un costo de almacenamiento, medido en unidades de sí mismo, sin que dé rendimiento alguno para compensarlo, siendo en ese caso generalmente desdeñable también la prima de liquidez, tan pronto como las existencias exceden de un nivel moderado, aunque susceptible de ser de importancia en circunstancias especiales; y del dinero, que su rendimiento es nulo y su costo de almacenamiento desdeñable, pero su prima de liquidez sustancial. Sin duda, los diferentes bienes pueden tener grados desiguales de prima de liquidez, y el dinero puede incurrir en cierto volumen de costos de almacenamiento, por ejemplo, por la necesidad de custodia. Pero es una diferencia esencial entre el dinero y todos los demás (o la mayoría) que en el caso del primero su prima de liquidez exceda con mucho a su costo de almacenamiento, mientras que en el de los otros bienes este último es mucho mayor que la prima de liquidez. Supongamos, como ejemplo, que el rendimiento de las casas es q1 y su costo de almacenamiento y primas de liquidez insignificantes, que para el trigo el costo de almacenamiento es c2 y el rendimiento y la prima de liquidez de poca importancia; y que para el dinero la prima de liquidez es l3 y el rendimiento y el costo de almacenamiento despreciables. Es decir, q1 es la tasa-casa de interés, –c2 la tasa-trigo de interés y l3 la tasa monetaria de interés.

Para determinar las relaciones entre los rendimientos esperados de los diferentes tipos de bienes, compatibles con el equilibrio, tenemos que saber también cuáles se cree que serán los cambios en los valores relativos durante el año. Considerando el dinero (que sólo necesita ser una moneda de cuenta para este objeto, e igual podríamos tomar el trigo) como nuestro patrón de medida, sea el porciento de apreciación (o depreciación) esperado de las casas a1 y el del trigo a2. Hemos llamado a q1, –c2 y l3 las tasas propias de interés de las casas, del trigo y del dinero, medidas en términos de sí mismas como patrón de valor; es decir, q1 es la tasa-casa de interés medido en casas, – c2 es la tasa trigo de interés medido en trigo y l3 es la monetaria de interés medida en dinero. También convendrá llamar a1 + q1, a2 – c2 y l3, que responden a las mismas cantidades reducidas a dinero como patrón de valor, la tasa-casa de interés monetario, la tasa-trigo de interés monetario y la tasa-dinero de interés monetario, respectivamente. Con esta observación es fácil ver que la demanda de los poseedores de riqueza se orientará a las casas, al trigo o al dinero, según cuál sea mayor, si a1 + q1, a2 – c2 o l3. Así, en equilibrio, el precio de demanda de las casas y del trigo en términos de dinero será tal que no haya por qué escoger, en lo que respecta a ventajas, entre las varias alternativas —es decir, a1 + q1, a2 – c2 y l3 serán iguales—. La elección de patrón de valor no influirá sobre este resultado, porque un cambio de un patrón a otro modificará todos los términos por igual, es decir, en una cantidad idéntica a la tasa de apreciación (o depreciación) que se espera en el nuevo patrón medido por el anterior.

Ahora bien, se producirán de nuevo aquellos bienes cuyo precio de oferta normal sea menor que el de demanda, y aquellos bienes serán los que tengan una eficiencia marginal mayor (sobre la base de su precio de oferta normal) que la tasa de interés (estando ambos medidos en el mismo patrón de valor cualquiera que sea). A medida que aumenta la existencia de bienes, cuya eficiencia marginal era al principio por lo menos igual a la tasa de interés, esa eficiencia marginal tiende a bajar (por las razones bastante obvias que ya se dieron). De este modo llegará un momento en que ya no sea costeable producirlos, a menos que la tasa de interés baje pari passu. Cuando no haya bien alguno cuya eficacia marginal alcance a la tasa de interés, se suspenderá la producción de bienes de capital.

Supongamos (como mera hipótesis en esta etapa del razonamiento) que hay algún bien (por ejemplo, el dinero) cuya tasa de interés es fija (o baja más despacio, al aumentar la producción, que cualquier otra tasamercancía de interés); ¿cómo se ajusta esta posición? Desde el momento que a1 + q1, a2 – c2 y l3 son necesariamente iguales, y como l3 es, por hipótesis, fijo o baja más lentamente que q1 ó – c2 se deduce que a1 y a2 deben ir en aumento. En otras palabras, el precio actual en dinero de todo bien distinto tiende a bajar proporcionalmente al precio que se espera tendrá en el futuro. De aquí que si q1 y –c2 continúan descendiendo, llegará un momento en que no será lucrativo producir ninguno de estos bienes, a menos que se opere un alza de tal magnitud en el costo de producción en alguna fecha futura sobre el actual que cubra el de almacenamiento de lo producido en el presente, desde el momento actual hasta la fecha probable en que el precio sea mayor.

Ahora resulta patente que nuestra afirmación anterior en el sentido de que la tasa monetaria de interés marca un límite a la tasa de producción, no es estrictamente correcta. Deberíamos haber dicho que la tasa de interés del bien que baja más lentamente a medida que la existencia de bienes en general aumenta, es la que eventualmente elimina la producción costeable de cada uno de los otros —excepto en la contingencia que acaba de mencionarse, de una relación especial entre los costos presentes y probables de producción—. A medida que ésta aumenta, las tasas propias de interés bajan a niveles en los cuales un bien tras otro cae por debajo del que corresponde a la producción costeable —hasta que, finalmente, una o más tasas propias de interés permanecen a nivel superior a la eficiencia marginal de cualquier bien.

Si por dinero entendemos el patrón de valor, resulta claro que no es necesariamente la tasa de interés monetaria la que ocasiona el trastorno. No podríamos librarnos de nuestras dificultades (como algunos han supuesto) decretando simplemente que el trigo o las casas serán el patrón de valor en vez del oro o la libra esterlina; porque ahora vemos que surgirán las mismas dificultades si continúa existiendo algún bien cuya tasa propia de interés se resista a bajar cuando la producción crezca.

Puede suceder, por ejemplo, que el oro continúe desempeñando este papel en un país que ha adoptado un patrón de papel inconvertible.

III

Por tanto, al atribuir un significado particular a la tasa monetaria de interés, hemos supuesto tácitamente que la clase de dinero a que estamos acostumbrados tiene algunas características especiales que hacen que su tasa propia de interés, medida en unidades de sí misma como patrón, sea más resistente a la baja que las tasas propias de interés de cualquier otro bien medido en la misma forma, cuando aumenta la cantidad global de activos. ¿Está justificada esta suposición? A mi modo de ver, la reflexión muestra que las peculiaridades siguientes, que caracterizan de ordinario al dinero tal como lo conocemos, son capaces de justificarla. En la medida en que el patrón de valor establecido tenga estas peculiaridades, será válida la proposición sumaria de que lo importante es la tasa monetaria de interés.

1) La primera característica que lleva a la conclusión anterior es el hecho de que el dinero tiene, tanto a la larga como a la corta, una elasticidad de producción de cero, o en todo caso una muy pequeña, por lo que respecta al poder de la empresa privada, como cosa distinta de la autoridad monetaria —queriendo decir por elasticidad de producción[101] a este respecto la reacción del volumen de mano de obra dedicado a producirla ante un aumento en la cantidad de trabajo que se puede comprar con una unidad de la misma—. Esto quiere decir que el dinero no se puede producir fácilmente —los empresarios no pueden aplicar a voluntad trabajo a producir dinero en cantidades crecientes a medida que su precio sube en términos de unidades de salarios—. En el caso de una moneda inconvertible dirigida, esta condición se satisface estrictamente: pero en el de una moneda de patrón oro es también aproximadamente lo mismo, en el sentido de que la máxima adición proporcional a la cantidad de trabajo que puede ser empleada en esta forma es muy pequeña, excepto, desde luego, en un país en el que la minería de oro sea la industria principal. Ahora bien, en el caso de los bienes que tengan cierta elasticidad de producción, la razón por la cual admitimos que su tasa propia de interés declina fue porque supusimos que su existencia aumentaba a consecuencia del ritmo de crecimiento de la producción. En el caso del dinero, sin embargo —aplazando, por el momento, el examen de los efectos de reducir la unidad de salarios o de una alza deliberada en su abastecimiento por la autoridad monetaria—, la oferta es fija. Así, la característica de que el dinero no puede producirse fácilmente mediante trabajo, da motivo para suponer prima facie el punto de vista de que su tasa propia de interés será relativamente refractaria a bajar; mientras que si pudiera cultivarse dinero como cosecha o manufacturarse como un motor de automóvil, las depresiones podrían evitarse o mitigarse, porque, si el precio de otros bienes tendiera a bajar en términos de dinero, podría diversificarse más trabajo hacia la producción de dinero —como vemos es lo que sucede en los países de minería de oro, aunque para el mundo en conjunto la desviación máxima en este sentido es casi insignificante.

2) Es evidente, sin embargo, que no sólo el dinero satisface la condición anterior, sino también todos los factores de renta puros, cuya producción es completamente inelástica. Por tanto, se requiere una segunda condición para distinguir al dinero de otros elementos de renta.

La segunda diferencia del dinero es que tiene una elasticidad de sustitución igual, o casi igual, a cero; lo que quiere decir que a medida que el valor en cambio del dinero sube, no hay tendencia a sustituirlo por algún otro factor —excepto, quizá, en proporción insignificante, cuando el dinero mercancía se usa también en la manufactura o en las artes—. Esto se desprende de esa peculiaridad del dinero de que su utilidad se deriva únicamente de su valor en cambio, en tal forma que los dos suben y bajan pari passu; resultando que cuando el valor en cambio del dinero aumenta, no existe motivo o tendencia, como en el caso de los factores de renta, a sustituirlo por algún otro factor.

Así resulta que no solamente es imposible dedicar más mano de obra a la producción de dinero cuando su precio en trabajo sube, sino que el dinero es un sumidero sin fondo para el poder de compra cuando su demanda aumenta, ya que no hay para él un valor tal que haga desviarse a la demanda —como en el caso de otros factores de renta—, de modo que la demanda de él derive hacia otras cosas.

La única salvedad que se ha de hacer a este respecto surge cuando el alza en el valor del dinero ocasiona incertidumbre respecto a la futura persistencia del alza; caso en el cual, a1 y a2 se elevan, lo que equivale a un aumento del interés monetario en las tasas mercancías y es, por tanto, un estimulante de la producción de otros bienes.

3) En tercer lugar, debemos considerar si estas conclusiones se alteran por el hecho de que, aun cuando la cantidad de dinero no puede aumentarse desviando trabajo para producirlo, sin embargo, el supuesto de que su oferta efectiva se fija rígidamente sería inexacto. En particular, una reducción de la unidad de salarios dejará en libertad el efectivo que se destinaba a otros usos para la satisfacción del motivo liquidez; mientras que, además de esto, a medida que los valores monetarios bajan, la existencia de dinero será una proporción mayor del total de riqueza de la comunidad.

No es posible negar, basándose en razones puramente teóricas, que esta reacción podría ser capaz de permitir una baja adecuada en la tasa monetaria de interés. Hay, sin embargo, varias razones que, tomadas en conjunto, tienen considerable fuerza, y por las cuales, en una economía del tipo a que estamos acostumbrados, es muy probable que la tasa monetaria de interés muestre a menudo resistencia a bajar adecuadamente:

a) Hemos de tener en cuenta, en primer lugar, las reacciones que produce una baja en la unidad de salario sobre las eficiencias marginales de los otros bienes en términos de dinero —porque es la diferencia entre éstas y la tasa monetaria de interés la que nos incumbe. Si la consecuencia de la baja en la unidad de salarios es producir la expectativa de que subirá nuevamente, el resultado será por completo favorable. Si, por el contrario, el efecto es producir la expectativa de una baja futura, la reacción sobre la eficiencia marginal del capital puede contrapesar la baja en la tasa de interés.3[102]

b) El hecho de que los salarios medidos en dinero sean propensos a ser rígidos, siendo el salario monetario más estable que el real, tiende a limitar la propensión de la unidad de salarios a bajar en términos de dinero. Más aún, si esto no fuera así, la posición podría ser más bien peor que mejor; porque si los salarios monetarios pudieran bajar con facilidad, esto podría tender a menudo a dar cuerpo a la esperanza de una nueva baja, lo que reaccionaría desfavorablemente sobre la eficiencia marginal del capital. Todavía más, si los salarios se fijaran en términos de algún otro bien, por ejemplo, el trigo, es improbable que continuaran siendo rígidos. Es por razón de las otras características del dinero —especialmente aquellas que lo hacen líquido— por lo que los salarios, cuando se fijan en términos del mismo, tienden a ser rígidos.[103]

c) En tercer lugar, llegamos a la consideración más importante en relación con este contexto, es decir, las características del dinero que satisfacen la preferencia por la liquidez, porque en determinadas circunstancias, tales como ocurrirán frecuentemente, éstas harán que la tasa de interés sea insensible, particularmente por debajo de cierta cifra,[104] aun ante un aumento sustancial en la cantidad de dinero proporcionalmente a otras formas de riqueza. En otras palabras, más allá de cierto nivel, el rendimiento del dinero consecuente a la liquidez no baja en respuesta a un aumento de su cantidad en nada que se aproxime a la magnitud en que baja el rendimiento de otros tipos de bienes cuando su cantidad se aumenta en forma comparable.

Los bajos (o insignificantes) costos de almacenamiento del dinero representan un papel esencial a este respecto; porque si fueran sustanciales, contrarrestarían el efecto de las previsiones sobre el valor probable del dinero en fechas futuras. La disposición del público para aumentar su existencia de dinero en respuesta a un estímulo comparativamente pequeño se debe a que las ventajas de la liquidez (reales o supuestas) no tienen contrapeso con que contender en forma de alza excesiva de los costos de almacenamiento en el transcurso del tiempo. En el caso de una mercancía distinta del dinero, una pequeña existencia de la misma puede ofrecer algunas ventajas a quienes la usan; pero aun cuando una provisión mayor podría tener cierto atractivo como representante de una reserva de riqueza de valor estable, esto estaría neutralizado por sus costos de almacenamiento, en forma de gastos de custodia, desgaste, etc. De aquí que, tan pronto como se alcanza determinado nivel, el guardar una existencia mayor supone por fuerza una pérdida.

Sin embargo, en el caso del dinero, esto no es así, como hemos visto, y ello por varias razones, es decir, aquellas que hacen “líquido” por excelencia al dinero, según la estimación del público. De este modo, aquellos reformadores que buscan un remedio en la creación de costos artificiales de almacenamiento para el dinero, mediante el expediente de hacer que la circulación legal haya de sellarse periódicamente a determinado costo para que retenga su cualidad de dinero, o mediante otros procedimientos, han ido por el buen camino; y el valor práctico de sus proposiciones merece ser tomado en consideración.

La importancia de la tasa de interés monetaria surge, por tanto, de la combinación de las características de que, a través de la actuación del motivo liquidez, la tasa puede ser, en cierto modo, insensible a un cambio en la proporción que la cantidad de dinero guarda con otras formas de riqueza medidas en dinero, y a que éste tiene (o puede tener) elasticidades nulas (o insignificantes) de producción y de sustitución. La primera condición significa que la demanda puede dirigirse predominantemente al dinero; la segunda, que cuando esto ocurre, no puede emplearse trabajo en producir más dinero; y la tercera, que no hay atenuación en ninguna parte debido a la posibilidad de que cualquier otro factor sea capaz, si es lo bastante barato, de desempeñar el papel del dinero tan bien como él. El único alivio —fuera de los cambios en la eficiencia marginal del capital— puede venir (en tanto la propensión a la liquidez permanezca invariable) de un aumento en la cantidad de dinero, o —lo que viene a ser formalmente lo mismo— un alza en el valor del dinero que permita a una cantidad determinada dar mayores servicios monetarios.

De este modo, un alza en la tasa monetaria de interés retarda la obtención de todos los objetos cuya producción es elástica sin poder estimular la producción de dinero (que es, por hipótesis, perfectamente inelástica). La tasa monetaria de interés, al dar la pauta a todas las demás tasas-mercancía de interés refrena la inversión para producirlas, sin que sea capaz de estimular lo necesario para producir dinero, que, por hipótesis, no puede ser producido. Mas todavía, debido a la elasticidad de la demanda de efectivo líquido, medida en deudas, un pequeño cambio en las condiciones que rigen esta demanda puede no alterar mucho la tasa monetaria de interés, mientras que (fuera de la acción oficial) es también impracticable para las fuerzas naturales abatir la tasa monetaria de interés influyendo sobre la oferta, debido a la inelasticidad de producción del dinero. En el caso de una mercancía ordinaria, la elasticidad de la demanda de existencias líquidas de la misma permitiría que pequeños cambios de la demanda impulsaran la tasa de interés hacia arriba o hacia abajo atropelladamente, mientras que la elasticidad de su oferta también influiría para evitar una gran prima de las entregas presentes sobre las futuras. Así, dejando a otros bienes en libertad, las “fuerzas naturales”, es decir, las fuerzas ordinarias del mercado, se orientarían en el sentido de abatir su tasa de interés hasta que la emergencia de la ocupación plena hubiera llevado a las mercancías en general la inelasticidad de la oferta que hemos postulado como una característica normal del dinero. De este modo, a falta de dinero y —debemos suponerlo también, naturalmente— de cualquier otra mercancía con las características dadas para el mismo, las tasas de interés solamente alcanzarían equilibrio en condiciones de ocupación total.

Es decir, la desocupación prospera porque la gente quiere coger la luna con la mano —los hombres no pueden lograr ocupación cuando el objeto de su deseo (es decir, el dinero) es algo que no puede producirse y cuya demanda no puede sofocarse con facilidad—. No queda más remedio que persuadir al público que el queso verde es prácticamente la misma cosa y poner la fábrica de ese queso (es decir, un banco central) bajo la dirección del poder público.

Es interesante hacer notar que la propiedad tradicionalmente considerada como la que hace al oro especialmente adecuado para usarse como patrón de valor, es decir, la inelasticidad de su oferta, resulta precisamente la característica que está en el fondo de la dificultad.

Nuestra conclusión puede enunciarse en la forma más general (dada la propensión a consumir) como sigue: no es posible un aumento más en la tasa de inversión cuando la mayor entre las tasas propias de interés propio de todos los bienes disponibles, es igual a la mayor de entre todas las eficiencias marginales de todos los bienes, medidas en términos del bien cuya tasa propia de interés propio es mayor.

En condiciones de ocupación plena este requisito se satisface necesariamente; pero puede lograrse también antes de alcanzar ese estado, si existe algún bien que tenga elasticidades de producción y de sustitución nulas (o relativamente pequeñas)[105] cuya tasa de interés baje más lentamente que las eficiencias marginales de bienes de capital medidas en unidades del mismo, a medida que la producción crezca.

IV

Hemos visto antes que el hecho de que un bien pueda ser patrón de valor no basta para que su tasa de interés sea la importante. Sin embargo, interesa considerar hasta qué punto las características del dinero tal como lo conocemos, y que hacen de la tasa monetaria de interés la importante, están ligadas con el hecho de que el dinero sea el patrón por el cual se fijan generalmente las deudas y los salarios.

El asunto requiere examen en dos aspectos.

En primer lugar, el hecho de que los contratos sean establecidos, y los salarios generalmente estables, en términos de dinero, representa sin duda un papel muy importante en el hecho de que el dinero tenga una prima de liquidez tan elevada. Es evidente la conveniencia de conservar bienes en el mismo patrón en que vencerán las obligaciones venideras y respecto al cual se espera que el costo futuro de la vida sea relativamente estable. Al mismo tiempo la esperanza de relativa estabilidad en el futuro costo monetario de la producción no podría mantenerse con mucha confianza si el patrón de valor fuese un bien con gran elasticidad de producción. Más todavía, los bajos costos de almacenamiento del dinero, según los conocemos, representan papel tan importante como el de una gran prima de liquidez en hacer que la tasa monetaria de interés sea la importante; porque lo que interesa es la diferencia entre la prima de liquidez y los costos de almacenamiento; y en el caso de la mayor parte de los bienes que no sean oro, plata o billetes de banco, dichos costos son por lo menos tan altos como la prima de liquidez que ordinariamente acompaña al patrón en que se fijan los contratos y los salarios; de tal manera que, aun cuando la prima de liquidez que ahora tiene (por ejemplo) la libra esterlina se transfiriera (por ejemplo) al trigo, todavía sería improbable que la tasa-trigo de interés subiera sobre cero. Por tanto, queda en pie que, mientras el hecho de que los contratos y los salarios estén fijados en términos monetarios aumenta la importancia de la tasa monetaria de interés, esta circunstancia, sin embargo, probablemente no basta por sí misma para producir las características observadas en dicha tasa.

El segundo punto a considerar es más sutil. La expectativa normal de que el valor de la producción será más estable en términos de dinero que en términos de cualquier otro bien, no depende, por supuesto, de que los salarios se concierten en unidades monetarias, sino de que sean relativamente rígidos en términos de dinero. ¿Cuál sería entonces la situación si se presumiera que los salarios iban a ser más rígidos (es decir, más estables) cuando se expresaran en unidades de una o más mercancías diferentes del dinero, que en términos de este mismo? Tal expectativa requiere, no sólo que se espere que los costos del bien en cuestión sean relativamente constantes en unidades de salarios para una escala de producción mayor o menor, tanto en periodos cortos como en largos, sino también que cualquier excedente sobre la demanda corriente, al precio de costo, pueda incluirse en la existencia sin costo, es decir, que la prima de liquidez exceda sus costos de almacenamiento (porque, de lo contrario, desde el momento que no hay esperanza de ganancia mediante un precio más alto, la conservación de una existencia tiene que suponer necesariamente una pérdida). Si se hallara un bien que satisficiera estas condiciones, entonces es evidente que podría ponerse como rival del dinero. Así, pues, no es lógicamente imposible la existencia de un bien con el cual la medida del valor de la producción se supusiera más estable que con el dinero; pero tal bien no parece probable que exista.

Por tanto, llego a la conclusión de que el bien en cuyas unidades se espera que los salarios sean más rígidos, no puede ser uno que no tenga la elasticidad de producción mínima y para el cual el excedente de los costos de almacenamiento sobre la prima de liquidez no sea también mínimo. En otras palabras, la expectativa de rigidez relativa de los salarios en unidades monetarias es corolario del hecho de que el excedente de la prima de liquidez sobre los costos de almacenamiento es mayor para el dinero que para cualquier otro bien.

Así vemos que las varias características que se combinan para dar importancia a la tasa monetaria de interés reaccionan mutuamente en forma acumulativa. El hecho de que el dinero tenga bajas elasticidades de producción y de sustitución y pequeños costos de almacenamiento tiende a que se fortalezca la creencia de que los salarios monetarios serán relativamente estables; y esta creencia aumenta la prima de liquidez del dinero y evita la correlación excepcional entre la tasa monetaria de interés y las eficiencias marginales de otros bienes, la que podría, si existiera, privar a dicha tasa de su predominio.

El profesor Pigou (con otros) ha supuesto habitualmente la existencia de una presunción en favor de que los salarios reales son más estables que los monetarios; pero esto podría ocurrir solamente en virtud de otra presunción en favor de la estabilidad del empleo. Más aún, queda todavía la dificultad de que los artículos para asalariados tienen alto costo de almacenamiento. En verdad, si se hiciera un intento para estabilizar los salarios reales fijando los salarios en términos de artículos para asalariados, el efecto solamente podría ser ocasionar una violenta oscilación de los precios monetarios; porque cada pequeña fluctuación en la propensión a consumir y el incentivo a invertir haría que los precios monetarios oscilaran violentamente entre cero y el infinito. Para que el sistema posea estabilidad inherente, es condición que los salarios monetarios sean más estables que los reales.

En esta forma, el atribuir estabilidad relativa a los salarios reales no es simplemente un error de hecho y de experiencia, sino también una equivocación de lógica, si suponemos que el sistema en cuestión es estable, en el sentido de que pequeños cambios en la propensión a consumir y en el incentivo a invertir no producen efectos violentos sobre los precios.

V

Como nota aclaratoria a lo anterior, quizá valga la pena insistir en lo que ya se dijo antes, o sea que la “liquidez” y los “costos de almacenamiento” son ambos cuestión de grado; y que la peculiaridad del “dinero” consiste sólo en que posee mucha de la primera proporcionalmente a los segundos.

Considérese, por ejemplo, una economía en la que no haya un bien cuya prima de liquidez esté siempre por encima de sus costos de almacenamiento; lo que es la mejor definición que puedo dar de la llamada “economía no monetaria”. Es decir, no hay nada más que cosas consumibles y equipos de producción concretos más o menos diferenciados, de acuerdo con el carácter de los bienes consumibles que pueden proporcionar o contribuir a proporcionar en un periodo corto o largo; todos los cuales, a diferencia del efectivo, si se conservan en existencia, se deterioran o suponen gastos que un valor mayor que su prima de liquidez.

En una economía semejante, los equipos productores diferirían entre sí: a) en cuanto a la variedad de los artículos de consumo en cuya producción pueden intervenir; b) en la estabilidad del valor de su producción (en el sentido en que el valor del pan es más estable a través del tiempo que el de las novedades que pasan pronto de moda); y c) en la rapidez con que la riqueza incorporada en ellos puede volverse “líquida”, en el sentido de dar producción, el producto de cuya venta puede reincorporarse si se quiere en forma por completo diferente.

Los propietarios de riqueza compararán entonces la falta de “liquidez” de los diferentes equipos productores, en el sentido anterior, como medio de conservar riqueza, con la mejor estimación actuarial de que se disponga respecto a sus rendimientos probables, después de tener en cuenta el riesgo. Como se observará, la primera de liquidez es en parte similar a la prima de riesgo, pero en parte distinta —correspondiente la diferencia a la que hay entre los mejores cálculos que podemos efectuar de las probabilidades, y la confianza con que las realicemos—.[106] Cuando nos ocupábamos en capítulos previos del cálculo del rendimiento probable, no entramos en detalles sobre cómo se realizaba; y para evitar complicaciones en el argumento, no distinguimos las diferencias de liquidez de las diferencias de riesgo propiamente dicho. Es evidente, sin embargo, que al calcular la tasa propia de interés debemos tenerlas en cuenta.

Es claro que no existe un patrón de “liquidez” absoluto, sino simplemente una escala de liquidez —una prima variable que se ha de tomar en cuenta, además del rendimiento de los costos de uso y almacenamiento, al calcular el atractivo de conservar diversas formas de riqueza—. El concepto de lo que contribuye a la “liquidez” es vago en parte, modificándose de tiempo en tiempo y dependiendo de las prácticas sociales y de las instituciones. El orden de preferencia de los propietarios de riqueza en el cual expresan lo que piensan sobre la liquidez en cualquier tiempo es, no obstante, definido, y es todo lo que necesitamos para nuestro análisis del comportamiento del sistema económico.

Puede suceder que en ciertos ambientes históricos los propietarios de tierra hayan pensado que la posesión de ésta se caracterizaba por una gran prima de liquidez; y desde el momento que la tierra se asemeja al dinero en que sus elasticidades de producción y de sustitución pueden ser muy bajas,[107] es concebible que haya habido ocasiones en la historia en que el deseo de conservar la tierra haya desempeñado el mismo papel que el dinero en tiempos recientes, en el sentido de sostener la tasa de interés a un nivel demasiado alto. Es difícil valorar esta influencia cuantitativamente, debido a la falta de un precio futuro para la tierra, medido en unidades de sí misma, que sea estrictamente comparable con la tasa de interés de una deuda monetaria. Tenemos, no obstante, algo que, en ciertas ocasiones, ha sido sumamente análogo, en forma de tasas altas sobre hipotecas.[108] Estas tasas de interés elevadas, consecuencia de hipotecas de la tierra, que frecuentemente exceden el rendimiento probable de cultivarla, han sido un rasgo habitual en muchas economías agrícolas. Las leyes sobre usura se han dirigido principalmente contra gravámenes de este género, y con razón; porque en las organizaciones sociales primitivas, en las que no existían los valores a largo plazo en el sentido moderno, la competencia de las altas tasas de interés sobre hipotecas puede muy bien haber tenido el mismo efecto de retardar el crecimiento de riqueza procedente de las inversiones corrientes en bienes de capital recientemente producidos que las relativas a las deudas a largo plazo han tenido en tiempos más recientes.

El hecho de que el mundo sea tan pobre como es en bienes de capital acumulados después de varios milenios de ahorro individual sostenido se explica, en mi opinión, no por la tendencia a la imprevisión de la humanidad, ni siquiera por la destrucción de la guerra, sino por las altas primas de liquidez que antiguamente tenía la propiedad de la tierra y que ahora tiene el dinero. Difiero en esto del viejo punto de vista, en la forma que la expresa Marshall con fuerza dogmática desusada en sus Principles of Economics, p. 581:

Todo el mundo sabe que la acumulación de riqueza se refrena, y la tasa de interés se sostiene, debido a la preferencia que la mayor parte de la humanidad tiene por las satisfacciones presentes sobre las diferidas, o, en otras palabras, por su renuncia a “esperar”.

VI

En mi Treatise on Money definí lo que quería decir una tasa única de interés, que llamé la tasa natural de interés —es decir, aquella que, en la terminología de mi Treatise, mantenía la igualdad entre la tasa de ahorro (como allí se definía) y la de inversión. Yo creía que esto era un desarrollo y aclaración de la “tasa natural de interés” de Wicksell, que, según él, era la que conservaría la estabilidad de cierto nivel de precios, no muy bien definido.

Había yo, sin embargo, pasado por alto el hecho de que en cualquier sociedad dada hay, según esta definición, una tasa natural de interés diferente para cada nivel hipotético de ocupación.

Igualmente para cada tasa de interés hay un nivel de ocupación para el cual aquella tasa es la tasa “natural”, en el sentido de que el sistema estará en equilibrio con tal tasa de interés y tal nivel de ocupación. Así, pues, fue una equivocación hablar de la tasa natural de interés o sugerir que la anterior definición daría un valor único para la tasa de interés independientemente del volumen de ocupación. No había yo entendido entonces que, en ciertas condiciones, el sistema podría estar en equilibrio con empleo inferior al máximo.

Ahora ya no opino que el concepto de la tasa “natural” de interés, que antes me pareció una idea de las más prometedoras, encierre una aportación de mucha utilidad o importancia para nuestro análisis. Es simplemente la tasa que mantendrá el statu quo; y, en general, no tenemos interés predominante en el statu quo como tal.

Si existe semejante tasa de interés única e importante, tiene que ser la que podríamos llamar neutral,[109] es decir, la tasa natural en el sentido anterior, que es compatible con la ocupación plena, dados los otros parámetros del sistema; aunque ésta podría ser mejor descrita, quizá, como la tasa óptima. La tasa neutral de interés puede definirse más estrictamente como la que prevalece en equilibrio cuando la producción y la ocupación son tales que la elasticidad de la ocupación como un todo es cero.[110]

Lo anterior nos da, una vez más, la respuesta a la pregunta de qué supuesto tácito se necesita para que tenga sentido la teoría clásica de la tasa de interés. Esta teoría supone que la tasa real es siempre igual a la neutral, en el sentido en que acabamos de definirla o recíprocamente, que la tasa real es siempre igual a la que mantendrá la ocupación a cierto nivel especificado y constante. Si la teoría tradicional se interpreta así, en sus conclusiones prácticas hay poco o nada con que no estemos de acuerdo. La teoría clásica supone que la autoridad bancaria o las fuerzas naturales hacen que la tasa de interés de mercado llene una u otra de las condiciones anteriores, e investiga qué leyes regirán la aplicación y las remuneraciones de los recursos productivos de la comunidad en este supuesto. Con esta limitación el volumen de producción depende únicamente del nivel constante de ocupación que se supone, junto con el equipo y la técnica actuales; con lo que entramos en la paz de un mundo ricardiano.

 


 * 

CAPÍTULO 18

NUEVO PLANTEAMIENTO DE LA TEORÍA GENERAL DE LA OCUPACIÓN

I

HEMOS LLEGADO YA AL MOMENTO en que podemos juntar todos los cabos sueltos de nuestro discurso. Para comenzar, podría ser útil poner en claro qué elementos del sistema económico solemos considerar dados, cuáles las variables independientes de nuestro sistema y cuáles las variables dependientes.

Consideramos dados la habilidad existente y la cantidad de mano de obra disponible, la calidad y cantidad del equipo de que puede echarse mano, el estado de la técnica, el grado de competencia, los gustos y hábitos de los consumidores, la desutilidad de las diferentes intensidades del trabajo y de las actividades de supervisión y organización, así como la estructura social, incluyendo las fuerzas que determinan la distribución del ingreso nacional, no comprendidas en nuestras variables que citamos más adelante. Esto no quiere decir que supongamos constantes tales factores; sino simplemente que, a este propósito y en este momento, no consideramos o tomamos en cuenta los efectos y las consecuencias de los cambios que en ellos ocurran.

Nuestras variables independientes son, en primer lugar, la propensión a consumir, la curva de la eficiencia marginal del capital y la tasa de interés; aunque, como ya hemos visto, éstas pueden someterse a un análisis más amplio.

Nuestras variables dependientes son el volumen de empleo y el ingreso (o dividendo) nacional medidos en unidades de salarios.

Los factores que hemos considerado dados influyen sobre nuestras variables independientes, pero no las determinan por completo. Por ejemplo, la curva de la eficiencia marginal del capital depende en parte de la cantidad de equipo existente, que es uno de los factores dados; pero también en parte del estado de las expectativas a largo plazo, que no puede inferirse de los mismos. Sin embargo, hay algunos otros elementos que los factores ya dados determinan de una manera tan cabal que podemos tratar sus derivadas como si también se conocieran de antemano. Por ejemplo, los factores dados nos permiten inferir qué nivel de ingreso nacional, medido en unidades de salario, corresponderá a cualquier magnitud dada de ocupación, de manera que, dentro del armazón económico que damos por sabido, el ingreso nacional depende del volumen de ocupación, es decir, de la cantidad de esfuerzo real dedicado a la producción, en el sentido de que hay una correlación única entre los dos.[111] Más aún, nos permiten inferir la forma de las funciones totales de la oferta, que comprenden las condiciones físicas de ésta, para diferentes clases de productos —es decir, la cantidad de empleo que se dedicará a la producción correspondiente a un nivel dado cualquiera de la demanda efectiva, medida en unidades de salarios—. Finalmente, nos dan la función de oferta de mano de obra (o esfuerzo); de manera que nos dicen en qué punto dejará de ser elástica la función del empleo[112] para el trabajo como un todo.

La curva de la eficiencia marginal del capital depende, sin embargo, en parte de los factores dados y en parte del rendimiento probable de los bienes de capital de diferentes clases; mientras que la tasa de interés está regida parcialmente por el estado de preferencia por la liquidez (es decir, por la función de liquidez) y en parte por la cantidad de dinero, medida en unidades de salarios. De este modo podemos algunas veces considerar que nuestras variables independientes finales consisten en 1) los tres factores psicológicos fundamentales, es decir, la propensión psicológica a consumir, la actitud psicológica respecto a la liquidez y la expectativa psicológica de rendimiento futuro de los bienes de capital, 2) la unidad de salarios, tal como se determina por los convenios celebrados entre patronos y obreros, y 3) la cantidad de dinero, según se fija por la acción del banco central; de manera que, si tomamos como dados los elementos arriba especificados, estas variables determinan el ingreso (o dividendo) nacional y el volumen de ocupación. Pero éstas, a su vez, podrían sujetarse a un análisis ulterior, y no son, por decirlo así, nuestros últimos elementos atómicos independientes.

La división de las determinantes del sistema económico en los dos grupos de factores dados y las variables independientes es, por supuesto, completamente arbitraria desde un punto de vista absoluto. La división debe basarse por completo en la experiencia, de manera que corresponda, por una parte, a los factores en que las modificaciones parecen ser tan lentas o tan poco importantes que sólo tengan influencia pequeña y comparativamente desdeñable a la corta en nuestro quaesitum; y por otra, a esos factores cuyas modificaciones ejercen en la práctica una influencia dominante en nuestro quaesitum. El objeto que por ahora nos proponemos es descubrir lo que determina en un momento preciso el ingreso nacional de un sistema económico dado y (lo que es casi lo mismo) el volumen de ocupación que le corresponde; lo que quiere decir, en un estudio tan complejo como la economía, en el que no podemos esperar hacer generalizaciones completamente exactas, los factores cuyos cambios determinan principalmente nuestro quaesitum. Nuestra labor final podría consistir en seleccionar aquellas variables que la autoridad central puede controlar o dirigir deliberadamente en el sistema particular en que realmente vivimos.

II

Intentemos ahora hacer un resumen de los razonamientos de los capítulos precedentes, ordenando los factores en forma inversa a la que usamos para presentarlos.

Habrá un incentivo para impulsar la tasa de nuevas inversiones hasta el punto que fuerce al precio de oferta de cada clase de bien de capital a una cifra que, unida a su rendimiento probable, iguale aproximadamente la eficiencia marginal del capital en general con la tasa de interés. Es decir, que las condiciones físicas de oferta en las industrias de bienes de capital, el estado de confianza respecto al rendimiento probable, la actitud psicológica hacia la liquidez y la cantidad de dinero (de preferencia calculada en unidades de salarios) determinan, en conjunto, la tasa de nueva inversión.

Pero un aumento (o disminución) en la tasa de inversión tendrá que ir acompañado de un aumento (o disminución) en la tasa de consumo; porque la conducta del público es, en general, de tal carácter que sólo desea ampliar (o estrechar) la brecha que separa su ingreso y su consumo si el primero va en aumento (o en disminución). Esto quiere decir que los cambios en la tasa de consumo, son, por lo general, en la misma dirección (aunque más pequeños en magnitud) que los cambios en la tasa de ingresos. La proporción del aumento de consumo, que necesariamente acompaña a un alza dada en los ahorros, está determinada por la propensión marginal a consumir. La proporción, así determinada, entre un incremento en la inversión y el correspondiente en el ingreso global, ambos medidos en unidades de salarios, está dada por el multiplicador de inversión.

Finalmente, si suponemos (como una primera aproximación) que el multiplicador de ocupación es igual al de inversión, podemos, aplicando el multiplicador al aumento (o al descenso) en la tasa de inversión ocasionado por los elementos descritos antes, inferir el crecimiento de la ocupación.

Un aumento (o disminución) de la ocupación puede, sin embargo, hacer subir (o bajar) la curva de preferencia por la liquidez y tenderá a aumentar la demanda de dinero de tres maneras, pues el valor de la producción sube cuando la ocupación crece aun en el caso de que la unidad de salarios y los precios (en unidades de salarios) permanezcan invariables; pero, además, la unidad de salarios misma tenderá a subir a medida que la ocupación mejore, y el incremento en la producción irá acompañado por un alza de precios (en términos de la unidad de salarios) debida al aumento del costo en periodos cortos.

Así, la posición de equilibrio estará influida por estas repercusiones, que no son las únicas. Más aún, no hay uno solo de los elementos anteriores que no tenga probabilidades de cambiar, sin previo aviso, y algunas veces sustancialmente. De aquí la extrema complejidad del curso real de los acontecimientos. No obstante, éstos parecen ser los elementos que conviene y es útil aislar. Si examinamos cualquier problema real de acuerdo con el modelo esquemático anterior, lo encontraremos más manejable; y nuestra intuición práctica (que puede tomar en cuenta un complejo de hechos más detallado del que es posible tratar según los principios generales) se enfrentará con material de trabajo más manejable.

III

Lo anterior es un resumen de la teoría general; pero los fenómenos reales del sistema económico están también matizados por algunas características especiales de la propensión a consumir, la curva de la eficiencia marginal de capital y la tasa de interés, sobre las cuales podemos generalizar con seguridad, apoyados en la experiencia, pero que no son lógicamente necesarias.

En particular, es una característica prominente del sistema económico en que vivimos que, aun cuando está sujeto a severas fluctuaciones en la producción y la ocupación, su inestabilidad no es violenta. En verdad parece poder permanecer en condiciones crónicas de actividad subnormal durante un periodo considerable, sin tendencia marcada a la recuperación o al derrumbe total. Más aún, las pruebas indican que la ocupación plena o casi plena ocurre rara vez y tiene poca duración. Las fluctuaciones pueden comenzar de repente, pero parecen agotarse antes de llegar a grandes extremos, y nuestro sino es la situación intermedia, que no es ni desesperada ni satisfactoria. La teoría de los ciclos económicos con fases regulares se ha fundado en el hecho de que las fluctuaciones tienden a agotarse por sí solas antes de llevar a resultados extremos y en que eventualmente se invierten. Lo mismo pasa con los precios, que, en respuesta a una causa inicial de perturbación, parecen poder encontrar un nivel en el cual permanecer moderadamente estables por el momento.

Ahora bien, como estos hechos de la experiencia no se deducen por necesidad lógica, debemos suponer que el medio y las propensiones psicológicas del mundo moderno deben ser de tal carácter que produzcan esos resultados. Es útil, por tanto, considerar qué propensiones psicológicas hipotéticas conducirían a un sistema estable; y luego, si pueden atribuirse sensatamente según nuestros conocimientos generales de la naturaleza humana contemporánea, al mundo en que vivimos.

Las condiciones de estabilidad que el anterior análisis nos sugiere como capaces de explicar los resultados obtenidos son las siguientes:

1) La propensión marginal a consumir es tal que cuando la producción de una comunidad dada aumenta (o disminuye) debido a que se esté aplicando más (o menos) mano de obra a su equipo de capital, el multiplicador que relaciona ambos es mayor que la unidad, pero no muy grande.

2) Cuando hay una modificación en el rendimiento probable del capital o en la tasa de interés, la curva de la eficiencia marginal del capital será tal que el cambio en las nuevas inversiones no será muy desproporcionado al cambio en el primero; es decir, las alteraciones moderadas en el rendimiento probable del capital o en la tasa de interés no provocarán cambios muy grandes en la tasa de inversión.

3) Cuando se produce un cambio en la ocupación, los salarios nominales tienden a cambiar en la misma dirección, pero no en forma muy desproporcionada al cambio de la ocupación; es decir, los cambios moderados en la ocupación no van seguidos de grandes alteraciones en los salarios nominales. Ésta es una condición de la estabilidad de los precios más que de la ocupación.

4) Podemos añadir una cuarta condición que se relaciona no tanto con la estabilidad del sistema como con la tendencia de una fluctuación que se mueve en un sentido, a revertirse a su debido tiempo; es decir, que una tasa de inversión, más alta (o más baja) que la que prevalecía antes, empieza a reaccionar desfavorablemente (o favorablemente) sobre la eficiencia marginal del capital si se prolonga por un periodo que, medido en años, no sea muy largo.

i) Nuestra primera condición de estabilidad o sea la de que el multiplicador, aunque mayor que la unidad no lo es mucho, es muy verosímil si se toma como una característica psicológica de la naturaleza humana. A medida que el ingreso real sube, la presión de las necesidades presentes disminuye y aumenta el margen sobre el nivel de vida establecido; y cuando el ingreso real baja, ocurre lo contrario. Así, resulta natural — al menos para el término medio de la comunidad— que el consumo corriente tenga que ampliarse cuando el empleo crece, pero en menor proporción que el aumento del ingreso real; y que tenga que reducirse cuando el empleo disminuye, aunque no tanto como la baja absoluta del ingreso real. Más, aún, lo que es cierto para la generalidad de los individuos, es probable que también lo sea respecto a los gobiernos, especialmente en una época en la que un aumento progresivo de la desocupación forzará habitualmente al estado a dar ayuda con fondos prestados.

Pero ya sea que esta ley psicológica le parezca lógica o no a priori, al lector, es verdad que la experiencia sería en extremo diferente de lo que es si la ley no fuese válida; porque en ese caso un aumento de la inversión, por muy pequeño que pudiera ser, iniciaría un crecimiento de la demanda efectiva hasta que alcanzara la posición de ocupación plena; en tanto que una disminución de aquélla animaría un descenso acumulativo de la demanda efectiva hasta que nadie tuviera empleo. No obstante, la experiencia muestra que, generalmente, nos encontramos en posición intermedia. No es imposible que pueda haber un ámbito dentro del cual prevalezca de hecho la inestabilidad; pero, si es así, probablemente será de estrechos límites, fuera de los cuales, y en cualquier dirección, nuestra ley psicológica debe ser válida sin la menor duda. Todavía más, también es evidente que el multiplicador, aunque excede de la unidad, no es, en circunstancias normales, enormemente grande; porque si lo fuera, un cambio dado en la tasa de inversión implicaría una gran modificación (limitada solamente por la ocupación plena o nula) en la tasa de consumo.

ii) En tanto que nuestra primera condición nos dice que un cambio moderado en la tasa de inversión no traerá un cambio definidamente grande en la demanda de artículos de consumo, nuestra segunda condición establece que un cambio moderado en el rendimiento probable de los bienes de capital o en la tasa de interés no acarreará una variación indefinidamente grande en la tasa de inversión. Éste es el caso probable, debido al costo creciente de una producción más voluminosa con el equipo que se tiene. Ciertamente, si partimos de una posición en que existan grandes excedentes de recursos para la producción de bienes de capital, puede haber inestabilidad considerable dentro de ciertos límites; pero esto dejará de ser verdad tan pronto como los sobrantes se usen en gran escala. Más aún, esta condición pone un límite a la inestabilidad resultante de los cambios rápidos en el rendimiento probable de los bienes de capital que resultan de fluctuaciones agudas en la psicología de los negocios o de inventos de importancia trascendental —aunque más, quizá, en dirección ascendente que descendente.

iii) Nuestra tercera condición está de acuerdo con la experiencia que tenemos de la naturaleza humana; porque aunque la lucha por los salarios nominales es, como lo hemos indicado, esencialmente una pugna para mantener un alto salario relativo , es probable que, a medida que crezca el empleo, se intensifique en cada caso individual, tanto porque mejore la posición del trabajador para contratar, como porque la reducida utilidad marginal de su salario y la mejoría de su margen financiero lo predispongan más a correr riesgos. Sin embargo, de todos modos, estos motivos operarán dentro de ciertos límites, y los trabajadores no buscarán un salario nominal mucho mayor cuando la ocupación mejore, ni preferirán una gran reducción de la misma a la desocupación.

Pero, de nuevo, sea o no lógica a priori esta conclusión, la experiencia muestra que ha de haber una ley psicológica de este tipo que sea válida en la realidad; porque si la competencia entre los trabajadores sin empleo condujera siempre a una gran reducción en el salario nominal, existiría una violenta inestabilidad en el nivel de precios. Además, no podría haber posición de equilibrio estable, excepto en condiciones compatibles con la ocupación plena, desde el momento que la unidad de salarios podría tener que bajar sin límite hasta que alcanzara una altura donde el efecto de la abundancia de dinero en unidades de salarios sobre la tasa de interés fuera suficiente para restaurar un nivel de plena ocupación. En ningún otro nivel podría existir estabilidad.[113]

iv) Nuestra cuarta condición, que no es tanto de estabilidad como de recesión y recuperación alternados, está basada meramente en el supuesto de que los bienes de capital son de variadas duraciones, se desgastan con el tiempo y no todos son muy longevos; de manera que si la tasa de inversión baja más allá de cierto nivel mínimo, es cuestión de tiempo simplemente (a falta de grandes fluctuaciones en otros factores) para que la eficiencia marginal del capital suba lo bastante para provocar una recuperación de las inversiones sobre este mínimo. Y, de modo similar, por supuesto, si las inversiones suben a una cifra mayor que antes, sólo es cuestión de tiempo que la eficiencia marginal del capital baje lo suficiente para provocar una recesión a menos que ocurran cambios compensadores en otros factores.

Por este motivo es probable que aun aquellos grados de recuperación y recesión que pueden ocurrir dentro de las limitaciones establecidas por nuestras otras condiciones de estabilidad, ocasionen un movimiento de retroceso en dirección opuesta hasta que las mismas fuerzas de antes vuelvan a invertir la dirección, si dichos fenómenos persisten el tiempo suficiente y no los estorban las alteraciones de otros factores.

De este modo, nuestras cuatro condiciones juntas bastan para explicar los aspectos salientes de la experiencia real —es decir, que oscilamos, evitando los extremos más graves de las fluctuaciones en la ocupación y en los precios en ambas direcciones, alrededor de una posición intermedia, apreciablemente por debajo de la ocupación plena y por encima del mínimo, ya que un descenso por debajo de él pondría en peligro la vida.

Pero no debemos concluir que son las leyes de la necesidad las que fijan la posición intermedia así determinada por las tendencias “naturales”, es decir, por aquellas que probablemente persistan, a falta de medidas expresamente destinadas a corregirlas. La observación de la realidad, tal como ha sido y es, demuestra que rigen estas condiciones, pero que no son un principio indispensable que no pueda ser modificado.

 


 * 

LIBRO V

SALARIOS NOMINALES Y PRECIOS

CAPÍTULO 19

MODIFICACIONES EN LOS SALARIOS NOMINALES

I

HABRÍA SIDO UNA VENTAJA HABER PODIDO EXAMINAR los efectos de un cambio en los salarios nominales en algún capítulo anterior, porque la teoría clásica ha acostumbrado apoyar el supuesto carácter de ajuste automático del sistema económico sobre una hipotética fluidez de los salarios nominales; y cuando hay rigidez atribuir a ésta la culpa por el desajuste.

No era posible, sin embargo, estudiar este asunto en toda su amplitud hasta haber expuesto nuestra teoría, porque las consecuencias de una modificación en los salarios nominales son complicadas. En determinadas circunstancias una reducción de los mismos puede muy bien estimular la producción, tal como lo supone la teoría clásica. Difiero de esta teoría principalmente en materia de análisis; de manera que no podía exponerse claramente hasta que el lector estuviera familiarizado con mi método.

La explicación generalmente aceptada es, a mi entender, muy sencilla; no depende de las repercusiones indirectas, tales como las que estudiaremos en seguida. El argumento consiste sencillamente en que una reducción en los salarios nominales estimulará, ceteris paribus, la demanda al hacer bajar el precio de los productos acabados, y aumentará, por tanto, la producción y la ocupación hasta el punto en que la baja que los obreros han convenido aceptar en sus salarios nominales quede compensada precisamente por el descenso de la eficiencia marginal del trabajo a medida que se aumente la producción (procedente de un equipo dado).

En su forma más cruda, esto equivale a suponer que la reducción en los salarios nominales no afectará la demanda. Puede haber algunos economistas que sostengan que no hay razón para que la demanda sea afectada, arguyendo que la demanda global depende de la cantidad de dinero multiplicada por la velocidad-ingreso del mismo y que no hay razón obvia por la cual una contracción de los salarios nominales haya de reducir la cantidad de dinero o su velocidad-ingreso. O pueden sostener inclusive que las ganancias subirán necesariamente debido a que los salarios han bajado. Pero creo más normal convenir en que la reducción de los salarios nominales puede tener algún efecto sobre la demanda agregada a través de la baja que produce en el poder de compra de algunos trabajadores; aunque la demanda real de otros factores, cuyos ingresos monetarios no se hayan reducido, se verá estimulada por la baja de precios, y la demanda agregada de los trabajadores mismos aumentará, con mucha probabilidad, como resultado del mayor volumen de ocupación, a menos que la elasticidad de la demanda de trabajo, en respuesta a las modificaciones en los salarios nominales, sea menor que la unidad. De este modo, en el nuevo equilibrio habrá más ocupación de la que existiría en otras condiciones, excepto, quizá, en algunos casos extremos que no tienen realidad en la práctica.

Difiero fundamentalmente de este tipo de análisis; o mejor dicho, del que parece existir en el fondo de observaciones como las anteriores; porque, mientras lo dicho representa bastante bien, según creo, la forma en que muchos economistas hablan y escriben, el razonamiento subyacente rara vez se ha desarrollado en detalle.

Parece probable, sin embargo, que se llegue a esta forma de pensar como sigue: en cualquier industria dada tenemos una curva de demanda de su producto que relaciona las cantidades disponibles para la venta con los precios solicitados, así como una serie de curvas de oferta que ligan unos con otros los precios que se pedirán por la venta de diferentes cantidades, de acuerdo con las distintas bases de costo; y estas curvas , en conjunto, llevarán a otra que, en el supuesto de invariabilidad de los demás costos (excepto como consecuencia de un cambio en la producción), nos da la curva de demanda de mano de obra en la industria, que liga la cantidad de empleo con los diferentes niveles de salarios; expresando la forma de la curva respectiva, en cualquiera de sus puntos, la elasticidad de la demanda de mano de obra. Este concepto se transfiere entonces, sin modificación sustancial, a la industria en su conjunto; y se supone, por un razonamiento semejante, que tenemos una curva de demanda para la mano de obra en la industria como un todo, que liga el volumen de ocupación con los diferentes niveles de salarios. Se sostiene que este argumento no se altera esencialmente si se hace en términos de salarios nominales o reales. Si pensamos en términos de los primeros, debemos, por supuesto, hacer correcciones por los cambios en el valor del dinero; pero esto no afecta la dirección general del argumento, pues es evidente que los precios no cambian en proporción exacta a las modificaciones en los salarios nominales.

Si ésta es la base del razonamiento (y de lo contrario no sé cuál pueda ser), seguramente es una falacia; porque las curvas de demanda para industrias concretas sólo pueden trazarse partiendo de algunos supuestos fijos respecto a la naturaleza de las curvas de demanda y oferta de otras industrias y al monto de la demanda agregada efectiva. No se puede, por tanto, aplicar el argumento a la industria en conjunto, a menos que también llevemos allá nuestro supuesto de que la demanda agregada efectiva es fija. Pero esta hipótesis reduce el argumento a un ignoratio elenchi; porque si bien nadie desearía negar la proposición de que una baja en los salarios nominales acompañada por la misma demanda agregada efectiva que antes irá asociada con un aumento en la ocupación, el asunto concreto que se discute es si la baja de los salarios nominales irá o no acompañada por la misma demanda agregada efectiva de antes medida en dinero; o, por lo menos, por una demanda agregada efectiva que no se reduzca en la misma proporción que los salarios nominales (es decir, que es algo mayor medida en unidades de salarios). Pero si no se permite a la teoría clásica extender sus conclusiones por analogía de la industria en particular a la industria en conjunto, es completamente incapaz de contestar la pregunta relativa a qué efectos producirá sobre la ocupación una baja de los salarios nominales; porque carece de método de análisis con que abordar el problema. Me parece que la Theory of Unemployment del profesor Pigou saca de la teoría clásica todo lo que se puede sacar de ella; con el resultado de que el libro se convierte en una demostración sorprendente de que esta teoría no tiene nada que ofrecer cuando se aplica al problema de saber qué determina el volumen real de ocupación en conjunto.1[114]

II

Apliquemos, pues, nuestro propio método de análisis a resolver el problema. Se divide en dos partes: 1) una reducción en los salarios nominales ¿tiende directamente, ceteris paribus, a aumentar la ocupación, queriendo decir por ceteris paribus que la propensión a consumir, la curva de la eficiencia marginal del capital y la tasa de interés son las mismas que antes para la comunidad en conjunto? y 2) ¿tiene probablemente una reducción en los salarios nominales a afectar a la ocupación en un sentido particular a través de sus repercusiones ciertas o probables sobre estos tres factores?

En los capítulos anteriores ya hemos contestado a la primera pregunta en sentido negativo, porque hemos demostrado que el volumen de ocupación está ligado en una sola forma con el de la demanda efectiva, medida en unidades de salarios, y que siendo ésta la suma del consumo probable y de la inversión esperada, no puede cambiar si la propensión a consumir, la curva de la eficiencia marginal del capital y la tasa de interés permanecen todas invariables. Si, a falta de cualquier modificación en estos factores, los empresarios aumentaran la ocupación en conjunto, sus entradas forzosamente serían inferiores al precio de oferta.

Tal vez nos ayude a refutar la conclusión burda de que una baja de los salarios nominales aumentará la ocupación “porque reduce el costo de producción”, seguir el curso de los acontecimientos según la hipótesis más favorable a este punto de vista, es decir, la de que, al principio, los empresarios esperan que la reducción en los salarios nominales tenga este efecto. Sin duda, no es improbable que el empresario individual, viendo que sus propios costos se reducen, pase por alto al principio las repercusiones sobre la demanda de su producto y actúe en el supuesto de que está capacitado para vender con ganancia una producción mayor que antes. Si, entonces, los empresarios en general actúan de acuerdo con esta expectativa, ¿lograrán en realidad aumentar sus ganancias? Solamente si la propensión marginal a consumir de la comunidad es igual a uno, de manera que no haya una brecha entre el aumento de los ingresos y el del consumo o bien si hay un alza en la inversión que corresponda a la brecha que existe entre el aumento del ingreso y el del consumo, lo que ocurrirá únicamente en caso que la curva de las eficiencias marginales del capital haya aumentado relativamente a la tasa de interés. Así, los rendimientos obtenidos del aumento de producción desanimarán a los empresarios y la ocupación bajará otra vez a su nivel previo, a menos que la propensión marginal a consumir sea igual a la unidad, o que la reducción en los salarios nominales haya tenido el efecto de aumentar la escala de las eficiencias marginales del capital en relación con la tasa de interés y, por consiguiente, el monto de la inversión; porque si los empresarios ofrecen ocupación en una escala que, en caso de vender su producción al precio esperado, provea al público con ingresos de los cuales ahorre más que el monto de la inversión corriente, corren peligro de resentir una pérdida igual a la diferencia; y esto será lo que ocurra , sin importar en absoluto el nivel de los salarios nominales. En el mejor de los casos, la fecha en que se desengañen solamente puede ser diferida por el tiempo que sus propias inversiones crecientes en capital de operación estén llenando la brecha.

De este modo, la baja de los salarios nominales no tenderá a aumentar la ocupación durante mucho tiempo, excepto en virtud de sus repercusiones, ya sea sobre la propensión a consumir de la comunidad en conjunto, sobre la curva de las eficiencias marginales del capital, o sobre la tasa de interés. No hay más modo de analizar el efecto de una reducción de los salarios nominales que el de examinar sus posibles efectos sobre estos tres elementos.

Es probable que en la práctica las repercusiones más importantes sobre estos tres factores sean las siguientes:

1) Una baja de los salarios nominales reducirá algo los precios. Acarreará, por tanto, cierta redistribución de los ingresos reales a) de quienes perciben salarios a otros factores que entren en el costo primo marginal y cuya remuneración no haya sido reducida y b) de los empresarios a los rentistas, a quienes se ha garantizado cierto ingreso fijo en términos monetarios. ¿Cuál será el efecto de esta redistribución sobre la propensión a consumir de la comunidad en conjunto? La transferencia de ingresos de quienes perciben salarios a otros factores probablemente tenderá a reducirla. El resultado de la transferencia de los empresarios a los rentistas es más dudoso; pero si estos últimos representan en conjunto la sección más rica de la comunidad y el grupo cuyo nivel de vida es el de menor flexibilidad, entonces el efecto será también desfavorable. Sólo podemos hacer conjeturas sobre cuál será el resultado neto del balance de estas consideraciones. Probablemente sea más adverso que favorable.

2) Si nos referimos a un sistema no cerrado, y la baja de los salarios nominales es una reducción relativamente a los salarios nominales en el exterior cuando ambos se convierten a una unidad común, es evidente que el cambio será favorable a la inversión, ya que tenderá a aumentar el saldo de la balanza comercial. Desde luego, esto supone que la ventaja no esté contrarrestada por una modificación en los aranceles, contingentes, etc. La mayor fuerza que tiene en Inglaterra la creencia tradicional en la eficacia de una reducción en los salarios nominales como medio de aumentar el empleo en comparación con la que se le atribuye en Estados Unidos, se debe, probablemente, a que este último país es un sistema cerrado en comparación con el inglés.

3) En el caso de un sistema no cerrado es probable que una reducción de los salarios nominales, aunque aumente la balanza comercial favorable, empeore la relación de intercambio. Por tanto, habrá una reducción en los ingresos reales, excepto en el caso de quienes hayan sido recientemente empleados, lo que puede influir en el aumento de la propensión a consumir.

4) Si se espera que la baja de los salarios nominales sea una reducción relativamente a los salarios nominales en el futuro, el cambio será favorable a la inversión, porque, como vimos antes, aumentará la eficiencia marginal del capital; mientras que, por la misma razón, puede ser favorable al consumo. Si, por otra parte, la reducción conduce a la expectativa o a la seria posibilidad de una mayor reducción de salarios posterior, tendrá precisamente el efecto contrario; porque disminuirá la eficiencia marginal del capital y llevará al aplazamiento de la inversión y del consumo.

5) La reducción en la nómina de salarios, acompañada por cierto descenso en los precios y en los ingresos monetarios en general, contraerá la necesidad de efectivo para consumo y para negocios, y abatirá, en consecuencia, por tanto la curva de preferencia de liquidez de la comunidad en conjunto. Ceteris paribus, esto reducirá la tasa de interés y será favorable a la inversión. En este caso, sin embargo, el efecto de la expectativa respecto al futuro será de tendencia opuesta al que acabamos de considerar en el párrafo 4); porque si se espera que los salarios y los precios vuelvan a subir después, la reacción favorable será mucho menos pronunciada en el caso de los préstamos a largo que en los de corto plazo. Más todavía, si el descenso en los salarios trastorna la confianza política por ocasionar descontento popular, el aumento en la preferencia por la liquidez debido a esta causa puede más que neutralizar la liberación de efectivo de la circulación activa.

6) Desde el momento que una reducción especial de los salarios nominales es siempre ventajosa a un empresario o industria individuales, una baja general (aunque sus efectos reales sean diferentes) puede también dar un tono optimista a los juicios de los empresarios, que a su vez puede romper las dificultades de un círculo vicioso de estimaciones indebidamente pesimistas acerca de la eficiencia marginal del capital y arreglar las cosas de manera que funcionen sobre bases más normales de previsión. Por otra parte, si los trabajadores cometen el mismo error que sus patronos sobre los efectos de una reducción general, el malestar laboral puede contrarrestar esta circunstancia favorable, fuera de lo cual, como ya no suele haber medios de lograr un descenso igual y simultáneo de los salarios nominales en todas las industrias, conviene a todos los trabajadores resistirse a una reducción en su caso particular. De hecho, un movimiento de parte de los patronos para revisar los contratos sobre salarios nominales con el fin de rebajarlos, encontrará una resistencia mucho mayor que un descenso gradual y automático de los salarios reales como resultado del alza de los precios.

7) Por otra parte, la influencia depresiva que ejerce sobre los empresarios el aumento de la carga de deudas, puede neutralizar parcialmente cualquier reacción optimista que resulte del descenso de los salarios. En verdad, si la baja de éstos y de los precios va lejos, las dificultades de los empresarios que estén fuertemente endeudados pueden llegar pronto al límite de insolvencia, con severos efectos adversos sobre la inversión. Más aún, las consecuencias de un nivel inferior de precios sobre la carga real de la deuda nacional y, por tanto, sobre los impuestos, tienen probabilidades de ser muy contrarias a la confianza en los negocios.

Ésta no es una lista completa de todas las reacciones posibles de los descensos en los salarios en el complejo mundo real; pero creo que las citadas comprenden las que suelen ser más importantes.

Por tanto, si limitamos nuestro razonamiento al caso de un sistema cerrado y suponemos que no puede esperarse nada, sino todo lo contrario, de las repercusiones de la nueva distribución de los ingresos reales sobre la propensión de la comunidad a gastar, se sigue que debemos basar cualquier esperanza de resultados favorables de una baja en los salarios nominales sobre la ocupación, principalmente en una mejoría de la inversión debida a un aumento en la eficiencia marginal del capital según el párrafo 4) o a una tasa menor de interés de acuerdo con el 5). Examinemos estas dos posibilidades con mayor detalle.

La eventualidad favorable a un aumento en la eficiencia marginal del capital es aquella en que se espera que los salarios nominales hayan alcanzado su límite inferior, de manera que los cambios posteriores tengan que ser en dirección ascendente. La contingencia más desfavorable es aquella en que al ir descendiendo lentamente los salarios nominales cada reducción sirva para mermar la confianza en el sostenimiento probable de los mismos. Cuando entramos en un periodo de debilitamiento de la demanda efectiva, un descenso repentino y considerable de dichos salarios, a un nivel tan bajo que nadie crea en su continuidad indefinida, sería el suceso más favorable para fortalecer la demanda efectiva; pero esto sólo podría lograrse por un decreto administrativo y es una política poco práctica en un sistema de libre contratación del trabajo. Por otra parte, sería preferible que los salarios se fijaran rígidamente y se considerara que es imposible que ocurran cambios de importancia en ellos, a que esas depresiones fueran acompañadas de una tendencia gradual de los salarios nominales a bajar, esperándose que cada nuevo descenso moderado en los salarios señalara un aumento de digamos, uno por ciento en el volumen de desocupación. Por ejemplo, el efecto de una expectativa de que los salarios van a bajar en un 2 por ciento, digamos, durante el año venidero será aproximadamente equivalente al que ocasione un alza del 2 por ciento en la tasa de interés, pagadera en el mismo periodo. La misma observación se aplica mutatis mutandis al caso de un auge.

Se deduce que, con las prácticas e instituciones conocidas del mundo contemporáneo, es más expedito adoptar una política de salarios nominales rígidos que otra flexible que responda con pasos suaves a los cambios en el volumen de la desocupación; es decir, en lo que se refiere a la eficiencia marginal del capital; ¿pero se altera esta conclusión cuando se trata de la tasa de interés?

Por tanto, es sobre el efecto que un nivel descendente de precios y salarios provoca en la demanda de dinero, que deben hacer descansar el peso de su argumentación quienes creen en la propiedad del sistema económico de ajustarse automáticamente; aunque no sé que lo hayan hecho así. Si la cantidad de dinero es por sí misma función del nivel de salarios y precios, no hay nada, por cierto, que esperar en este sentido. Pero si la cantidad de dinero es virtualmente fija, resulta evidente que, medida en unidades de salarios, puede aumentarse indefinidamente por medio de una reducción adecuada en los salarios nominales; y que su monto en proporción a los ingresos en general puede aumentarse considerablemente, dependiendo el límite de este aumento de la proporción que el costo de los salarios guarde con el costo primo marginal y de la reacción de otros elementos del costo primo marginal ante la baja en la unidad de salarios. Podemos, por tanto, en teoría cuando menos, producir precisamente los mismos efectos sobre la tasa de interés reduciendo los salarios, al mismo tiempo que dejamos invariable la cantidad de dinero, que aumentando la cantidad de dinero y dejando sin variación el nivel de salarios. De aquí se deduce que la baja de los salarios, como método de alcanzar la ocupación total, está también sujeta a las mismas limitaciones que el de aumentar la cantidad de dinero. Las mismas razones mencionadas antes, que limitan la eficacia de los aumentos en la cantidad de dinero como medio de elevar la inversión a la cifra óptima, se aplican mutatis mutandis a las reducciones de salarios. Así como un alza moderada en la cantidad de dinero puede ejercer influencia inadecuada sobre la tasa de interés a largo plazo, en tanto que un inmoderado aumento puede neutralizar, por sus efectos perturbadores sobre la confianza, las otras ventajas que presenta; del mismo modo, una reducción moderada en los salarios monetarios puede no bastar, en tanto que la reducción inmoderada podría destrozar la confianza aun en el caso de que fuera factible.

No hay motivo, por tanto, para creer que una política de salarios flexibles sea capaz de mantener un estado de ocupación plena continua —como tampoco para pensar que una política monetaria de mercado abierto pueda lograr este resultado sin ayuda—. No puede conseguirse sobre estas bases que el sistema económico tenga ajuste automático. La dirección monetaria estaría de hecho en manos de los sindicatos obreros, con miras a la ocupación plena, y no en las del sistema bancario, si los obreros pudieran actuar (y lo hicieran) siempre que la ocupación fuera inferior a la total, con el fin de reducir sus demandas monetarias por acción concertada hasta el límite requerido, sea cual fuese, para que el dinero abundara tanto, en relación con la unidad de salarios, que la tasa de interés tendiera a bajar a un nivel compatible con la plena ocupación.

Sin embargo, aunque políticas flexibles de salarios y de dinero vienen a ser lo mismo, analíticamente, ya que son medios alternativos para cambiar la cantidad de dinero en términos de unidades de salarios, en otros respectos las separa, por supuesto, un verdadero abismo. Permítaseme recordar brevemente al lector las cuatro consideraciones principales.

1) Excepto en una comunidad socializada, donde la política de salarios se establece por decreto, no hay medio de asegurar reducciones uniformes para cada clase de trabajo. Este resultado solamente puede lograrse por una serie de cambios graduales, irregulares, no justificables por criterio alguno de justicia social o conveniencia económica, y probablemente completada sólo después de luchas desastrosas y que ocasionen gran desperdicio, en las que quienes estén situados en la posición más débil para contratar sufrirán, en comparación con el resto. Por otra parte, un cambio en la cantidad de dinero cae ya dentro de las posibilidades de la mayor parte de los gobernantes por medio de la política de mercado abierto o medidas análogas. Teniendo en cuanta la naturaleza humana y nuestras instituciones, solamente un tonto preferiría una política de salarios flexibles a una política monetaria elástica, a menos que señale las ventajas de la primera que no sea posible obtener con la segunda. Más todavía, en igualdad de condiciones, un método que es comparativamente fácil de aplicar debería considerarse preferible a otro que es probablemente tan difícil como impracticable.

2) Si los salarios monetarios son inflexibles, los cambios que se presenten en los precios (es decir, fuera de los precios “dirigidos” o los de monopolio, que están determinados por otros motivos además del costo marginal) corresponderán en primer término a la productividad marginal decreciente del equipo que se tenga, a medida que aumente la producción de él derivada. Así se mantendrá la mayor equidad practicable entre el trabajo y los factores cuya remuneración se fija contractualmente en términos monetarios, en particular entre la clase rentista y las personas que tienen sueldos fijos en una firma establecida permanentemente, en una institución o en el estado. Para que clases sociales numerosas tengan remuneración fija, en dinero en todo caso, la justicia y la conveniencia sociales quedan mejor servidas si la remuneración de todos los factores es algo inflexible en dinero. Teniendo en cuenta los grandes grupos de ingresos que son comparativamente inflexibles, medidos en dinero, solamente una persona injusta puede preferir una política flexible de salarios a una monetaria de la misma clase, a menos que pueda señalar las ventajas de la primera que no sea posible obtener con la segunda.

3) El método de aumentar la cantidad de dinero en unidades de salarios mediante rebaja de la unidad de las mismas, eleva proporcionalmente la carga de las deudas; en tanto que el de producir el mismo resultado por el aumento de la cantidad de dinero, dejando invariable la unidad de salarios, produce el efecto opuesto. Teniendo en cuenta la excesiva carga de muchas clases de deudas solamente una persona sin experiencia puede preferir el primero.

4) Si para lograr que la tasa de interés descienda hay que reducir el nivel de salarios, existe, por las razones expuestas antes, doble traba sobre la eficiencia marginal del capital y doble razón para reducir las inversiones y retrasar así la vuelta a la normalidad.

III

De aquí se deduce que, si el trabajo respondiera a la disminución gradual de la ocupación ofreciendo sus servicios por un salario nominal en descenso regular, esto no tendría por efecto, en términos generales, reducir los salarios reales y aun podría aumentarlos, a través de su influencia adversa sobre el volumen de producción. El resultado principal de esta política sería producir una inestabilidad de precios, quizá tan violenta que hiciera fútiles los cálculos mercantiles en una sociedad económica que funcionara conforme al modelo de la actual. Suponer que la política de salarios flexibles es un auxiliar correcto y adecuado de un sistema que en conjunto corresponde al tipo del laissez faire, es lo opuesto a la verdad. Solamente en una sociedad altamente autoritaria, en la que pudieran decretarse cambios sustanciales y completos, podría funcionar con éxito una política de salarios flexibles. Se la puede imaginar operando en Italia, Alemania o Rusia; pero no en Francia, Estados Unidos o Gran Bretaña.

Si, como en Australia, se hiciera un intento para fijar los salarios reales por legislación, entonces habría cierto nivel de ocupación correspondiente a esa magnitud de los mismos; y el nivel real oscilaría violentamente, en un sistema cerrado, entre aquél y la ausencia total de empleo, según que la tasa de inversión estuviera o no por debajo de la que fuera compatible con dicho nivel; mientras que los precios se encontrarían en equilibrio inestable cuando la inversión alcanzara el nivel crítico, moviéndose apresuradamente hacia cero siempre que ésta se encontrara por debajo de él y hacia el infinito cuando estuviera por encima. El elemento de estabilidad tendría que encontrarse, si acaso, en que los factores que controlan la cantidad de dinero estuvieran determinados de tal modo que siempre existiera algún nivel de salarios nominales en el cual la cantidad de dinero fuera la necesaria para crear una relación entre la tasa de interés y la eficiencia marginal del capital requerida para mantener la inversión al nivel crítico. En este caso la ocupación sería constante (al nivel adecuado para el salario real legal) y los salarios nominales y los precios fluctuarían con rapidez en el grado precisamente necesario para conservar esta tasa de inversión en la cifra conveniente. En el caso real de Australia, la válvula de escape se encontró —en parte, por supuesto— en la inevitable ineficacia de la legislación para conseguir su objeto, y parcialmente en que Australia no es un sistema cerrado, de tal manera que en nivel de los salarios nominales era por sí mismo una determinante del nivel de la inversión extranjera y, por tanto, de la inversión total, mientras la relación de intercambio influía mucho sobre los salarios reales.

A la luz de estas consideraciones opino ahora que el mantenimiento de un nivel general estable de salarios nominales es, en general, la política más aconsejable para un sistema cerrado; al tiempo que la misma conclusión será válida para un sistema abierto, a condición de que pueda lograr el equilibrio con el resto del mundo por medio de fluctuaciones en los tipos de cambio. La existencia de cierto grado de flexibilidad de los salarios en industrias particulares tiene sus ventajas si sirve para facilitar las transferencias de las que se encuentran en decadencia comparativa a las que relativamente están en auge. Pero el nivel de salarios nominales en conjunto debe mantenerse tan estable como sea posible, por lo menos en periodos cortos.

Esta política tendría por resultado un grado conveniente de estabilidad en el nivel de precios —mayor estabilidad, al menos, que con otra de salarios flexibles—. Fuera de los precios “dirigidos” o de monopolio, el nivel de precios solamente cambiará en periodos cortos como respuesta a la extensión en que los cambios del volumen de ocupación afecten los costos primos marginales; mientras que, en periodos largos, solamente variará como reacción a las alteraciones en el costo de producción debidas a nuevas técnicas y al equipo nuevo o aumentado.

Es verdad que si a pesar de todo ocurren grandes fluctuaciones en la ocupación, éstas irán acompañadas por otras sustanciales en el nivel de precios. Pero las fluctuaciones serán menos como dije antes, que con la política de salarios flexibles.

De este modo, con la política rígida de salarios, la estabilidad de los precios irá ligada, en periodos cortos, a la ausencia de fluctuaciones en la ocupación. En periodos largos, por otra parte, todavía nos queda por escoger entre la política de permitir a los precios que bajen lentamente con el progreso de la técnica y el equipo, mientras se conservan estables los salarios; o dejar que los salarios suban poco a poco, al mismo tiempo que se mantienen estables los precios. En conjunto, yo prefiero la segunda alternativa porque es más fácil conservar el nivel real de ocupación dentro de un rango determinado respecto al empleo pleno con una esperanza de mayores salarios para después, que con la de salarios menores en el futuro; y debido también a las ventajas sociales de disminuir gradualmente la carga de las deudas, la mayor facilidad de ajuste de las industrias en decadencia hacia las que van en auge y el estímulo psicológico que probablemente se sentirá con una tendencia moderada de los salarios nominales a subir. Pero esto no supone un principio esencial, y me llevaría más allá de mi objeto presente desarrollar detalladamente los argumentos en ambos sentidos.

 


 * 

CAPÍTULO 19B

APÉNDICE

LA “TEORÍA DE LA DESOCUPACIÓN” DEL PROFESOR PIGOU

EN SU THEORY OF UNEMPLOYMENT EL PROFESOR PIGOU hace depender el volumen de ocupación de dos factores fundamentales, que son 1) las tasas reales de salarios que estipulan los trabajadores y 2) la forma de la función de la demanda real de mano de obra. Las secciones centrales de su libro tratan de determinar la forma de esta última función. No se olvida que los trabajadores estipulan de hecho sus salarios, no en términos reales, sino en dinero; pero, en efecto, se supone que la tasa corriente de salarios nominales dividida por el precio de los artículos para asalariados mide la tasa real que se demanda.

Las ecuaciones que, como él dice, “son el punto de partida de la investigación” de la función real de la demanda de mano de obra, están en la página 90 de su Theory of Unemployment. Como los supuestos tácitos que rigen la aplicación de su análisis se introducen casi al principio de su argumentación, haré un resumen de su estudio hasta el punto crítico.

El profesor Pigou divide las industrias en aquellas “ocupadas en producir artículos para asalariados en el interior y en hacer exportaciones cuya venta crea derechos sobre los mismos en el exterior” y las “otras” industrias: a las que conviene llamar de artículos para asalariados y de artículos para no asalariados, respectivamente. Supone que x hombres están empleados en las primeras e y hombres en las segundas. Llama a la producción, en valor, de artículos para asalariados de los x hombres F (x); y la tasa general de salarios F′ (x). Esto, aunque él no se detiene a mencionarlo, equivale a suponer que el costo marginal del salario es igual al costo primo marginal.[115] Más todavía, supone que x + y = Φ (x), es decir, que el número de hombres empleados en las industrias de artículos para asalariados es función de la ocupación total. Luego muestra cómo la elasticidad de la demanda real de mano de obra, en conjunto (lo que nos da la forma de nuestro quaesitum, es decir, la función de la demanda real de mano de obra), puede escribirse:

Por lo que respecta a la notación, no hay diferencia importante entre ésta y mis propias formas de expresión. En la medida en que podamos identificar los artículos para asalariados del profesor Pigou con mis bienes de consumo, y sus “otros artículos” con los míos de inversión, se deduce que, siendo su 

el valor de la producción de las industrias de artículos para asalariados medido en unidades de salarios, es lo mismo que mi Cs. Más aún, su función Φ es (sujeta a la identificación de los artículos para asalariados con los bienes de consumo) una función de lo que antes llamé el multiplicador de la ocupación k′, porque  

de manera que

De este modo la “elasticidad de la demanda agregada real de mano de obra” de que habla el profesor Pigou, es una lucubración semejante a algunas de las mías, dependiendo en parte de las condiciones físicas y técnicas de la industria (tal como las da su función F) y, en parte, de la propensión a consumir artículos para asalariados (tal como los da su función φ); siempre a condición de que nos limitemos en esto al caso especial en que el costo marginal del salario sea igual al costo primo marginal.

Para determinar la magnitud de la ocupación, el profesor Pigou combina entonces una función de oferta de mano de obra con su “demanda real de mano de obra”. Supone que esto es función del salario real y de nada más; pero como también ha sentado la hipótesis de que dicho salario real es función del número de hombres x que están empleados en las industrias de artículos para asalariados, esto equivale a suponer que la oferta total de mano de obra, al nivel existente de salarios reales, es función solamente de x; lo que es como decir que n = χ (x), en donde n es la oferta de mano de obra disponible con un salario real de F′ (x).

Así, limpio de toda complicación, el análisis del profesor Pigou equivale a un intento de descubrir el volumen de ocupación real partiendo de las ecuaciones

x + y = φ (x)

n = χ (x).

Pero hay tres incógnitas y sólo dos ecuaciones. Parece claro que elude esta dificultad considerando que n = x + y. Esto equivale, por supuesto, a admitir que no hay desocupación involuntaria en sentido estricto; es decir, que todo el trabajo disponible al nivel del salario real existente está empleado de hecho. En este caso x tiene el valor que satisface la ecuación

φ (x) = χ (x)

y cuando hemos hallado así que el valor de x es igual a (digamos)

n1, y debe ser igual a χ

(n1) – n1, y la ocupación total n es igual a χ (n1).

Vale la pena detenerse un momento a considerar lo que esto significa. Quiere decir que si la función de oferta de mano de obra cambia, quedando disponible más trabajo a un salario real dado (de manera que n1 + dn1 sea ahora el valor de x que satisface la ecuación φ (x) = χ (x)), la demanda de la producción de las industrias de artículos para no asalariados será tal que la ocupación que en ellas ha de subir precisamente en la cantidad que conserve la igualdad entre φ (n1 + dn1) y χ (n1 + dn1). La única alternativa que queda para que varíe la ocupación agregada es a través de un cambio en la propensión a comprar artículos para asalariados y para no asalariados, respectivamente, de manera que haya un aumento de y acompañado por un descenso mayor de x.

Desde luego, el supuesto de que n = x + y significa que los obreros están siempre en situación de poder determinar su propio salario real. Así, la hipótesis de que pueden hacer tal cosa significa que la demanda de producción de las industrias de artículos para no asalariados obedece las leyes anteriores. En otras palabras, se supone que la tasa de interés siempre se ajusta por sí misma a la curva de la eficiencia marginal del capital en un forma tal que conserva la ocupación plena. Sin este supuesto, el análisis del profesor Pigou se derrumba y no da medios para determinar cuál será el volumen de empleo. Es extraño, en verdad, que el profesor Pigou haya supuesto poder proporcionar una teoría de la desocupación en la cual no hay referencia alguna a las variaciones en la tasa de inversión (es decir, a las de la ocupación en las industrias de artículos para no asalariados), debidas, no a un cambio en la función de oferta de mano de obra, sino a modificaciones (por ejemplo) en la tasa de interés o en el estado de la confianza.

El título Theory of Unemployment es, por tanto, algo impropio. Su libro no se ocupa en realidad de este tema. Es un estudio de cuánta ocupación habrá, dada la función de oferta de mano de obra, cuando se satisfacen las condiciones de la ocupación plena. El objeto del concepto de elasticidad de la demanda agregada real de mano de obra es mostrar en qué proporción subirá o bajará la ocupación plena ante un desplazamiento dado en la función de oferta de mano de obra. O, por el contrario y quizá mejor, podemos considerar este libro como una investigación no causal de las relaciones funcionales determinantes del nivel de salarios reales que corresponderá a cualquier volumen dado de ocupación. Pero no es capaz de ilustrarnos sobre lo que determina el nivel real de ésta; y no tiene relación directa con el problema de la desocupación involuntaria.

Si el profesor Pigou negara la posibilidad de la desocupación involuntaria en el sentido que la he definido antes, como tal vez lo haría, es difícil ver en qué forma podría aplicarse su análisis; porque el no estudiar lo que determina la relación entre x e y, es decir, entre el empleo en las industrias de artículos para asalariados y las de artículos para no asalariados, respectivamente, todavía sigue siendo fatal.

Además, él admite que, dentro de ciertos límites, los obreros frecuentemente estipulan su remuneración, no en salarios reales conocidos, sino en salarios nominales. Pero en este caso la función de oferta de mano de obra no lo es únicamente de F′ (x), sino también del precio nominal de los artículos para asalariados, con la consecuencia de que el análisis previo se desvanece y se ha de introducir un factor nuevo, sin que exista una ecuación adicional que atienda a esta incógnita adicional. No hay mejor ejemplo de las trampas de un método pseudo-matemático, que no puede progresar excepto haciendo que todo sea función de una sola variable y suponiendo que todas las diferenciales parciales desaparecen; porque de nada sirve admitir más tarde que de hecho existen otras variables, y a pesar de ello seguir adelante sin volver a redactar lo que se ha escrito hasta ese punto. De este modo, si (dentro de ciertos límites) los obreros estipulan su remuneración en salarios nominales, todavía no tenemos los suficientes datos, aun si suponemos que n = x + y, a menos que sepamos lo que determina el precio nominal de los artículos para asalariados, porque dicho precio dependerá del volumen total de ocupación. Por tanto, hasta que sepamos los precios monetarios de los bienes para asalariados no podemos decir cuál será la ocupación total; y no podemos conocer tales precios hasta que tengamos conocimiento del volumen total de ocupación. Nos falta, como he dicho, una ecuación. Sin embargo, quizá lo que aproximaría más nuestra teoría a los hechos fuera la suposición provisional de rigidez de los salarios nominales, más que de los salarios reales. Por ejemplo, los salarios nominales en Gran Bretaña durante los disturbios, la incertidumbre y las amplias fluctuaciones de los precios de la década 1924 1934, fueron estables dentro de un límite del 6 por ciento, en tanto que los salarios reales fluctuaron en más del 20 por ciento. Una teoría no puede pretender ser general a menos que sea aplicable al caso (o dentro de los límites) en que los salarios nominales sean fijos, lo mismo que a cualquier otro caso. Los políticos tienen derecho a quejarse de que los salarios nominales deberían ser altamente flexibles; pero un teórico debe estar preparado para enfrentarse indistintamente con cualquier estado de cosas. Una teoría científica no puede pedir a los hechos que se ajusten a sus propias hipótesis.

Cuando el profesor Pigou llega a ocuparse expresamente del efecto de una reducción de los salarios nominales, nuevamente y de modo palpable (para mí), introduce muy pocos datos para permitir que se llegue a una respuesta definitiva. Empieza por rechazar el argumento (op. cit., p. 101) de que si el costo primo marginal es igual al costo marginal del salario, los ingresos de los no asalariados se alterarán, cuando los salarios nominales se reduzcan, en la misma proporción que los de los asalariados, basándose en que esto sólo es válido si la cantidad de ocupación permanece invariable —lo que es precisamente el punto a discusión—. Pero en la siguiente página (op. cit., p. 102) él mismo comete igual error al tomar como suposición suya que “al principio nada ha sucedido al ingreso monetario de los no asalariados”, lo que, como él mismo acaba de mostrar, es válido solamente si el volumen de ocupación no permanece invariable —que es lo que se discute—. De hecho, no es posible respuesta alguna, a menos que conozcamos otros factores.

La forma en que afecta al análisis la aceptación del supuesto de que el trabajo se contrata de hecho por un salario nominal dado y no por uno real (a condición de que los salarios reales no bajen de cierto límite) puede mostrarse también haciendo ver que en este caso se desbarata el supuesto de que no hay más trabajo disponible, excepto a un salario real mayor, lo cual es fundamental para la mayor parte del razonamiento. Por ejemplo, el profesor Pigou rechaza (op. cit., p. 75) la teoría del multiplicador suponiendo que se conoce la tasa de salarios reales, es decir, que habiendo ya ocupación plena, no habrá oferta de mano de obra adicional a un salario real menor. Desde luego, si se admite este supuesto, el argumento es correcto. Pero en este pasaje el profesor Pigou está criticando una proposición relativa a política práctica; y en un momento en que las estadísticas de desocupación en la Gran Bretaña excedían de 2,000,000 (es decir, cuando había 2,000,000 de hombres dispuestos a trabajar al salario nominal existente) no se puede afirmar, sin alejarse fantásticamente de la realidad, que cualquier alza en el costo de la vida, por muy moderada que fuese, en relación con el salario nominal, ocasionaría el retiro del mercado de trabajo de más del equivalente de estos 2,000,000 de hombres.

Importa insistir en que todo el libro del profesor Pigou está escrito partiendo del supuesto de que cualquier alza en el costo de la vida, por muy moderada que sea, proporcionalmente al salario nominal ocasionará el retiro del mercado de trabajo de un número de trabajadores mayor que el de todos los que no tienen empleo.

Además, el profesor Pigou no nota en este pasaje (op. cit., p. 75) que el argumento que aduce contra la ocupación “secundaria”, como resultado de las obras públicas, bajo los mismos supuestos, se opone fatalmente al aumento de la ocupación “primaria” con la misma política, porque si el tipo real de salarios que rige en las industrias de artículos para asalariados se da de antemano, no es posible el menor aumento en la ocupación — excepto, por supuesto, como resultado de que los no asalariados reduzcan su consumo de esos artículos—. Porque aquellos que han entrado recientemente en la ocupación primaria probablemente aumentarán su consumo de artículos para asalariados, lo que reducirá el salario real y, por tanto (según su hipótesis), conducirá a retirar trabajo empleado antes en alguna otra parte. No obstante, el profesor Pigou acepta, aparentemente, la posibilidad de aumentar la ocupación primaria. La línea que separa la ocupación primaria y la secundaria parece ser el punto psicológico crítico en que su buen sentido común deja de dominar su mala teoría.

La diferencia en las conclusiones a que llevan las divergencias anteriores en supuestos y análisis, puede ponerse en evidencia en el siguiente pasaje importante en que el profesor Pigou resume su punto de vista: “Con una competencia perfectamente libre entre los trabajadores, y el trabajo perfectamente móvil, será muy sencilla la naturaleza de la relación (es decir, entre las tasas reales de salarios en que la gente contrata y la función de demanda de mano de obra). Siempre estará operando una vigorosa tendencia en el sentido de que las tasas de salarios guarden una relación tal con la demanda, que todo el mundo está empleado. Por tanto, en condiciones estables todos tendrán realmente empleo. Lo que esto significa es que la desocupación que existe en cualquier momento se debe por completo a que los cambios en las condiciones de la demanda se producen de manera continua y que las resistencias debidas a fricciones impiden que se realicen instantáneamente los ajustes correspondientes en los salarios.”[116]

El profesor Pigou concluye (op. cit., p. 253) que la desocupación se debe primordialmente a una política de salarios que no se ajusta lo bastante por sí misma a los cambios en la función de demanda real de mano de obra.

Así, el profesor Pigou cree que, a la larga, la desocupación puede remediarse por medio de ajustes de salarios;[117] en tanto que yo sostengo que el salario real (sujeto solamente a un límite mínimo señalado por la desutilidad marginal de la ocupación) no está determinado en primer término por los “ajustes de salarios” (aunque éstos pueden tener repercusiones), sino por las otras fuerzas del sistema, algunas de las cuales (en particular la relación entre la curva de la eficiencia marginal del capital y la tasa de interés) no las ha incluido el profesor Pigou, si estoy en lo justo, en su plan formal.

Por último, cuando el profesor Pigou llega a la “motivación del desempleo” habla, tanto como yo, es cierto, de fluctuaciones en el estado de la demanda; pero identifica al estado de la demanda con la función de demanda real de mano de obra, olvidando cuán estrecha es esta última según su propia definición. Porque la función real de demanda de mano de obra depende, por definición (como hemos visto antes) únicamente de dos factores, a saber: 1) la relación, en un medio dado cualquiera, entre el número total de hombres empleados y el que ha de emplearse en las industrias de artículos para asalariados para proveerlos de lo que consumen, y 2) de la productividad marginal en las mismas industrias. Sin embargo, en la Parte V de su Theory of Unemployment, las fluctuaciones en el estado de “la demanda real de mano de obra” ocupan posición importante. La “demanda real de mano de obra” se considera como un factor susceptible de amplias fluctuaciones a corto plazo (op. cit., Parte V, caps. VI-XII), y la sugestión parece ser que las oscilaciones en la “demanda real de mano de obra” en combinación con el hecho de que la política de salarios no responda con rapidez a tales cambios, son responsables en alto grado del ciclo económico. Todo esto parecerá al lector, a primera vista, razonable y familiar porque, a menos que vuelva sus pasos sobre la definición, las “fluctuaciones en la demanda real de mano de obra” le traerán a la mente la misma clase de sugestiones que la que yo quiero provocar con las “fluctuaciones en el estado de la demanda agregada”. Pero si volvemos sobre la definición de la “demanda real de mano de obra”, todo esto pierde su lógica, porque encontraremos que nada hay en el mundo con menos probabilidades de estar sujeto a oscilaciones pronunciadas a corto plazo, que este factor.

La “demanda real de mano de obra” del profesor Pigou depende, por definición, únicamente de F (x), que representa las condiciones físicas de producción en las industrias de artículos para asalariados y φ (x), que representa la relación funcional entre la ocupación en las mismas industrias y la ocupación total correspondiente a cualquier nivel dado del último. Es difícil ver una razón por la que cualquiera de estas funciones debiera cambiar, excepto gradualmente, en periodos largos. Parece no haber motivo, por cierto, para suponer que haya probabilidad de que fluctúen durante un ciclo económico; porque F (x) sólo puede cambiar con lentitud y, en una comunidad cuya técnica progrese, sólo hacia adelante; mientras que φ (x) permanecerá estable, a menos que supongamos una oleada de frugalidad de la clase trabajadora o, más generalmente, un desplazamiento repentino en la propensión a consumir. Yo esperaría, portanto, que la demanda real de mano de obra permaneciera virtualmente igual, a través del ciclo económico. Repito que el profesor Pigou ha omitido por completo en su análisis el factor inestable, es decir, las fluctuaciones en la escala de inversión, que muy a menudo son la causa del fenómeno de las fluctuaciones en la ocupación.

He comentado in extenso la teoría de la desocupación del profesor Pigou, no porque me parezca que él está más expuesto a la crítica que otros economistas de la escuela clásica; sino porque el suyo es el único intento que conozco de desarrollar la teoría clásica de la desocupación en forma precisa. Así, me he visto obligado a dirigir mis objeciones contra esta teoría, en la exposición más formidable que de ella se ha hecho.

 


 20 

CAPÍTULO 20

LA FUNCIÓN DE LA OCUPACIÓN [118]

I

EN EL CAPÍTULO 3 (P. 54) HEMOS DEFINIDO LA FUNCIÓN de oferta total, Z = φ (N), que liga la ocupación N con el precio de la oferta agregada de la producción correspondiente. La función de ocupación solamente difiere de la función de oferta agregada en que es, de hecho, su función inversa y se define en unidades de salarios, siendo el objeto de la función de ocupación relacionar el volumen de la demanda efectiva, medida en unidades de salarios, que pesa sobre una empresa o industria dadas o la industria en conjunto, con el volumen de ocupación, cuya producción tenga un precio de oferta comparable con dicho volumen de demanda efectiva. De ese modo, si una cantidad de demanda efectiva Dsr, medida en unidades de salarios, orientada hacia una empresa cualquiera, crea en ella un volumen de ocupación Nr, la función de ocupación estará dada por Nr = Fr (Dsr). O, de un modo más general, si podemos suponer que Dsr es función única de la demanda efectiva total Ds, la función de ocupación estará determinada por Nr = Fr (Ds). Lo que quiere decir que Nr hombres estarán empleados en la industria r cuando la demanda efectiva sea Ds.

Desarrollaremos en este capítulo ciertas propiedades de la función de ocupación. Pero, aparte del interés que éstas puedan tener, hay dos razones por las que la sustitución de la curva ordinaria de oferta por la función de ocupación es consecuente con los métodos y finalidades de este libro. En primer lugar, expresa los hechos pertinentes en términos de las unidades a que hemos decidido restringirnos, sin introducir ninguna de las que tienen un carácter cuantitativo dudoso. En segundo lugar, se presta a los problemas de la industria y la producción como un todo, distinguiéndolos de los de una industria o firma aislada en un medio determinado, más fácilmente que la curva ordinaria de la oferta —por las siguientes razones.

La curva ordinaria de demanda de bien particular se traza partiendo de algún supuesto respecto a los ingresos de las personas que forman el público, y tiene que corregirse si los ingresos cambian. En la misma forma, la curva ordinaria de oferta de un bien particular se traza basándose en algún supuesto por lo que hace a la producción de la industria en conjunto y está sujeta a modificaciones si la producción total de la misma se altera. Por consiguiente, cuando examinamos la reacción de las industrias individuales ante los cambios en la ocupación agregada, necesariamente nos estamos refiriendo, no a una sola curva de demanda para cada industria conjugada con una sola curva de oferta, sino a dos familias de curvas que corresponden a diversos supuestos en cuando a la ocupación total. En el caso de la función de ocupación, sin embargo, es más practicable la tarea de llegar a una función para la industria en conjunto que refleje los cambios en el empleo total.

Porque supongamos (para comenzar) que la propensión a consumir está determinada, lo mismo que los otros factores que en el capítulo 18 dimos por conocidos, y que estamos considerando las modificaciones en la ocupación que se presentan como respuesta a los cambios en la tasa de inversión. De acuerdo con este supuesto, para cada nivel de demanda efectiva, en términos de unidades de salarios, habrá una ocupación total correspondiente, y esta demanda efectiva se dividirá en determinadas proporciones entre el consumo y la inversión. Más todavía, cada nivel de demanda efectiva corresponderá a una determinada distribución del ingreso. Es razonable, por tanto, suponer, además, que a un determinado nivel de la demanda efectiva corresponde una distribución única de la misma entre diferentes industrias.

Esto nos permite determinar qué cantidad de ocupación corresponderá, en cada industria, a cada nivel dado de ocupación total. Lo que quiere decir que nos da el volumen de ocupación en cada industria particular correspondiente a cada nivel de la demanda efectiva total, medida en unidades de salarios, de manera que se satisfagan las condiciones de la segunda variedad de la función de ocupación para la industria, que se definió antes, es decir, Nr = Fr (Ds). Así tenemos la ventaja de que, en estas circunstancias, las funciones de ocupación individual son aditivas en el sentido de que la función de ocupación para la industria en conjunto, correspondiente a un nivel dado de demanda efectiva, es igual a la suma de las funciones de ocupación para cada industria por separado; es decir,

F (Ds) = N = ΣNr = ΣFr (Ds)

Definamos a continuación la elasticidad de ocupación. Ésta, para una industria determinada es,

ya que mide la reacción del número de unidades de trabajo empleadas en la industria ante los cambios en el número de unidades de salario que se espera serán gastadas en la compra de la producción correspondiente. Representamos la elasticidad de ocupación para la industria en su conjunto por  

Si pudiera encontrarse algún método bastante satisfactorio para medir la producción, sería útil también definir lo que podría llamarse elasticidad de la producción, que da la medida del coeficiente de aumento en cualquier industria cuando se dirige hacia ella más demanda efectiva medida en unidades de salarios, es decir

Si podemos suponer que el precio es igual al costo primo marginal, tendremos

en la que Pr es la ganancia esperada.[119] Se sigue de aquí que si eor = o, es decir, si la producción de la industria es perfectamente inelástica, se esperará que el alza total de la demanda efectiva (medida en unidades de salarios) irá a dar al empresario como ganancia, es decir, đDsr = đPr; mientras que si eor = 1, es decir, si la elasticidad de producción es igual a la unidad no se esperará que parte alguna del aumento de la demanda efectiva se convierta en ganancia, siendo el total de la misma absorbida por los elementos que entran en el costo primo marginal.

Más aún, si la producción de una industria es función φ (Nr) de la mano de obra empleada en ella, tendremos[120]

en donde psr es el precio esperado de una unidad de producción expresada en unidades de salarios. Así, la condición eor = 1 significa que φ′′ (Nr) = φ, es decir, que hay rendimientos constantes en respuesta al aumento de ocupación.

Ahora bien, en la medida en que la teoría clásica supone siempre la igualdad entre los salarios y la desutilidad marginal del trabajo y que esta última aumenta cuando crece la ocupación, de manera que la oferta de mano de obra se reducirá, ceteris paribus, si los salarios reales disminuyen, esto equivale a suponer que en la práctica es imposible aumentar el gasto en términos de unidades de salarios. Si así fuera, no habría dónde aplicar el concepto de elasticidad de ocupación. Además, en este caso sería imposible aumentar la ocupación elevando los gastos en términos de dinero; porque los salarios nominales subirían proporcionalmente al aumento de dichos gastos, de manera que no habría elevación de ellos, medidos en unidades de salarios, y, en consecuencia, tampoco aumento de ocupación. Pero si el supuesto clásico no es válido, será posible aumentar la ocupación haciendo subir los gastos en dinero hasta que los salarios reales hayan bajado de manera que se igualen con la desutilidad marginal del trabajo, estado en el que habrá, por definición, ocupación plena.

De ordinario, por supuesto, eor tendrá un valor intermedio entre cero y la unidad. La medida en que subirán los precios (en unidades de salarios), es decir, la extensión en que los salarios reales bajarán cuando aumenten los gastos monetarios, depende, por tanto, de la elasticidad que la producción manifieste en respuesta a los gastos en unidades de salarios.

Representemos por e′pr la elasticidad del precio esperado psr como reacción a los cambios en la demanda efectiva Dsr es decir,

Ya que Or psr = Dsr, tendremos

o bien

Lo cual equivale a decir que la suma de las elasticidades del precio y de la producción, como respuesta a los cambios en la demanda efectiva (medidos en unidades de salarios) es igual a la unidad. La demanda efectiva se agota en parte afectando la producción, y en parte influyendo sobre el precio, de acuerdo con este principio.

Si nos referimos a la industria en conjunto y estamos dispuestos a admitir que tenemos una unidad en la cual pueda medirse la producción global, se aplica la misma clase de razonamientos, de tal manera que e′p + eo = 1, donde las elasticidades sin el sufijo r se aplican a la industria en conjunto.

Midamos ahora los valores en dinero en vez de hacerlo en unidades de salarios y ampliemos a este caso nuestras conclusiones con respecto a la industria en conjunto.

Si S representa el salario monetario de una unidad de trabajo y p el precio esperado de una unidad de la producción total, en dinero, podemos escribir

 para representar la elasticidad de los precios monetarios en respuesta a los cambios de la demanda efectiva, medida en dinero, y

para la elasticidad de los salarios monetarios en respuesta a los cambios de la demanda efectiva, en términos monetarios. Entonces se puede demostrar fácilmente que

ep = 1 – eo (1 – es).[121]

Esta ecuación es, como veremos en el próximo capítulo, el primer paso hacia una teoría cuantitativa del dinero generalizada . Si es = φ ó si es = 1, la producción permanecerá invariable y los precios subirán en la misma proporción que la demanda efectiva en unidades monetarias. De otro modo lo harán en proporción menor.

II

Volvamos a la función de ocupación. Hemos supuesto en lo que va dicho que a cada nivel de demanda efectiva agregada corresponde una distribución única de la demanda efectiva entre los productos de cada industria concreta. Ahora bien, a medida que los gastos agregados varían, el gasto correspondiente a los productos de una industria individual no cambiará, por lo general, en la misma proporción —en parte debido a que los individuos no aumentarán proporcionalmente la cantidad de productos que compran a cada industria a medida que suban sus ingresos, y en parte porque los precios de los diferentes bienes responderán en grado desigual a los aumentos de los gastos hechos en ellos.

 de manera que

De esto se deduce que el supuesto sobre el cual nos hemos basado hasta aquí, de que los cambios en la ocupación sólo dependen de modificaciones en la demanda agregada efectiva (en unidades de salarios), es sólo una primera aproximación, si admitimos que hay más de una manera de gastar un aumento de los ingresos; porque el modo en que supongamos se distribuye entre los diferentes bienes el crecimiento de demanda agregada puede influir considerablemente sobre el volumen de ocupación.

Si, por ejemplo, la elevación de la demanda se dirige principalmente hacia los productos que tienen gran elasticidad de ocupación, el aumento global de ocupación será mayor que si el aumento de demanda va a productos con poca elasticidad de ocupación. Del mismo modo, la ocupación puede bajar sin que haya ocurrido ningún cambio en la demanda agregada si la dirección en el lado de la demanda se modifica en favor de los productos que tienen una elasticidad relativamente baja de ocupación.

Estas reflexiones son particularmente importantes cuando nos ocupamos de los fenómenos de periodo corto, en el sentido de cambios en el monto o en la dirección de la demanda que no se prevén con cierta anticipación. La obtención de algunos productos toma tiempo, de manera que es prácticamente imposible aumentar su oferta con rapidez. De este modo, si la demanda adicional se dirige a ellos sin previo aviso, mostrarán una elasticidad baja de ocupación; aunque puede ser que cuando se sepa que va a aumentar, su elasticidad de ocupación se aproxime a la unidad.

Encuentro que el concepto de periodo de producción tiene importancia sobre todo a este respecto. Preferiría decir[122] que un producto tiene un periodo de producción n si se necesita dar aviso de los cambios en su demanda con anticipación de n unidades de tiempo para que tenga la elasticidad máxima de ocupación. Evidentemente, en este sentido los artículos de consumo, tomados en conjunto, tienen el periodo más largo de producción, ya que son la etapa final de todo proceso productivo. De manera que si el primer impulso hacia el alza de la demanda efectiva viene de un crecimiento del consumo, la elasticidad inicial de ocupación estará más abajo de su nivel eventual de equilibrio que si proviene de un aumento en la inversión. Además, si la demanda acrecentada se dirige a los productos que tienen elasticidad relativamente baja de ocupación, una proporción mayor de la misma irá a acrecentar los ingresos de los empresarios y otra menor la de quienes perciben salarios y otros componentes del costo primo; siendo posible que las repercusiones sean algo menos favorables al gasto, debido a la probabilidad de que los empresarios ahorren una parte mayor de su incremento de ingresos de la que ahorrarían los asalariados. Sin embargo, la distinción entre los dos casos no debe exagerarse, ya que la mayor parte de las reacciones serán muy semejantes en ambos.[123]

Por mucha que sea la anticipación con que se dé aviso a los empresarios de un probable cambio en la demanda no es posible que la elasticidad inicial de ocupación, a consecuencia de un aumento dado en la inversión, sea de la misma magnitud que su valor eventual de equilibrio, a menos, que haya excedentes de existencias y exceso de capacidad en cada etapa de la producción. Por otra parte, el agotamiento de los excedentes de existencias tendrá efecto compensador sobre la magnitud de crecimiento de la inversión. Si suponemos que hay algún excedente inicial en todos los sectores, la elasticidad inicial de ocupación puede aproximarse a la unidad; entonces, después de que las existencias hayan sido absorbidas, pero antes de que se presente un aumento adecuado en la oferta, procedente de las primeras etapas de la producción, la elasticidad se debilitará; subiendo de nuevo hasta cerca de la unidad cuando nos aproximemos a la nueva posición de equilibrio. Esto está sujeto, sin embargo, a ciertas limitaciones en la medida en que haya factores de renta que absorban más gasto cuando crece la ocupación, o si la tasa de interés aumenta. Por estas razones es imposible una estabilidad perfecta de los precios en una economía sujeta a cambios —a menos que, por supuesto, haya algún mecanismo peculiar que asegure, precisamente en proporción conveniente, las fluctuaciones transitorias de la propensión a consumir—. Pero la inestabilidad de los precios originada de este modo no conduce a esa clase de estímulo de ganancia que puede originar un excedente de capacidad; porque las ganancias inesperadas irán a parar por completo a aquellos empresarios que posean productos en una etapa relativamente adelantada de producción, y el empresario que no posee recursos especializados del tipo apropiado no puede hacer nada para atraer hacia sí dicha ganancia. De este modo, la inevitable inestabilidad de los precios debida a variaciones no puede afectar a los actos de los empresarios, sino que meramente dirige una riqueza de facto inesperada a las manos de la gente con suerte (mutatis mutandis cuando el cambio supuesto ocurre en sentido contrario). A mi modo de ver, en algunas discusiones contemporáneas sobre una política práctica orientada a estabilizar los precios, se ha olvidado este hecho. Es verdad que en una sociedad propensa a cambiar, tal política no puede tener un éxito completo; pero de esto no se deduce que toda pequeña desviación transitoria respecto de la estabilidad de precios origine necesariamente un desequilibrio acumulativo.

III

Hemos demostrado que cuando la demanda efectiva es deficiente existe subempleo de mano de obra en el sentido de que hay hombres desocupados dispuestos a trabajar por un salario real menor del existente. En consecuencia, a medida que la demanda efectiva aumenta, la ocupación sube, aunque a un salario real igual o menor al existente, hasta el momento en que no haya excedente de mano de obra disponible al salario que rija en ese momento, es decir, no hay más hombres (u horas de trabajo) disponibles a menos que los salarios nominales suban (a partir de este límite) más de prisa que los precios. El siguiente problema es considerar qué sucederá si, cuando se llegue a esta situación, sigue aumentando el gasto.

Hasta este momento, el rendimiento decreciente, ocasionado por el hecho de aplicar más trabajo a un equipo dado de producción, ha sido neutralizado por la aquiescencia de la mano de obra a ver reducido su salario real. Pero a partir de este punto, una unidad de trabajo requeriría el estímulo del equivalente de una cantidad mayor de producto, siendo así que el resultado de aplicar una nueva unidad consistiría en una cantidad menor de producto. Las condiciones de equilibrio estricto requieren, por tanto, que los salarios y los precios, y, en consecuencia, también las utilidades, suban todos en la misma proporción que el gasto, sin que la posición “real”, incluyendo el volumen de la producción y de la ocupación, sufran el más pequeño cambio por ningún concepto. Es decir, hemos llegado a una situación en la cual la teoría cuantitativa del dinero en su forma rudimentaria (interpretando la “velocidad” como “velocidad-ingreso”) se satisface por completo; porque la producción no se altera y los precios suben en proporción exacta a MV.

Sin embargo, esta conclusión tiene ciertas limitaciones prácticas , que deben recordarse al aplicarla a un caso real:

1) Por cierto tiempo, al menos, los precios crecientes pueden alucinar a los empresarios de manera que aumenten la ocupación más allá del nivel que lleva al máximo sus ganancias individuales, medidas en términos del producto; porque están tan acostumbrados a considerar el crecimiento del importe de las ventas en dinero como una señal de expansión de la producción, que pueden continuar considerándolo así cuando esta política haya dejado de convenirles de hecho, es decir, que pueden subestimar su costo marginal de uso en el nuevo ambiente de precios.

2) Desde el momento en que esa parte de la ganancia que el empresario se ve forzado a pasar al rentista es fija en términos monetarios, el alza de los precios, aun cuando no esté acompañada por ningún cambio en la producción, redistribuirá los ingresos de modo favorable al empresario y desventajosamente para el rentista, lo que puede tener cierta reacción sobre la propensión a consumir. Éste, sin embargo, no es un proceso que comience sólo cuando se ha alcanzado la ocupación plena —habrá estado haciendo progresos firmes durante todo el tiempo que el gasto iba aumentando—. Si el rentista está menos inclinado a gastar que el empresario, la disminución gradual del ingreso real del primero querrá decir que la ocupación plena se alcanzará con un aumento más pequeño en la cantidad de dinero y menor reducción en la tasa de interés que en el caso de la hipótesis opuesta. Después que se ha alcanzado la ocupación plena, un nuevo aumento de los precios significará, si sigue siendo válida la primera hipótesis, que la tasa de interés habrá de elevarse algo para evitar que los precios sigan subiendo indefinidamente, y que el aumento en la cantidad de dinero será menos que proporcional al del gasto; en tanto que si se cumple la segunda, ocurrirá lo contrario. Puede suceder que, al ir disminuyendo el ingreso real del rentista, llegue un momento en que se presente un viraje de la primera hipótesis a la segunda, a resultas de su creciente empobrecimiento relativo, momento que puede alcanzarse ya sea antes o después de haber llegado a la ocupación plena.

IV

Quizá haya algo raro en la aparente asimetría de la inflación y la deflación; porque mientras una deflación de la demanda efectiva, por bajo del nivel requerido para la ocupación plena, hará bajar la ocupación y los precios, una inflación de la misma por encima de este nivel afectará sólo a los precios. Esta asimetría es, sin embargo, meramente un reflejo del hecho de que, mientras la mano de obra puede rehusarse siempre a trabajar con una intensidad que signifique un salario real inferior a la desutilidad marginal de ese volumen de ocupación, no está en actitud de reclamar que se le ofrezca trabajo en magnitud tal que comporte un salario real que no exceda de la desutilidad marginal correspondiente a ese volumen de ocupación.

 


 * 

CAPÍTULO 21

LA TEORÍA DE LOS PRECIOS

I

MIENTRAS LOS ECONOMISTAS SE OCUPAN de lo que se llama teoría del valor han acostumbrado enseñar que los precios están regidos por las condiciones de la oferta y la demanda; habiendo desempeñado papel prominente, en particular, los cambios en el costo marginal y en la elasticidad de oferta en periodos cortos. Pero cuando pasan, en el Libro II, o más frecuentemente en otra obra, a la teoría del dinero y de los precios, ya no oímos hablar más de estos conceptos familiares pero inteligibles y nos trasladamos a un mundo en donde los precios están gobernados por la cantidad de dinero, por su velocidad-ingreso, por la velocidad de circulación relativamente al volumen de transacciones, por el atesoramiento, por el ahorro forzado, por la inflación y la deflación et hoc genus omne; y se hace muy poco esfuerzo, o bien ninguno, para ligar estas frases más vagas con nuestras ideas anteriores de las elasticidades de oferta y demanda. Si reflexionamos sobre lo que se nos ha enseñado y tratamos de racionalizarlo, en los estudios más sencillos parece que la elasticidad de oferta debe haber llegado a cero y la demanda a ser proporcional a la cantidad de dinero; mientras que en los estudios más elevados nos encontramos perdidos en una niebla donde no hay nada claro y todo es posible. Todos estamos acostumbrados a colocarnos algunas veces a un lado de la luna y otras en el contrario, sin saber qué ruta o trayecto los une; están vinculados, al parecer, como nuestra vigilia a nuestros sueños.

Uno de los objetos de los capítulos anteriores ha sido escapar de esta doble vida y poner la teoría de los precios, en conjunto, en contacto íntimo con la teoría del valor. La división de la economía en teoría del valor y la distribución por una parte y teoría del dinero por la otra, es, en mi opinión, una separación falsa. Sugiero que la dicotomía correcta es entre la teoría de la industria o firma individual y las remuneraciones y distribución de una cantidad dada de recursos entre diversos usos por una parte y la teoría de la producción y la ocupación en conjunto por la otra. Es verdad que mientras nos limitemos al estudio de la industria o forma individual, suponiendo que la cantidad total de recursos empleados es constante y, provisionalmente, que las condiciones de otras industrias o firmas no han cambiado, no nos estaremos refiriendo a las características importantes del dinero. Pero tan pronto como pasamos al problema de lo que determina la producción y la ocupación en conjunto, necesitamos la teoría completa de una economía monetaria.

O quizá pudiéramos trazar nuestra línea divisoria entre la teoría del equilibrio estacionario y la teoría del equilibrio móvil —queriendo decir con ésto la de un sistema en que los puntos de vista cambiantes acerca del futuro son capaces de influir en la situación presente—. Porque la importancia del dinero surge esencialmente de que es un eslabón entre el presente y el futuro. Podemos considerar qué distribución de recursos entre los diferentes usos será compatible con el equilibrio, bajo la influencia de los motivos económicos normales en un mundo en que nuestras opiniones relativas al futuro son estables y dignas de confianza por todos conceptos —quizá con una división más entre una economía que no cambia y otra que está sujeta a variar, pero en la que todas las cosas se prevén desde el principio—. O podemos pasar de esta propedéutica simplificada a los problemas del mundo real, en el que nuestras previsiones anteriores pueden quedar fallidas , y las expectativas relativas al futuro afectar lo que hacemos en la actualidad. Sólo cuando hayamos realizado esta transición deben entrar en nuestros cálculos las propiedades peculiares del dinero como un eslabón entre el presente y el futuro. Pero aunque la teoría del equilibrio móvil debe seguirse necesariamente en términos de una economía monetaria, sigue siendo una teoría del valor y de la distribución y no una “teoría del dinero” autónoma. El dinero en sus atributos importantes es, sobre todo, un artificio sutil para ligar el presente con el futuro; y no podemos siquiera empezar a examinar el efecto de las expectativas cambiantes sobre las actividades corrientes, excepto en términos monetarios. No podemos librarnos del dinero aun cuando aboliéramos el oro, la plata y los instrumentos de moneda corriente. Mientras exista algún bien durable, éste podrá poseer los atributos monetarios1[124] y, por tanto, dar origen a los problemas característicos de una economía monetaria.

II

El nivel particular de precios en una rama industrial concreta depende, en parte, de la tasa de remuneración de los factores productivos que entran en su costo marginal y, en parte, de la escala de producción. No hay motivo para modificar esta conclusión cuando pasamos a la industria en conjunto. El nivel general de precios depende, en parte, de la tasa de remuneración de los factores productivos que entran en el costo marginal y, en parte, de la escala de producción como un todo, es decir (considerando conocidos el equipo y la técnica), del volumen de ocupación. Es verdad que, cuando pasamos a la producción como un todo, el costo de la misma, para cualquier industria, depende parcialmente de la producción de las demás; pero la variación más importante de la que no hemos hecho caso es el efecto, tanto sobre los costos como sobre el volumen, de los cambios en la demanda. Es en el lado de la demanda donde tenemos que introducir ideas completamente nuevas cuando nos ocupamos de la demanda en conjunto y ya no más de la de un producto aislado, considerado separadamente, suponiendo invariable la demanda total.

III

Si nos tomamos la libertad de simplificar, suponiendo que los tipos de remuneración de los diferentes factores productivos que entran en el costo marginal cambian todos en la misma proporción, es decir, en la misma que la unidad de salarios, se deduce que el nivel general de precios (considerando conocidos la técnica y el equipo) depende, en parte, de la unidad de salarios y, en parte, del volumen de ocupación. De aquí que el efecto de los cambios en la cantidad de dinero sobre el nivel de precios pueda considerarse como compuesto del efecto que ejerce sobre la unidad de salarios y del que tiene sobre la ocupación. Para aclarar las ideas que esto entraña, simplifiquemos nuestras suposiciones todavía más y supongamos 1) que todos los recursos sin ocupación son homogéneos o intercambiables en su eficacia para producir lo que se requiera y 2) que los factores de la producción que entran en el costo marginal se conforman con el mismo salario nominal en tanto haya un excedente de los mismos sin ocupación. En este caso tendremos rendimientos constantes y una unidad rígida de salarios, mientras exista la más pequeña desocupación. Se deduce de esto que un aumento en la cantidad de dinero no tendrá el menor efecto sobre los precios mientras haya alguna desocupación, y que la ocupación subirá exactamente en proporción a cualquier aumento de la demanda efectiva producida por la elevación de la cantidad de dinero; mientras que, tan pronto como se alcance la ocupación plena, la unidad de salarios y los precios serán los que crecerán en proporción exacta al aumento de la demanda efectiva. De este modo, si hay elasticidad perfecta de la oferta en tanto haya desocupación, y perfecta inelasticidad de la misma tan pronto como se alcanza la ocupación completa, y si la demanda efectiva cambia en la misma proporción que la cantidad de dinero, la teoría cuantitativa del dinero puede enunciarse como sigue: “Mientras haya desocupación, la ocupación cambiará proporcionalmente a la cantidad de dinero; y cuando se llegue a la ocupación plena, los precios variarán en la misma proporción que la cantidad de dinero.”

Sin embargo, habiendo satisfecho la tradición al introducir un número suficiente de supuestos simplificados para permitirnos enunciar una teoría cuantitativa del dinero, consideremos ahora las posibles complicaciones que de hecho influirán sobre los acontecimientos:

1) La demanda efectiva no cambiará en proporción exacta a la cantidad de dinero. 2) Desde el momento que los recursos no son homogéneos, habrá rendimientos decrecientes, y no constantes, a medida que la ocupación aumente gradualmente.

3) Como los recursos no son intercambiables, algunos bienes alcanzarán una condición de inelasticidad en la oferta a pesar de haber recursos sin empleo disponibles para la producción de otros bienes.

4) La unidad de salarios tenderá a subir antes de que se haya alcanzado la ocupación plena.

5) Las remuneraciones de los factores que entran en el costo marginal no cambiarán todas en la misma proporción.

Por consiguiente, debemos considerar en primer lugar el efecto de los cambios en la cantidad de dinero sobre la magnitud de la demanda efectiva; y el crecimiento de ésta irá, en términos generales, a aumentar la cantidad de ocupación y a elevar el nivel de precios. Así, en vez de que los precios permanezcan constantes mientras haya desocupación y de que los precios crezcan, relativamente a la cantidad de dinero, cuando exista ocupación plena, tendremos, de hecho, una situación en que los precios ascienden gradualmente a medida que la ocupación crece. Es decir, que la teoría de los precios, o sea el análisis de la relación entre los cambios en la cantidad de dinero y los del nivel de precios, con el fin de determinar la elasticidad de estos últimos en respuesta a las modificaciones en la cantidad de dinero, debe, por tanto, dirigirse a los cinco factores de complicación mencionados antes. Los examinaremos por turno. Pero no debe permitirse que este procedimiento nos lleve al supuesto de que son independientes, hablando en sentido estricto. Por ejemplo, la proporción en que se dividen los efectos de un crecimiento de la demanda efectiva entre el alza de la producción y la de los precios, puede afectar la forma en que la cantidad de dinero se relaciona con la magnitud de la demanda efectiva. O, nuevamente, las diferencias en las proporciones en que cambian las remuneraciones de los diferentes factores pueden influir sobre la relación entre la cantidad de dinero y la magnitud de la demanda efectiva. El objetivo de nuestro análisis no es proveer un mecanismo o método de manipulación ciega que nos dé una respuesta infalible, sino dotarnos de un método organizado y ordenado de razonar sobre problemas concretos; y, después que hayamos alcanzado una conclusión provisional, aislando los factores de complicación uno a uno, tendremos que volver sobre nuestros pasos y tener en cuenta, lo mejor que podamos, las probables interacciones de dichos factores. Ésta es la naturaleza del pensamiento económico. Cualquier otro modo de aplicar nuestros principios formales de pensamiento (sin los que, no obstante, estaremos perdidos en el bosque) nos llevará a error. Una falla importante de los métodos pseudo-matemáticos simbólicos de dar forma a un sistema de análisis económico, tal como indicaremos en la sección VI de este capítulo, es el hecho de suponer de manera expresa una independencia estricta de los factores que entran en juego, y que dichos métodos pierden toda su fuerza lógica y su autoridad si se rechaza esta hipótesis; mientras que, en el razonamiento ordinario, donde no se manipula a ciegas, sino que se sabe en todo momento lo que se está haciendo y lo que las palabras significan, podemos conservar “en el fondo de nuestra mente” las necesarias reservas y limitaciones y las correcciones que tendremos que hacer después, de un modo en el que no podemos retener diferenciales parciales complicadas “al reverso” de algunas páginas de álgebra, que suponen el desvanecimiento de todas ellas. Una parte demasiado grande de la economía “matemática” reciente es una simple mixtura, tan imprecisa como los supuestos originales que la sustentan, que permite al autor perder de vista las complejidades e interdependencias del mundo real en un laberinto de símbolos pretenciosos e inútiles.

IV

1) El efecto primario de un cambio en la cantidad de dinero sobre el volumen de la demanda efectiva se ejerce a través de su influencia sobre la tasa de interés. Si ésta fuese la única reacción, el efecto cuantitativo podría derivarse de tres elementos: a) la curva de preferencia por la liquidez, que nos indica en qué cuantía tendrá que bajar la tasa de interés para que el nuevo dinero pueda ser absorbido por poseedores inclinados a recibirlo; b) la curva de las eficiencias marginales, que nos dice en cuánto aumentará la inversión a consecuencia de una baja dada en la tasa de interés, y c) el multiplicador de inversión, que nos ilustra sobre cuánto subirá la demanda efectiva, en conjunto, con un aumento dado en la inversión.

Pero aunque este análisis sea valioso por introducir orden y método en nuestra investigación, presenta una simplicidad engañosa si olvidamos que a), b) y c) son también parte integrante de los elementos de complicación 2), 3), 4) y 5), que todavía no hemos tomado en cuenta; porque la curva misma de preferencia por la liquidez depende de la cantidad del nuevo dinero que sea absorbida por la circulación de productos y de ingresos, que a su vez depende de la proporción en que crece la demanda efectiva y de cómo se divide el aumento entre la respectiva alza de precios, de salarios, y el volumen de producción y de ocupación. Más todavía, la curva de las eficiencias marginales dependerá parcialmente del efecto que tengan las circunstancias concomitantes al aumento en la cantidad de dinero sobre las previsiones respecto a las futuras probabilidades de la situación monetaria. Y, finalmente, el multiplicador estará influido por el modo en que se distribuya el nuevo ingreso resultante del aumento de la demanda efectiva entre las diferentes clases de consumidores. Tampoco, por supuesto, es completa esta lista de interacciones. Sin embargo, si tenemos presentes todos los hechos, tendremos suficientes ecuaciones simultáneas para obtener un resultado determinado. Habrá un volumen concreto de crecimiento en la magnitud de la demanda efectiva que, después de tomar todo en cuenta, corresponderá al aumento de la cantidad de dinero y estará en equilibrio con él. Además, sólo en circunstancias muy excepcionales ocurre que un aumento en la cantidad de dinero irá asociado con una disminución en la magnitud de la demanda efectiva.

La proporción entre el volumen de demanda efectiva y la cantidad de dinero corresponde muy de cerca a lo que a menudo se llama la “velocidad-ingreso del dinero”, salvo que la demanda efectiva corresponde a aquel ingreso que ha sido previsto y que puso en marcha la producción, no al que realmente se percibe, y al ingreso bruto, no al neto. Pero la “velocidad-ingreso del dinero” es, en sí misma, simplemente un nombre que nada explica. No hay razón para esperar que sea constante; porque depende, como se ha visto por el estudio anterior, de muchos factores variables y complejos. El uso de este término obscurece, en mi opinión, el carácter real de la causación y sólo ha conducido a confusiones.

2) Como hemos visto antes (p. 69), la distinción entre los rendimientos decrecientes y los constantes depende, en parte, de si los trabajadores son remunerados en proporción estricta a su eficacia. De ser así, tendremos costos de trabajo constantes (en unidades de salarios) cuando el empleo crece. Pero si el salario de cierta clase de trabajadores es uniforme, independientemente de la eficacia de los individuos, tendremos costos de trabajo crecientes, cualquiera que sea la eficiencia del equipo. Además, si éste no es homogéneo y alguna parte de él supone un costo primo mayor por unidad de producción, tendremos costos primos marginales en ascenso para cualquier aumento debido a los costos crecientes del trabajo. De aquí que, por lo general, el precio de oferta suba a medida que la producción de un equipo determinado sea mayor. Así, el aumento de la producción irá seguido de un alza de precios, aparte de cualquier cambio en la unidad de salarios.

3) En el párrafo 2) consideramos la posibilidad de que la oferta fuese imperfectamente elástica. Si hay un equilibrio perfecto en las cantidades relativas de recursos especializados que no se usan, todos ellos alcanzarán simultáneamente el estado de ocupación plena. Pero, por lo general, la demanda de algunos servicios y bienes alcanzará un nivel, más allá del cual la oferta es, por lo pronto, perfectamente inelástica; aunque en otras direcciones todavía queden excedentes importantes de recursos sin empleo. Así, al aumentar la producción, se llegará sucesivamente a una serie de “embotellamientos” (bottle-necks) en los que la oferta de determinados bienes deja de ser elástica y sus precios tienen que subir al nivel necesario, cualquiera que sea, para desviar la demanda en otras direcciones.

Es probable que el nivel general de precios no suba mucho cuando la producción crece, mientras se disponga de recursos eficaces de todas clases sin ocupación. Pero tan pronto como la producción haya subido lo suficiente para empezar a alcanzar “embotellamientos”, es probable que ocurra un alza violenta en los precios de ciertas mercancías.

Sin embargo, en lo aquí tratado, así como en lo dicho en el párrafo 2), la elasticidad de oferta depende en parte del transcurso del tiempo. Si suponemos un intervalo suficiente para que cambie la cantidad de equipo, las elasticidades de oferta serán eventualmente mayores de manera decidida. Así, un cambio moderado en la demanda efectiva que se presente en circunstancias de amplia desocupación puede influir muy poco en elevar los precios y mucho en aumentar la ocupación; en tanto que otro más considerable que, siendo imprevisto, haga que se alcancen algunos “embotellamientos” temporales, se agotará en el aumento de precios, no de la ocupación, en mayor proporción al principio que después.

4) El hecho de que la unidad de salarios puede propender a subir antes de llegar a la ocupación plena requiere pocos comentarios o explicación. Desde el momento en que cada grupo de trabajadores saldrá ganando, ceteris paribus, con un alza en sus propios salarios, hay, naturalmente, una presión en este sentido para todos los grupos, a la que los empresarios estarán más dispuestos a aceptar cuando estén haciendo mejores negocios. Por este motivo, es probable que una parte de cualquier aumento en la demanda efectiva será absorbida al satisfacer la tendencia ascendente de la unidad de salarios.

En esta forma, además del nivel crítico final de la ocupación plena, en el cual los salarios nominales tienen que subir, en la misma proporción que el alza en los precios de los artículos para asalariados, en respuesta a un aumento de la demanda efectiva en unidades monetarias, tendremos una sucesión de puntos semicríticos anteriores, en los cuales un crecimiento de la demanda efectiva tiende a elevar los salarios nominales, aunque no en proporción exacta al alza en el precio de los artículos para asalariados, e igual ocurre en el caso de una demanda efectiva decreciente. En la realidad, la unidad de salarios no cambia de una manera uniforme en términos monetarios, en respuesta a cada cambio pequeño en la demanda efectiva, sino a saltos. Estos trazos de discontinuidad están determinados por la psicología de los trabajadores y por la política de los patronos y los sindicatos obreros. Tratándose de un sistema abierto, en el que esta discontinuidad significa un cambio en relación con los costos de salarios en alguna otra parte, y en el ciclo económico, donde aún en un sistema cerrado puede significar un cambio en relación con los costos de salarios esperados para el futuro, es posible que sean de considerable importancia práctica. Podría creerse que, desde cierto punto de vista, estos trazos discontinuos, en los que un aumento posterior de la demanda efectiva en términos de dinero puede ocasionar un alza discontinua en la unidad de salarios, con posiciones de semi-inflación que tienen cierta analogía (aunque muy imperfecta) con la inflación absoluta (cf. p. sig.) que aparece con un aumento en la demanda efectiva en circunstancias de ocupación plena. Tienen, además mucha importancia histórica; pero no se prestan con facilidad a generalizaciones teóricas.

5) Nuestra primera simplificación consistió en suponer que las remuneraciones de los diversos factores que entran en el costo marginal varían todas en la misma proporción; pero de hecho los tipos nominales de remuneración de los diferentes factores mostrarán grados variables de rigidez y pueden también tener elasticidades de oferta desiguales en respuesta a cambios en las remuneraciones monetarias ofrecidas. Si no fuera por esto, podríamos decir que el nivel de precios se compone de dos factores: la unidad de salarios y el volumen de ocupación.

Quizá el elemento más importante en el costo marginal, que tiene probabilidades de cambiar en proporción diferente de la unidad de salarios, y también de fluctuar dentro de límites mucho más amplios, es el costo marginal de uso, porque éste puede subir violentamente cuando la ocupación empieza a mejorar, si (como probablemente ocurrirá) la demanda efectiva creciente ocasiona un cambio rápido en las expectativas que prevalecen respecto a la fecha en que será necesario reponer el equipo.

Si bien para muchos fines es muy útil, como primera aproximación, suponer que las retribuciones de todos los factores que entran en el costo primo marginal varían en la misma proporción que la unidad de salarios, podría ser mejor, quizá, tomar un promedio ponderado de las remuneraciones de los factores que entran en el costo primo marginal y llamarlo la unidad de costos. La unidad de costos, o bien, sujeta a la aproximación anterior, la unidad de salarios, puede considerarse así como el patrón esencial de valor; y el nivel de precios, dado el estado de la técnica y el equipo, dependerá en parte de la unidad de costos y en parte de la escala de producción, aumentando, cuando sube la producción, más que proporcionalmente a cualquier alza en la unidad de costos, de acuerdo con el principio de los rendimientos decrecientes en periodos cortos. Tenemos ocupación plena cuando la producción ha subido a un nivel tal que el rendimiento marginal de una unidad representativa de los factores de la producción ha bajado a la cifra mínima con la cual hay disponible una cantidad suficiente de factores para lograr esta producción.

V

Cuando un nuevo crecimiento en el volumen de demanda efectiva no produce ya un aumento más en la producción y se traduce sólo en un alza de la unidad de costos, en proporción exacta al fortalecimiento de la demanda efectiva, hemos alcanzado un estado que podría designarse apropiadamente como de inflación auténtica. Hasta alcanzar este punto, el efecto de la expansión monetaria es completamente cuestión de grado y no hay momento previo en el cual podamos trazar una línea definida y declarar que las condiciones de inflación están operando. Es probable que cada aumento anterior en la cantidad de dinero, en la medida que hace subir la demanda efectiva, se traduzca parte en una elevación de la unidad de costos y parte en un aumento de la producción.

Parece, por tanto, que tenemos cierta clase de asimetría a ambos lados del nivel crítico en que se presenta la inflación, porque una contracción de la demanda efectiva por debajo de ese nivel reducirá la magnitud de ésta, medida en unidades de costo; mientras que una expansión de la demanda efectiva por encima de él no tendrá, por lo general, el efecto de aumentarla en términos de unidades de costo. Este resultado es consecuencia del supuesto de que los factores de la producción, y en particular los trabajadores, están dispuestos a resistirse a una reducción en sus remuneraciones monetarias, y que no hay motivo correspondiente para oponerse a un aumento de éstas. Tal supuesto está evidentemente bien fundado en los hechos, debido a la circunstancia de que un cambio que no sea general resulta benéfico a los factores especiales afectados cuando opera en sentido ascendente, y dañoso cuando lo hace hacia abajo.

Si, por el contrario, los salarios nominales bajaran sin límite siempre que hubiese una tendencia hacia un nivel inferior al de la ocupación plena no cabe duda que la asimetría desaparecería. Pero en ese caso no habría ningún límite inferior por debajo de la ocupación plena hasta que la tasa de interés fuese incapaz de bajar más o que los salarios llegaran a cero. De hecho debemos tener algún factor cuyo valor en dinero es, si no fijo, por lo menos rígido, para que nos dé alguna estabilidad de valores en un sistema monetario.

La opinión de que cualquier aumento en la cantidad de dinero es inflacionista (a menos que por inflacionista queramos decir solamente que los precios están subiendo) está ligado con el supuesto básico de la teoría clásica de que siempre nos encontramos en circunstancias tales que una baja en las remuneraciones reales de los factores productivos conducirá a una contracción de su oferta.

VI

Con ayuda de las anotaciones hechas en el capítulo 20, podemos, si así lo deseamos, expresar en forma simbólica lo más sustancioso de lo antes dicho.

Escribamos MV = D, donde M es la cantidad de dinero, V su velocidad-ingreso (esta definición difiere de la usual en los pequeños detalles indicados antes) y D la demanda efectiva. Si entonces V es constante, los precios cambiarán en la misma proporción que la cantidad de dinero, a condición de que

sea igual a la unidad. Esta condición se satisface (véase pp. 275-276) si es = φ ó es = 1. La condición es = 1 significa que la unidad de salarios, expresada en dinero, sube en la misma proporción que la demanda efectiva, desde el momento que

y la condición eo = O quiere decir que la producción ya no presenta reacción alguna a un aumento más en la demanda efectiva, ya que

 La producción, en cualquier caso, permanecerá invariable.

Podemos ocuparnos a continuación del caso en que la velocidad-ingreso no es constante, introduciendo todavía una nueva elasticidad, a saber, la elasticidad de la demanda efectiva ante los cambios en la cantidad de dinero

Esto nos da

de manera que

en donde e sin sufijo  

indica la cúspide de esta pirámide y mide la reacción de los precios nominales ante los cambios en la cantidad de dinero.

Desde el momento que esta última fórmula nos da la proporción en que varían los precios en respuesta al cambio en la cantidad de dinero, puede considerarse como una forma generalizada de la teoría cuantitativa del dinero. Personalmente no doy mucho valor a las manipulaciones de esta clase, y repetiría la advertencia que hice antes de que implican tantos supuestos tácitos respecto a qué variables se consideran independientes (olvidando las diferenciales parciales por completo) como se hacen en el razonamiento ordinario, y al mismo tiempo dudo que puedan llevarnos más lejos que este último. Quizá el mejor servicio que puede proporcionarnos el hecho de escribirlas sea el poner de manifiesto la gran complejidad de la relación entre los precios y la cantidad de dinero, cuando intentamos expresarla de manera formal. Vale la pena, sin embargo, llamar la atención sobre que, de los cuatro términos ed, es, ee y eo, de que depende el efecto de los cambios en la cantidad de dinero sobre los precios, ed indica los factores de liquidez que determinan la demanda de dinero en cada situación, es los elementos de trabajo (o, más estrictamente, los que entran en el costo primo) que determinan la amplitud de la elevación de los salarios nominales al aumentar la ocupación, y ee y eo los factores físicos que determinan la tasa de los rendimientos decrecientes cuando se aplica más trabajo al equipo existente.

Si el público conserva una proporción constante de sus ingresos en dinero, ed = 1; si los salarios monetarios son fijos, es = φ; si hay rendimientos constantes en general, de manera que el rendimiento marginal iguale al rendimiento medio, ee eo = 1; y si hay ocupación plena, ya sea de mano de obra o de equipo, ee eo = o.

Ahora bien, e = 1 si ed = 1 y es = 1; ó si ed = 1, es = o y ee eo = o; o si ed = 1 y eo = φ. Y evidentemente hay una variedad de otros casos especiales en los cuales e = 1. Pero, en general, e no iguala la unidad; y quizá no haya inconveniente en hacer la generalización de que, según supuestos lógicos relativos al mundo real, y excluyendo el caso de una “huída del dinero” en el cual ed y es llegan a ser grandes, e es, por regla general, menor que la unidad.

VII

Hasta ahora nos hemos ocupado primordialmente de la forma en que los cambios en la cantidad de dinero afectan los precios a la corta. Pero ¿no hay a la larga una relación más sencilla?

Éste es un problema que se presta más a la generalización histórica que a la teoría pura. Si existe alguna tendencia a medir la uniformidad a largo plazo de la curva de preferencia por la liquidez, igual puede haber alguna relación tosca entre el ingreso nacional y la cantidad de dinero necesaria para satisfacer dicha preferencia, tomada como término medio de los periodos de pesimismo y optimismo en conjunto. Por ejemplo, es posible que la gente no conserve en periodos largos en forma de saldos ociosos una suma superior a una proporción bastante estable del ingreso nacional, a condición de que la tasa de interés exceda de cierto mínimo psicológico; de modo que si la cantidad de dinero que sobrepasa la requerida para la circulación activa excede esta proporción nacional, habrá, tarde o temprano, una tendencia de la tasa de interés a bajar aproximadamente hasta dicho mínimo. La tasa de interés descendente aumentará entonces, ceteris paribus, la demanda efectiva, y la creciente demanda efectiva alcanzará uno o más de los niveles semicríticos, en los cuales la unidad de salarios tenderá a mostrar un alza discontinua, con el efecto correspondiente sobre los precios. Entrarán en juego las tendencias opuestas si la cantidad de dinero excedente es una proporción anormalmente baja del ingreso nacional. Así, el efecto neto de las fluctuaciones en un periodo será el de establecer una cifra promedio, de acuerdo con la proporción estable entre el ingreso nacional y la cantidad de dinero hacia la que la psicología del público tiende tarde o temprano a volver los ojos.

Estas tendencias actuarán probablemente con menos tropiezos en sentido ascendente que en el descendente; pero si la cantidad de dinero sigue siendo muy escasa por largo tiempo, la solución se hallará normalmente en el cambio del patrón o del sistema monetario, de manera que se eleve la cantidad de dinero, más bien que obligando a la unidad de salarios a bajar y, por tanto, aumentando la carga de las deudas. De este modo, la dirección que han seguido los movimientos de precios en periodos muy largos ha sido casi siempre ascendente; porque cuando el dinero es relativamente abundante, la unidad de salarios sube; y cuando es relativamente escaso, se encuentra algún medio de aumentar la cantidad efectiva del mismo.

Parece que durante el siglo XIX el aumento de la población y de los inventos, la explotación de nuevas tierras, el estado de la confianza y la frecuencia de las guerras en el promedio de (digamos) cada década, junto con la propensión a consumir, parecen haber sido suficientes para establecer una curva tal de eficiencia marginal del capital que permitió un nivel medio de ocupación lo bastante satisfactorio para ser compatible con una tasa de interés lo suficientemente alta para ser psicológicamente aceptable para los propietarios de la riqueza. Hay pruebas de que durante un periodo de casi ciento cincuenta años la tasa típica de interés a largo plazo en los principales centros financieros fue del 5 por ciento más o menos, y la de los valores de primera clase, entre 3 y 3½ por ciento; y que estas tasas de interés eran lo bastante modestas para estimular una tasa de inversión compatible con un promedio de ocupación que no era intolerablemente bajo. Algunas veces la unidad de salarios, pero con más frecuencia el patrón o el sistema monetario (particularmente a través del desarrollo del dinero bancario) se ajustaban en forma de asegurar que la cantidad de dinero en unidades de salarios fuera suficiente para satisfacer la preferencia normal por la liquidez a tasas de interés que rara vez eran muy inferiores a las normales indicadas antes. En general, la tendencia de la unidad de salarios, era, como de costumbre, firmemente ascendente, pero la eficacia del trabajo también iba en aumento. Así, el equilibrio de fuerzas era tal que permitía un grado razonable de estabilidad en los precios —el más alto promedio quinquenal de los números índices de Sauerberck entre 1820 y 1914 fue solamente 50 por ciento mayor que el más bajo. Esto no fue accidental; se describe con razón como debido a un equilibrio de fuerzas en una época en que los grupos individuales de patrones eran lo bastante fuertes para evitar que la unidad de salarios subiera mucho más de prisa que la eficacia de la producción y cuando los sistemas monetarios eran al mismo tiempo lo bastante fluidos y suficientemente conservadores para proporcionar un promedio de abastecimiento de dinero en unidades de salarios, que permitiera prevalecer al promedio mínimo de la tasa de interés fácilmente aceptable para los propietarios de la riqueza, bajo la influencia de sus preferencias por la liquidez. El nivel medio de ocupación era, por supuesto, sustancialmente inferior al de ocupación plena, pero no tan intolerablemente por debajo del mismo que provocara cambios revolucionarios.

Hoy, y probablemente en el futuro, la curva de la eficiencia marginal del capital se encuentra, por variadas razones, muy por debajo de lo que era el siglo XIX. La agudeza y la peculiaridad de nuestros problemas deriva de la posibilidad de que la tasa media de interés que permitirá un nivel medio razonable de ocupación es tan inaceptable para los propietarios de riqueza, que no puede establecerse fácilmente por medio de simples manipulaciones de la cantidad de dinero. Incluso el siglo XIX podría encontrar un camino, siempre que se pudiera alcanzar un nivel medio tolerable de ocupación durante una, dos o tres décadas, simplemente asegurando una oferta adecuada de dinero en unidades de salarios. Si este fuera nuestro único problema en la actualidad —si todo lo que necesitamos fuera un grado suficiente de devaluación—, no cabe duda de que encontraríamos hoy una solución.

Pero el elemento más estable, y el menos fácil de desplazar en nuestra economía contemporánea ha sido hasta ahora, y puede serlo en el futuro, la tasa mínima de interés aceptable por la generalidad de los propietarios de la riqueza.[125] Si un nivel tolerable de ocupación requiere una tasa de interés muy inferior a las tasas promedio que regían en el siglo XIX, es muy dudoso que pueda alcanzarse simplemente por medio de manipulaciones en la cantidad de dinero. Del porciento de ganancia, que la curva de la eficiencia marginal del capital permite al deudor esperar ganar, tiene que deducirse 1) el costo de poner en contacto a prestamistas y prestatarios, 2) el impuesto sobre el ingreso y los impuestos adicionales y 3) el margen que el prestamista requiere para cubrir su riesgo e incertidumbre, antes de llegar al rendimiento neto disponible para tentar al propietario de riqueza a sacrificar su liquidez. En condiciones de un promedio tolerable de ocupación, si este rendimiento neto resulta ser infinitesimal, los métodos tradicionales pueden ser infructuosos.

Para volver a nuestro tema inmediato, la relación a largo plazo entre el ingreso nacional y la cantidad de dinero dependerá de las preferencias por la liquidez. Y la estabilidad o inestabilidad de los precios en periodos largos dependerá de la fuerza de la tendencia ascendente de la unidad de salarios (o, más exactamente, de la unidad de costos) comparada con la tasa de crecimiento de la eficacia del sistema productivo.

 


 * 

LIBRO VI

BREVES CONSIDERACIONES SUGERIDAS POR LA TEORÍA GENERAL

CAPÍTULO 22

NOTAS SOBRE EL CICLO ECONÓMICO

COMO CREEMOS HABER DEMOSTRADO EN LOS CAPÍTULOS precedentes qué es lo que determina el volumen de ocupación en cualquier momento, podemos deducir, si estamos en lo justo, que nuestra teoría debe poder explicar los fenómenos del ciclo económico.

Si examinamos los detalles de cualquier ejemplo real del ciclo económico, veremos que es muy complejo y que para su explicación completa serán necesarios todos y cada uno de los elementos de nuestro análisis. En particular, encontraremos que las fluctuaciones en la propensión a consumir, en el estado de la preferencia por la liquidez y en la eficiencia marginal del capital han desempeñado su parte. Pero sugiero que el carácter esencial del ciclo económico y, especialmente, la regularidad de la secuencia de tiempo y de la duración que justifica el que lo llamemos ciclo, se debe sobre todo a cómo fluctúa la eficiencia marginal del capital. A mi modo de ver, lo mejor es considerar que el ciclo económico se debe a un cambio cíclico en la eficiencia marginal del capital, aunque complicado y frecuentemente agravado por cambios asociados en las otras variables importantes de periodo corto del sistema económico. Para desarrollar esta tesis sería necesario más bien un libro que un capítulo y se requeriría un examen minucioso de los hechos; pero las siguientes breves observaciones serán suficientes para indicar la línea de investigaciones que sugiere nuestra teoría anterior.

I

Por movimiento cíclico queremos decir que, al progresar el sistema, por ejemplo, en dirección ascendente, las fuerzas que lo empujan hacia arriba al principio toman impulso y producen efectos acumulativos unas sobre otras, pero pierden gradualmente su potencia hasta que, en cierto momento, tienden a ser reemplazadas por las operaciones en sentido opuesto; las cuales, a su vez, toman impulso por cierto tiempo y se fortalecen mutuamente hasta que ellas también, habiendo alcanzado su desarrollo máximo, decaen y dejan sitio a sus contrarias. Sin embargo, por movimiento cíclico no queremos decir simplemente que esas tendencias ascendentes y descendentes no persistan indefinidamente en la misma dirección, una vez iniciadas, sino que terminan por invertirse. También queremos expresar que hay cierto grado de regularidad en la secuencia y duración de los movimientos ascendentes y descendentes.

No obstante, para que nuestra explicación sea adecuada debe abarcar otra característica del llamado ciclo económico, a saber, el fenómeno de la crisis —el hecho de que la substitución de un impulso ascendente por otro descendente ocurre con frecuencia de modo repentino y violento, mientras que, por regla general, no existe un punto de inflexión tan cortante cuando el movimiento descendente es substituido por la tendencia a subir.

Cualquier fluctuación en las inversiones que no esté equilibrada por un cambio correspondiente en la propensión a consumir, se traducirá, por supuesto, en una fluctuación de la ocupación. Por tanto, desde el momento que el volumen de inversión está expuesto a influencias muy complejas, es muy improbable que todas las fluctuaciones, ya sea en la inversión misma o en la eficiencia marginal del capital, sean de carácter cíclico. En una sección posterior de este capítulo examinaremos un caso especial en particular: el de las fluctuaciones agrícolas. Sugiero, sin embargo, que hay razones concretas para que, en el caso de un ciclo industrial típico en el ambiente del siglo XIX, las fluctuaciones en la eficiencia marginal del capital debieran haber tenido características cíclicas. Las razones no son en manera alguna poco familiares, ya sea en sí mismas o como explicación del ciclo económico. Mi único propósito aquí es ligarlas con la teoría precedente.

II

Puedo abordar mejor lo que tengo que decir empezando con las últimas etapas del auge y el comienzo de la “crisis”.

Hemos visto antes que la eficiencia marginal del capital[126] no depende sólo de la abundancia o escasez existente de bienes de capital y el costo corriente de producción de los mismos, sino también de las expectativas actuales respecto al futuro rendimiento de los bienes de capital. En el caso de los bienes durables resulta natural y razonable, por tanto, que las expectativas del futuro jueguen un papel dominante en la determinación de la escala en que parezcan recomendables nuevas inversiones. Pero, como lo hemos visto, las bases para hacer tales expectativas son muy precarias. Estando apoyadas en pruebas variables e inseguras, están expuestas a cambios violentos y repentinos.

Ahora bien, al explicar las “crisis” hemos acostumbrado hacer hincapié en la tendencia de la tasa de interés a subir bajo la influencia de la mayor demanda de dinero, tanto para comerciar como con fines especulativos. Sin duda, este factor puede representar a veces un papel de agravamiento y, ocasionalmente, de iniciación. Pero creo que la explicación más típica, y con frecuencia la predominante de la crisis, no es principalmente un alza en la tasa de interés, sino un colapso repentino de la eficiencia marginal del capital.

Las últimas etapas del auge se caracterizan por las expectativas optimistas respecto al rendimiento futuro de los bienes de capital, lo bastante fuertes para equilibrar su abundancia creciente y sus costos ascendentes de producción y, probablemente también, un alza en la tasa de interés. Es propio de los mercados de inversión organizados que, cuando el desencanto se cierne sobre uno demasiado optimista y con demanda sobrecargada, se derrumben con fuerza violenta, y aun catastrófica,[127] bajo la influencia de los compradores altamente ignorantes de lo que compran y de los especuladores, que están más interesados en las previsiones acerca del próximo desplazamiento de la opinión del mercado, que en una estimación razonable del futuro rendimiento de los bienes de capital. Además, el pesimismo y la incertidumbre del futuro que acompaña a un derrumbamiento en la eficiencia marginal del capital, naturalmente precipita un aumento decisivo en la preferencia por la liquidez —y de aquí un alza en la tasa de interés—. De este modo, el hecho de que un derrumbamiento de la eficiencia marginal del capital tienda a ir acompañado por un alza en la tasa de interés, puede agravar mucho el descenso en la inversión. Pero lo esencial de tal estado de cosas se encuentra, sin embargo, en el colapso de la eficiencia marginal del capital, particularmente en el caso de aquellas clases de capital que haya contribuido más a la fase previa de las grandes nuevas inversiones. La preferencia por la liquidez, excepto en aquellas de sus manifestaciones que van asociadas con un aumento en el comercio y la especulación, no sube hasta después del derrumbamiento en la eficiencia marginal del capital.

Esto es lo que hace tan difícil el estudio de la depresión. Posteriormente, un descenso en la tasa de interés será de gran ayuda para la recuperación y, probablemente, condición necesaria de la misma. Pero, por el momento, el colapso en la eficiencia marginal del capital puede ser tan completo que no baste ninguna reducción factible en la tasa de interés. Si una baja de ésta fuera capaz de proveer un remedio efectivo por sí misma, cabría alcanzar la recuperación sin el transcurso de algún intervalo considerable de tiempo y por medios más o menos directamente bajo el control de la autoridad monetaria. Pero, de hecho, esto no suele ocurrir, y no es tan fácil resucitar la eficiencia marginal del capital, estando, como está, determinada por la indirigible y desobediente psicología del mundo de los negocios. Es el retorno de la confianza, para hablar en lenguaje ordinario, el que resulta tan poco susceptible de control en una economía de capitalismo individual. Este es el aspecto de la depresión que los banqueros y los hombres de negocios han tenido razón en subrayar, y el que los economistas que han puesto su fe en un remedio “puramente monetario” han subestimado.

Esto me lleva a mi asunto. La explicación del elemento tiempo en el ciclo económico, del hecho de que generalmente ha de transcurrir un intervalo de tiempo de cierta magnitud antes de que empiece la recuperación, debe buscarse en las influencias que gobiernan la recuperación de la eficiencia marginal del capital. Hay razones, dadas en primer lugar por la duración de los bienes de larga vida relativamente a la tasa normal de crecimiento en una época dada, y en segundo por los costos de almacenamiento de las existencias excedentes, por las cuales la duración del movimiento descendente debe tener cierta magnitud que no es fortuita, que no fluctúa entre, digamos, un año ahora y diez años en otra ocasión, sino que muestra determinada regularidad habitual entre, digamos, tres y cinco años.

Volvamos a lo que ocurre en las crisis. Mientras el auge continúa, la mayor parte de las nuevas inversiones muestran un rendimiento habitual que no deja de ser satisfactorio. La desilusión viene porque de repente surgen dudas en relación con la confianza que puede tenerse en el rendimiento probable, quizá porque la actual muestra señales de baja a medida que las existencias de bienes durables de reciente producción aumentan en forma sostenida. Si se piensa que los costos corrientes de producción son más altos de lo que serán posteriormente, habrá una razón más para la baja en la eficiencia marginal del capital. Una vez que la duda surge, se extiende rápidamente. Así, al principio de la depresión hay probablemente mucho capital cuya eficiencia marginal ha llegado a ser insignificante y hasta negativa. Pero el intervalo de tiempo que habrá de pasar antes de que la contracción del capital por el uso, la decadencia y la obsolescencia ocasione una escasez lo bastante obvia para aumentar la eficiencia marginal, puede ser una función relativamente estable del promedio de duración del capital en una época dada. Si las características de la época cambian, el intervalo de tiempo que sirve de patrón variará. Si, por ejemplo, pasamos de un periodo de población creciente a otro de población en descenso, la fase característica de ciclo se ampliará. Pero tenemos en la anterior una razón sustancial que explica por qué la duración de la depresión debería tener una relación definida con la de la vida de los bienes durables y con la tasa normal de crecimiento en una época determinada.

El segundo de los factores de tiempo estable se debe a que los costos de almacenamiento de las existencias excedentes hace que éstas sean absorbidas dentro de cierto periodo, ni muy largo ni muy corto. El cese repentino de las nuevas inversiones después de la crisis conducirá, probablemente, a una acumulación de existencias excedentes de artículos no terminados. Los costos de almacenamiento de éstas rara vez serán inferiores al 10 por ciento anual. De este modo, la baja de su precio necesita ser suficiente para provocar una restricción de las mismas que obligue a absorberlas en un periodo de, digamos, tres a cinco años a lo sumo. Ahora bien, el proceso de absorber las existencias representa inversión negativa, lo que también es contrario a la ocupación; y cuando haya pasado se experimentará un alivio positivo.

Además, la reducción de capital en giro, que necesariamente acompaña a la baja de la producción en su fase descendente, representa un elemento más de desinversión, que puede ser grande; y, una vez que ha empezado el retroceso, éste ejerce una fuerte influencia acumulativa en dirección descendente. En la primera fase de una depresión típica habrá, probablemente, una inversión en el aumento de existencias que ayudará a neutralizar la desinversión del capital en giro; en la siguiente fase puede haber un periodo corto de desinversión, tanto en existencias como en capital en giro ; después que se haya alcanzado el nivel mínimo probablemente se presentará una desinversión más en las existencias que equilibre parcialmente las reinversiones en capital en giro; y, finalmente, cuando la recuperación haya avanzado bastante, ambos factores serán simultáneamente favorables a la inversión. Deben examinarse los factores adicionales y sobrepuestos de las fluctuaciones de la inversión en artículos durables, teniendo como fondo lo anterior. Cuando una baja en esta clase de inversiones ha puesto en marcha una fluctuación cíclica, habrá poco aliciente para la recuperación hasta que el ciclo haya recorrido parte de su camino.[128]

Por desgracia, una baja importante en la eficiencia marginal del capital también tiende a afectar en forma adversa la propensión a consumir; porque entraña una disminución considerable en el valor del mercado de los valores de rendimiento variable en la bolsa. Ahora bien, esto ejerce naturalmente una influencia muy depresiva sobre las personas que toman interés activo en sus inversiones en la bolsa de valores, especialmente si emplean fondos prestados. La disposición a gastar de esta gente está quizá aún más influida por las alzas y bajas en el valor de sus inversiones que por el estado de sus ingresos. Con un público de “mentalidad de accionista” como el de Estados Unidos en la actualidad, un mercado de valores al alza puede ser condición casi esencial de una propensión a consumir satisfactoria; y esta circunstancia generalmente desdeñada hasta hace poco, sirve evidentemente para agravar más aún el efecto depresivo de una baja en la eficiencia marginal del capital.

Una vez iniciada la recuperación, es evidente la forma en que se alimenta a sí misma y crece. Pero durante la fase descendente, cuando tanto el capital fijo como las existencias de materiales son por el momento redundantes y se está restringiendo el capital en giro, la curva de la eficiencia marginal del capital puede bajar tanto que escasamente sea posible corregirla de manera que asegure una tasa satisfactoria de nuevas inversiones por medio de cualquier reducción practicable en la tasa de interés. De este modo, con mercados organizados y sujetos a las influencias actuales, la estimación que hace el mercado de la eficiencia marginal del capital puede sufrir fluctuaciones tan enormemente amplias que no quepa neutralizarlas lo bastante por fluctuaciones correspondientes en la tasa de interés. Además, como hemos visto antes, los movimientos consiguientes en el mercado de valores pueden deprimir la propensión a consumir precisamente cuando es más necesaria. Por tanto, en condiciones de laissez faire, quizá sea imposible evitar las fluctuaciones amplias en la ocupación sin un cambio trascendental en la psicología de los mercados de inversión, cambio que no hay razón para esperar que ocurra. En conclusión, afirmo que el deber de ordenar el volumen actual de inversión no puede dejarse con garantías de seguridad en manos de los particulares.

III

Puede parecer que el análisis precedente está de acuerdo con el punto de vista de quienes sostienen que la sobreinversión es la característica del auge, que el único remedio posible para la siguiente depresión es el evadir esta sobreinversión y que, si bien, por las razones dadas antes, ésta no puede impedirse por medio de una baja tasa de interés, sin embargo, el auge puede evitarse por una tasa alta de interés. Ciertamente tiene fuerza el argumento de que una alta tasa de interés es mucho más efectiva contra un auge que otra baja contra una depresión.

Pero inferir estas conclusiones de lo anterior llevaría a una mala interpretación de mi análisis; y a mi modo de ver, supondría serio error. Porque el término sobreinversión es ambiguo. Se puede referir a las inversiones que estarían predestinadas a desanimar las expectativas que las incitaron o para las cuales no hay lugar en circunstancias de intensa desocupación; o puede indicar un estado de cosas en el que cada clase de bienes de capital sea tan abundante que no haya inversión nueva que prometa, aun en condiciones de ocupación plena, ganar en el curso de su duración más que su costo de reposición. Es solamente en el último estado de cosas donde hay sobreinversión, estrictamente hablando, en el sentido de que cualquier inversión posterior sería sólo un puro desperdicio de recursos.[129] Además, aunque la sobreinversión en este sentido fuera una característica normal del auge, el remedio no estaría en imponer de súbito una alta tasa de interés, que probablemente disuadiría algunas inversiones útiles y podría reducir aún más la propensión a consumir, sino en tomar medidas drásticas, mediante la redistribución de los ingresos o de otro modo, para estimular la propensión a consumir. Sin embargo, de acuerdo con mi análisis, sólo en el sentido anterior puede decirse que el auge está caracterizado por la sobreinversión. La situación, que estoy indicando como típica, no es aquella en que el capital sea tan abundante que la comunidad en conjunto no puede emplear más cantidad de una manera razonable sino aquella en que la inversión se hace en condiciones inestables y que no pueden perseverar, porque aquélla obedece a expectativas que están condenadas a no realizarse.

Puede ocurrir, por supuesto —en realidad es probable que así sea—, que las ilusiones del auge lleven a producir ciertas clases particulares de bienes de capital en abundancia tan excesiva que parte de la producción sea, de acuerdo con cualquier criterio, un desperdicio de recursos —lo que algunas veces ocurre, podemos añadir, aun cuando no haya auge—. Es decir, lleva a la inversión mal dirigida. Pero, además de esto, es una característica esencial del auge que las inversiones con rendimiento real de, digamos, 2 por ciento en condiciones de ocupación plena, se proyectan basándose en previsiones de, digamos, 6 por ciento, y se valúan en consecuencia. Cuando llega la desilusión, esta previsión se reemplaza por el contrario “error de pesimismo” con el resultado de que se espera una cantidad negativa de las inversiones que de hecho hubieran dado un rendimiento de 2 por ciento en estado de ocupación plena; y el colapso resultante de las nuevas inversiones conduce entonces a un estado de desocupación en el cual aquellas que hubieran producido 2 por ciento en condiciones de ocupación plena, de hecho dan menos que nada. Llegamos a una situación de escasez de casas, pero en la que, sin embargo, nadie puede costearse el vivir en las existentes.

Así ¡el remedio del auge no es una tasa más alta de interés, sino una más baja!;[130] porque ésta puede hacer que perdure el llamado auge. El remedio correcto para el ciclo económico no puede encontrarse en evitar los auges y conservarnos así en semidepresiones permanentes, sino en evitar las depresiones y conservarnos de este modo en un cuasi-auge continuo.

El auge que está destinado a terminar en depresión se produce, en consecuencia, por la combinación de dos cosas: una tasa de interés que, con previsiones correctas, sería demasiado alta para la ocupación plena, y una situación desacertada de expectativas que, mientras dura, impide que esta tasa sea un obstáculo real. El auge es una situación tal que el exceso de optimismo triunfa sobre una tasa de interés que mirada en frío podría parecer excesiva.

Excepto durante la guerra, dudo que tengamos alguna experiencia reciente de un auge tan poderoso que llevara a la ocupación plena. En Estados Unidos la ocupación fue muy satisfactoria en 1928-29 según los niveles normales; pero no he tenido noticia de ninguna prueba de escasez de mano de obra, excepto, quizá, en el caso de unos cuantos grupos de trabajadores altamente especializados. Se alcanzaron algunos “embotellamientos”, pero la producción en conjunto era todavía susceptible de mayor expansión. Tampoco hubo sobreinversión en el sentido de que el nivel y el equipo de vivienda fuesen tan altos que todos tuvieran cuanto deseaban a la tasa estrictamente necesaria para cubrir el costo de reposición, sin margen alguno para el interés, por todo el tiempo que durara la casa, suponiendo que existiera ocupación plena; y que el transporte, los servicios públicos y las mejoras a la agricultura hubieran sido llevados a un nivel tal que no pudiera esperarse razonablemente que las adiciones posteriores dieran un rendimiento siquiera igual a sus costos de reposición. Todo lo contrario. Sería absurdo afirmar que en Estados Unidos existió sobreinversión en sentido estricto en 1929. En verdad, el estado real de cosas era de carácter diferente. Las nuevas inversiones durante los cinco años anteriores se habían realizado en tan enorme escala en conjunto, que el rendimiento probable de posteriores adiciones estaba descendiendo con rapidez, si se analizaba fríamente. Una previsión correcta habría abatido la eficiencia marginal del capital a una cifra de nivel bajo sin precedente; de manera que el “auge” no hubiera podido continuar sobre bases firmes, excepto con una tasa de interés a largo plazo muy pequeña y evitando la inversión mal dirigida en direcciones particulares que estaban en peligro de ser sobreexplotadas. De hecho, la tasa de interés era lo bastante alta para desanimar las nuevas inversiones, excepto en aquellas ramas particulares que estaban bajo la influencia del estímulo especulativo y, por tanto, en peligro especial de ser sobreexplotadas; y una tasa de interés lo bastante alta para rebasar el estímulo especulativo, habría detenido, al mismo tiempo, toda clase de inversiones nuevas razonables. Así, un aumento en dicha tasa, como alivio para el estado de cosas derivado de un prolongado periodo de inversiones anormalmente fuertes, pertenece a esa clase de remedios que curan la enfermedad matando al paciente.

Es muy posible, en verdad, que la prolongación del empleo casi pleno durante varios años estuviese acompañada, en países tan ricos como Gran Bretaña y Estados Unidos, por algún volumen de nuevas inversiones tan grande, suponiendo la misma propensión a consumir, que condujera eventualmente a un estado de inversión plena en el sentido de no poder ya esperarse, según cálculos razonables, de un nuevo incremento de bienes durables de cualquier tipo, un rendimiento global bruto por encima de su costo de reposición. Además, este estado podría alcanzarse comparativamente pronto — digamos en veinticinco años o menos—. No debe pensarse que niego esto porque afirmo que jamás hemos llegado a una situación de inversión completa, en sentido estricto; ni siquiera momentáneamente.

Más todavía, aunque supusiéramos que los auges contemporáneos pueden ir acompañados de una situación momentánea de ocupación plena o sobreinversión en sentido estricto, seguiría siendo absurdo considerar una tasa de interés más alta como el remedio adecuado; porque en este caso la hipótesis de aquellos que atribuyen la enfermedad al subconsumo quedaría plenamente confirmada. El remedio estaría en varias medidas destinadas a fortalecer la propensión a consumir, redistribuyendo los ingresos, o de otro modo, de manera que un nivel dado de ocupación requiera un volumen menor de inversión corriente para sustentarlo.

IV

Puede que sea conveniente decir ahora unas palabras sobre las escuelas importantes de pensamiento que sostienen, desde varios puntos de vista, que la tendencia crónica de las sociedades contemporáneas al subempleo debe buscarse en el subconsumo —es decir, en las prácticas sociales y en la distribución de riqueza que se resuelve en una propensión a consumir indebidamente baja.

Estas escuelas están indudablemente en lo cierto, como guías de política práctica, en las condiciones existentes —o, al menos, las que privaron hasta hace poco—, donde el volumen de inversión no se planea ni controla, sujeto a los vaivenes de la eficiencia marginal del capital, en la forma que se determina por el juicio privado de los individuos ignorantes o especuladores, y a una tasa de interés a largo plazo que rara vez, o nunca, baja más allá de un nivel convencional; porque en tales condiciones no hay otro recurso para levantar el nivel medio de ocupación a una altura más satisfactoria. Si es materialmente impracticable aumentar la inversión, resulta evidente que no hay medios de asegurar mayor nivel de ocupación, excepto aumentando el consumo.

Prácticamente sólo difiero de estas escuelas en que pienso que quizá hayan puesto un énfasis superior al debido en el aumento del consumo en un momento en que todavía hay muchas ventajas sociales que conseguir del crecimiento de la inversión. Teóricamente, sin embargo, están expuestas a la crítica de que desdeñan el hecho de que hay dos caminos para ampliar la producción. Aun si decidiéramos que sería mejor aumentar el capital más lentamente y concentrar el esfuerzo en el aumento del consumo, deberíamos resolver esto teniendo a la vista la otra alternativa. Me doy cuenta de las grandes ventajas sociales de aumentar la existencia de capital hasta que deje de ser escaso. Pero éste es un juicio práctico, no un imperativo teórico.

Además, estoy dispuesto a admitir que el camino más prudente sería el de avanzar en ambos frentes a la vez. Al mismo tiempo que procuraría conseguir una tasa de inversión controlada socialmente con vistas a la baja progresiva de la eficiencia marginal del capital, abogaría por toda clase de medidas para aumentar la propensión a consumir; porque es improbable que pueda sostenerse la ocupación plena, con la propensión a consumir existente, sea lo que fuera lo que hiciéramos respecto a la inversión. Cabe, por tanto, que ambas políticas funcionen juntas —promover la inversión y, al mismo tiempo, el consumo, no simplemente hasta el nivel que correspondería al aumento de la inversión con la propensión existente de consumo, sino a una altura todavía mayor.

Si —tomando números redondos para mayor claridad— el nivel medio de producción actual es 15 por ciento inferior al que sería con ocupación plena continua, y si el 10 por ciento de esta producción representa la inversión neta y el 90 por ciento de la misma el consumo; más aún, si la inversión neta tuviera que subir 50 por ciento con el fin de lograr ocupación plena con la propensión a consumir existente, de manera que con esa ocupación la producción subiera de 100 a 115, el consumo de 90 a 100 y la inversión neta de 10 a 15, entonces podríamos proponernos, quizá, modificar de tal modo la propensión a consumir que con ocupación plena el consumo subiera de 90 a 103 y la inversión neta de 10 a 12.

V

Otra escuela de pensamiento encuentra la solución del ciclo económico, no en el aumento del consumo o de la inversión, sino en disminuir la oferta de mano de obra que busca empleo; es decir, redistribuyendo el volumen existente del mismo sin aumentar éste ni la producción.

Esto me parece una política prematura —mucho más claramente que el plan de aumentar el consumo—. Llega el momento en que todo individuo compara las ventajas de tener más tiempo libre o mayores ingresos. Pero creo que en la actualidad hay datos muy claros de que la gran mayoría de los individuos preferiría mayores ingresos a mayor holganza; y no veo razón suficiente para obligar a quienes quieren lo primero a aceptar lo segundo.

VI

Puede parecer extraordinario que exista una escuela de pensamiento que encuentra la solución del ciclo económico en refrenar el auge en sus primeras etapas por medio de una elevada tasa de interés. El único argumento en que se puede descubrir una justificación de esa política , es el expuesto por el profesor Robertson, quien considera, en efecto, que la ocupación plena es un ideal impracticable y que lo mejor que podemos esperar es un nivel de ocupación mucho más estable que el actual y quizá ligeramente superior en promedio.

Si descartamos los grandes cambios de política que afectan ya sea al control de las inversiones o a la propensión a consumir y suponemos, a grandes rasgos, una continuidad del estado de cosas existente, bien puede argumentarse, en mi concepto, que con una política bancaria que aplastara siempre en embrión un auge incipiente por medio de una tasa de interés bastante alta para detener aun los optimismos peor orientados, podría resultar un estado medio de expectativas más ventajoso. La desilusión respecto a las expectativas, característica de la depresión, puede llevar a tanta pérdida y desperdicio, que el nivel medio de inversiones útiles podría ser mayor si se aplicara algún método disuasivo. Es difícil estar seguro de si esto es correcto o no, con los supuestos que entraña; es un problema de juicio práctico en que faltan pruebas detalladas. Tal vez no tenga en cuenta la ventaja social que se deriva del aumento del consumo que acompaña aun a las inversiones totalmente descaminadas, que pueden ser más benéficas que la ausencia absoluta de inversión. Sin embargo, el control monetario más ilustrado se encuentra en dificultades frente a un auge del tipo 1929 de Estados Unidos, y dotado solamente de las armas que poseía en aquel tiempo el Sistema de la Reserva Federal; y ninguna de las alternativas a su alcance podría hacer variar mucho los resultados. Sea esto como fuere, me parece que semejante opinión es peligrosa e innecesariamente derrotista. Recomienda, o por lo menos supone, como de aceptación permanente, demasiadas cosas defectuosas del sistema económico actual.

El punto de vista austero, que emplearía una elevada tasa de interés para detener inmediatamente cualquier tendencia en el nivel de ocupación a subir apreciablemente sobre el promedio de, por ejemplo, la década anterior, está, sin embargo, más generalmente apoyado por argumentos que no tienen base en absoluto —fuera de la confusión mental—. Surge, en ciertos casos, de la creencia de que, en un auge, la inversión se inclina a sobrepasar el ahorro, y que una mayor tasa de interés restablecerá el equilibrio impidiendo la inversión por una parte y estimulando los ahorros por la otra. Esto supone que el ahorro y la inversión pueden ser desiguales, y no tiene, por tanto, significado hasta que estos términos hayan sido definidos en algún sentido especial. O también se sugiere, algunas veces, que el aumento del ahorro que acompaña a la inversión creciente es indeseable e injusto porque va, por regla general, acompañado por un alza de precios. Pero si esto fuera así habría que oponerse a cualquier cambio hacia arriba en el nivel existente de producción y ocupación, ya que el alza de precios no se debe esencialmente al aumento en la inversión —se debe a que, en periodos cortos, el precio de la oferta asciende normalmente al aumentar la producción, debido al hecho físico de los rendimientos decrecientes o a la tendencia de la unidad de costos a subir en términos de dinero cuando la producción aumenta—. Si la situación se caracteriza por un precio de oferta constante, no habría, por supuesto, alza de precios; no obstante, y a pesar de todo, el ahorro creciente acompañaría al aumento de inversión. Es la mayor producción lo que provoca el incremento del ahorro; y el alza de los precios sólo es un subproducto del aumento de la producción, que igual ocurrirá, si no hay más ahorro, sino, en su lugar, mayor propensión a consumir. Nadie tiene legítimo interés creado en comprar a precios bajos cuando lo son exclusivamente porque la producción es corta.

O, nuevamente, se supone que el mal aparece si el aumento de inversión ha sido promovido por una baja en la tasa de interés, creada por un aumento en la cantidad de dinero. Sin embargo, la tasa de interés preexistente no tiene ninguna virtud especial y no se obliga a nadie a tomar el nuevo dinero —se crea con el fin de satisfacer la mayor preferencia por la liquidez que corresponde a la menor tasa de interés o al mayor volumen de operaciones, y se sostiene por aquellos individuos que prefieren conservar dinero en vez de prestarlo a una tasa más baja—. O, una vez más, se sugiere que un auge se caracteriza por el “consumo de capital”, lo que probablemente signifique inversión neta negativa, es decir, por una excesiva propensión a consumir. A menos que se hayan confundido los fenómenos del ciclo económico con los de huida del dinero, como los que ocurrieron durante los colapsos monetarios europeos posteriores a la guerra, los hechos indican todo lo contrario. Además, aunque así fuera, una reducción en la tasa de interés constituiría un remedio más plausible para las condiciones de subinversión que el alza de la misma. A mi modo de ver, ninguna de estas escuelas de pensamiento hacen sentido, excepto, quizá, si se da el supuesto tácito de que la producción agregada sea incapaz de variar. Pero una teoría que supone constante la producción, no es evidentemente una gran ayuda para explicar el ciclo económico.

VII

En los primeros estudios sobre el ciclo económico, sobre todo en los de Jevons, se encontró una explicación en las fluctuaciones agrícolas debidas a las estaciones, más que en el fenómeno de la industria. A la luz de la teoría anterior, esto parece una forma muy lógica de abordar el problema; porque aún las fluctuaciones actuales en las existencias de productos agrícolas entre un año y otro son uno de los renglones individuales más importantes, dentro del conjunto de los motivos de variación en la tasa de inversión corriente; mientras que cuando Jevons escribió —y sobre todo en el periodo a que se refieren la mayor parte de sus estadísticas—, este factor debe haber tenido más importancia que los demás.

La teoría de Jevons de que el ciclo económico se debía primordialmente a las fluctuaciones en la munificencia de las cosechas, puede volver a exponerse como sigue: cuando se logra una cosecha excepcionalmente grande, por lo general se hace una adición importante a la cantidad conservada para años futuros. El producto de esta adición se agrega a las entradas corrientes de los agricultores y se considera por éstos como ingresos; mientras que el aumento de las existencias no implica una sangría en los gastos que de sus ingresos hacen otros sectores de la comunidad, sino que se financia con fondos procedentes de los ahorros. Esto quiere decir que la adición a las existencias es una suma a la inversión corriente. Esta conclusión no se invalida aunque los precios bajen mucho. De modo semejante, cuando hay una cosecha pobre, se recurre a las existencias almacenadas para atender al consumo corriente, de manera que una parte correspondiente de los gastos que de sus ingresos hacen los consumidores, no crea ingreso corriente para los agricultores. Esto quiere decir que lo que se toma de las existencias comporta una reducción correspondiente en la inversión actual. De este modo, si se considera constante la inversión que se hace en otros sentidos, puede ser grande la diferencia en la inversión total entre un año en el que haya una adición sustancial a las existencias y otro en el cual haya una reducción fuerte de las mismas; y en una comunidad donde la agricultura sea la industria predominante, será abrumadoramente grande, comparada con cualquier otra causa usual de fluctuaciones en la inversión. Así resulta natural encontrar que el punto de inflexión hacia arriba está indicado por cosechas abundantes y el punto de inflexión hacia abajo por las deficientes. La otra teoría de que hay causas físicas de los ciclos reguladores de buenas y malas cosechas, es, por supuesto, asunto diferente, con el que nada tenemos que ver aquí.

Más recientemente, se ha presentado la teoría de que son las cosechas escasas y no las abundantes las que resultan buenas para el comercio, ya sea porque las malas hacen que la población se aplique al trabajo por una remuneración real menor o porque se considere que la redistribución resultante de la capacidad adquisitiva es favorable al consumo. Es innecesario decir que no son éstas las teorías en que pienso al hacer la descripción anterior de los fenómenos de las cosechas como una explicación del ciclo económico.

Los motivos agrícolas de la fluctuación son, sin embargo, de importancia mucho menor en el mundo moderno, y ello por dos razones: en primer lugar, la producción agrícola es una proporción considerablemente menor de la total. Y en segundo el desarrollo de un mercado mundial para la mayor parte de los productos agrícolas, que se surte en ambos hemisferios, hace que, en promedio, se neutralicen los efectos de las buenas y las malas estaciones, siendo el porciento de la fluctuación sobre el volumen de las cosechas mundiales mucho menor que el correspondiente a las de los países en particular. Pero en los tiempos antiguos, cuando un país dependía principalmente de sus propias cosechas, es difícil encontrar alguna causa posible de fluctuaciones en la inversión, excepción hecha de la guerra, que pudiera compararse en importancia con los cambios en las existencias almacenadas de productos agrícolas.

Aún hoy es importante conceder gran atención al papel que representan los cambios en las existencias de materias primas, tanto agrícolas como minerales, en la determinación de la tasa de inversión corriente. Yo atribuiría la lenta marcha del recuperarse de una depresión, después de haberse alcanzado el punto de inflexión, principalmente al efecto deflacionista de la baja en las existencias redundantes hasta un nivel normal. Al principio, la acumulación de existencias que ocurre después que ha brotado el auge modera la velocidad del colapso; pero tenemos que pagar después este alivio con la lentitud de la marcha subsecuente de la recuperación. Algunas veces, por ciento, la reducción de las existencias puede tener que completarse virtualmente antes de que sea posible descubrir algún grado mensurable de mejoría; porque una tasa de inversión en otras direcciones, suficiente para producir un movimiento ascendente cuando no hay desinversión actual en las existencias para neutralizarlo, puede ser completamente inadecuada mientras dure dicha desinversión.

Creo que hemos visto un ejemplo específico de esto en las primeras fases del “New Deal” de Estados Unidos. Cuando empezó el préstamo sustancial para gastos, del Presidente Roosevelt, las existencias de todas clases —y particularmente de productos agrícolas— todavía alcanzaban un nivel muy alto. El “New Deal” consistió parcialmente en un intento vigoroso para contraer estas existencias —por el descenso de la producción corriente y por toda clase de medios—. La reducción de las existencias a un nivel normal era un proceso necesario, una fase que había de soportarse. Pero mientras duró, es decir, durante unos dos años, fue un contrapeso sustancial a los gastos financiados con préstamos que se hacían con otros fines. Solamente cuando se hubo completado quedó abierto el camino para una recuperación sustancial.

La reciente experiencia de Estados Unidos ha proporcionado también buenos ejemplos del papel que representan las fluctuaciones en las existencias de artículos acabados y no acabados —“inventarios”, como ha llegado a ser usual llamarlos— en ocasionar las oscilaciones pequeñas dentro del movimiento principal del ciclo económico. Los fabricantes, al poner en movimiento la industria para atender a una escala de consumo que se espera prevalezca algunos meses después, tienen probabilidades de cometer pequeños errores de cálculo, generalmente en el sentido de adelantarse un poco a los hechos. Cuando descubren su error tienen que contraerse por corto tiempo a un nivel inferior al del consumo corriente de manera que se produzca la absorción de los excedentes de inventario; y la diferencia de ritmo entre adelantarse un poco y atrasarse otra vez ha demostrado tener efectos suficientes sobre la tasa corriente de la inversión para que pueda observarse con claridad sobre la pantalla de las excelentes y completas estadísticas de que ahora se dispone en Estados Unidos.

 


 * 

CAPÍTULO 23

NOTAS SOBRE EL MERCANTILISMO, LAS LEYES SOBRE LA USURA, EL DINERO SELLADO Y LAS TEORÍAS DEL SUBCONSUMO

I

POR ESPACIO DE UNOS DOSCIENTOS AÑOS tanto los teóricos de la economía como los hombres prácticos no dudaron que una balanza de comercio favorable tiene particulares ventajas para un país y graves peligros la adversa, especialmente si se traduce en reflujo de los metales preciosos; pero durante los últimos cien años se ha presentado una notable divergencia de opinión. La mayoría de los estadistas y los hombres prácticos en casi todos los países, y cerca de la mitad de ellos aun en Gran Bretaña, cuna del punto de vista opuesto, han permanecido fieles a la antigua doctrina; en tanto que casi todos los economistas teóricos han afirmado que la preocupación por tales problemas carece de base, salvo si se adopta un punto de vista muy estrecho, ya que el mecanismo del comercio exterior es de ajuste automático y los intentos de dirigirlo no sólo son fútiles, sino que empobrecen a quienes los practican, porque anulan las ventajas de la división internacional del trabajo. Será conveniente, de acuerdo con la tradición, llamar a la vieja opinión mercantilismo y a la nueva librecambio, aunque estos términos deben interpretarse con referencia al contexto, pues cada uno de ellos tiene un significado amplio y otro restringido.

Hablando en términos generales, los economistas modernos no sólo han sostenido que con la división internacional del trabajo se obtienen, por regla general, ganancias que superan a las que puede pretender la práctica mercantilista, sino también que el argumento mercantilista se basa, de principio a fin, en una confusión intelectual.

Marshall,[131] por ejemplo, aunque sus referencias al mercantilismo no carecen totalmente de simpatía, sin embargo no tiene miramiento para su teoría central como tal y ni siquiera menciona lo que tiene de verdad en sus pretensiones, lo cual examinaré más adelante.[132] Del mismo modo, las concesiones teóricas que los economistas partidarios del librecambio han consentido hacer en las controversias contemporáneas sobre, por ejemplo, el estímulo a las industrias nacientes o la mejoría de la relación de intercambio, no se refieren a la esencia real del argumento mercantilista. Durante la controversia fiscal del primer cuarto del siglo presente no recuerdo que los economistas hayan hecho concesión alguna al principio de que la protección podría aumentar la ocupación nacional. Quizá lo más justo sea citar como ejemplo lo que yo mismo escribí. Todavía en 1923, como discípulo fiel y convencido de la escuela clásica que no dudaba entonces de lo que se me había enseñado ni tenía la menor reserva sobre esta materia, escribí: “Si hay algo que el proteccionismo no puede hacer, es curar la desocupación… Hay algunos argumentos en favor de la protección, basados en que puede conseguir ventajas posibles pero improbables, para los cuales no hay respuesta fácil. Pero pretender curar la desocupación implica la falacia proteccionista en su forma más cruda y grosera.”[133] Por lo que hace a la teoría mercantilista más antigua, no se disponía de una exposición inteligible, y se nos hizo creer que era punto menos que algo sin sentido. Tan absolutamente abrumadora y completa ha sido la dominación de la escuela clásica.

II

Permítaseme exponer, en primer lugar, lo que ahora me parece que hay de verdad científica en la doctrina mercantilista. Luego compararemos esto con los argumentos reales de los mercantilistas. Debe tener presente que las ventajas que se le atribuyen son declaradamente de carácter nacional y no es probable que beneficien al mundo en su conjunto.

Cuando un país está aumentando su riqueza con cierta rapidez, el progreso que sigue a este estado venturoso de cosas puede interrumpirse, en condiciones de laissez-faire, por insuficiencia de estímulos para nuevas inversiones. Dado el medio social y político y las características nacionales que determinan la propensión a consumir, el bienestar de un estado progresivo depende esencialmente, por las razones que ya hemos explicado, de la suficiencia de tales estímulos. Éstos pueden encontrarse, ya sea en la inversión interna o en la exterior (incluyendo en ésta la acumulación de metales preciosos), que, juntos, forman la inversión total. Cuando el volumen de inversión total está determinado sólo por el deseo de ganancia, las oportunidades de inversión interior estarán regidas, a la larga, por la tasa de interés nacional, mientras que la magnitud de la inversión exterior está necesariamente determinada por el volumen de la balanza favorable de comercio. Así, en una sociedad donde no haya problema de inversión directa bajo la égida de la autoridad pública, los fines económicos, de que es razonable que se preocupe el gobierno, son la tasa de interés interior y la balanza de comercio exterior.

Ahora bien, si la unidad de salarios es relativamente estable y no está sujeta a cambios espontáneos de magnitud importante (una condición que casi siempre se satisface), si el estado de la preferencia por la liquidez es bastante fijo, tomado como promedio de sus fluctuaciones de periodo corto, y si los convencionalismos bancarios son también duraderos, la tasa de interés tenderá a estar regida por la cantidad de metales preciosos, medida en unidades de salarios, disponible para satisfacer el deseo de liquidez de la comunidad. Al mismo tiempo, en una era en que los préstamos sustanciales al exterior y la propiedad directa de riqueza situada en el exterior son escasamente practicables, las alzas y bajas en la cantidad de metales preciosos dependerán principalmente de si la balanza comercial es favorable o desfavorable.

De este modo ocurre que la preocupación de las autoridades por una balanza comercial favorable sirvió a ambos propósitos; y fue, además, el único medio disponible de promoverlos. En una época en que las autoridades no tenían control directo sobre la tasa de interés interior o los otros estímulos a la inversión nacional, las medidas para aumentar la balanza comercial favorable eran el único medio directo de que disponían para reforzar la inversión extranjera; y, al mismo tiempo, el efecto de una balanza de comercio favorable sobre la entrada de los metales preciosos era su único medio indirecto de reducir la tasa de interés interna y aumentar así el aliciente para invertir dentro del país.

Hay, sin embargo, dos limitaciones al éxito de esta política, que no deben olvidarse. Si la tasa de interés nacional desciende tanto que el volumen de inversión reciba estímulo suficiente para elevar la ocupación a un nivel que pase por algunos de los puntos críticos en los cuales sube la unidad de salarios, el aumento en el nivel de costos interior empezará a reaccionar desfavorablemente sobre la balanza de comercio exterior, de manera que el esfuerzo para aumentar esta última habrá ido más lejos de lo conveniente y se habrá neutralizado a sí mismo. Nuevamente, si la tasa de interés interna cae tan bajo en relación con las tasas de interés en cualquier otra parte y esto estimula un volumen de préstamos al extranjero que sea desproporcionado a la balanza favorable, esto puede ocasionar un eflujo de metales preciosos suficiente para hacer que se contraríen las ventajas previamente obtenidas. El riesgo de que entre en acción una u otra de estas limitaciones sube de punto cuando un país es grande y de importancia internacional, debido a que, cuando la producción corriente de metales preciosos en las minas sea relativamente en pequeña escala, un influjo de dinero a un país significa un eflujo en otro; de manera que los efectos adversos de los costos crecientes y las tasas de interés descendentes en el interior puedan reforzarse (si la política mercantilista se lleva demasiado lejos) por los costos decrecientes y las tasas de interés ascendentes en el exterior.

La historia económica de España de fines del siglo XV y durante el XVI da el ejemplo de un país cuyo comercio exterior fue destruido por el efecto de una excesiva abundancia de metales preciosos sobre la unidad de salarios. Gran Bretaña, en los años de pre-guerra del siglo XX, proporciona un ejemplo de país en que las excesivas facilidades para los préstamos al exterior y la compra de propiedades en el extranjero impidieron a menudo la baja de la tasa de interés que era necesaria para asegurar ocupación plena en el interior. La historia de la India en todos los tiempos ha dado el ejemplo de un país de tal manera empobrecido a consecuencia de una preferencia por la liquidez tan apasionada que ni siquiera un influjo enorme y crónico de metales preciosos ha sido suficiente para abatir la tasa de interés a un nivel compatible con el crecimiento de la riqueza real.

Sin embargo, si consideramos una sociedad que tenga una unidad de salarios hasta cierto punto estable y características nacionales que determinen la propensión a consumir y la preferencia por la liquidez y un sistema monetario que ligue de una manera rígida la cantidad de dinero con la existencia de metales preciosos, será esencial para el mantenimiento de la prosperidad que las autoridades presten mucha atención al estado de la balanza comercial, porque una balanza favorable será extremadamente alentadora a condición de que no sea demasiado grande; mientras una desfavorable puede producir pronto un estado de depresión persistente.

De esto no se deduce que el grado máximo de restricción de las importaciones será el que promueva el máximo favorable de la balanza comercial. Los primeros mercantilistas pusieron gran énfasis sobre todo esto y con frecuencia se les ve oponiéndose a las restricciones al comercio, porque a la larga podían operar en contra de una balanza favorable. Desde luego, es discutible que en las circunstancias especiales de la mitad del siglo XIX en Gran Bretaña, la libertad casi completa del comercio fuera la política que más directamente llevara al desarrollo de una balanza favorable. La experiencia contemporánea de las restricciones comerciales en la Europa de la posguerra ofrece múltiples ejemplos de impedimentos mal concebidos contra la libertad que, proyectados para mejorar la balanza favorable, tuvieron de hecho el efecto contrario.

Por estas y otras razones el lector no debe llegar a conclusiones prematuras respecto a la política práctica a que conduce nuestro razonamiento. Hay fuertes presunciones de carácter general contra las restricciones comerciales, a menos que puedan justificarse por argumentos especiales. Las ventajas de la división internacional del trabajo son reales y sustanciales, aun cuando la escuela clásica las haya exagerado grandemente. El hecho de que las ventajas derivadas de una balanza favorable para nuestro propio país puedan suponerse desventajas iguales para algún otro (cosa de la cual los mercantilistas se daban cuenta perfecta) no sólo significa que es necesaria una gran moderación, de manera que un país no asegure para sí mismo una parte mayor que la justa y razonable de las existencias de metales preciosos, sino también que una política inmoderada puede llevar a una competencia internacional insensata por una balanza favorable que dañe a todos por igual.[134] Y, finalmente, una política de restricciones comerciales es un instrumento alevoso aun para conseguir su fin ostensible, ya que el interés privado, la incompetencia administrativa y la dificultad intrínseca de la tarea pueden desviarla hasta producir resultados directamente contrarios a los propuestos.

De este modo, dirijo el peso de mi crítica contra lo inadecuado de los fundamentos teóricos de la doctrina del laissez-faire, en la que fui educado y que enseñé durante muchos años —contra la idea de que la tasa de interés y el volumen de inversiones se ajustan automáticamente al nivel óptimo, de manera que preocuparse por la balanza comercial sea perder el tiempo—; porque nosotros, la facultad de los economistas, hemos sido culpables de presuntuoso error al tratar como una obsesión pueril lo que por centurias ha sido el objeto principal del arte práctico de gobernar.

Bajo la influencia de esta errónea teoría, los banqueros londinenses gradualmente desarrollaron la técnica más peligrosa para el mantenimiento del equilibrio que pueda imaginarse; a saber, aquella técnica de asociar la tasa de redescuento con una paridad rígida de los cambios; porque esto significa que el objeto de sostener una tasa de interés interior compatible con la ocupación plena fue totalmente desechado. Desde el momento que es imposible en la práctica desdeñar la balanza de pagos, se desarrolló un medio para controlarla, que en vez de proteger la tasa de interés interna, la sacrificó a la acción de fuerzas ciegas. Recientemente, los banqueros prácticos de Londres han aprendido mucho y casi se puede esperar que la técnica de la tasa de redescuento en Gran Bretaña no se volverá a usar nunca para proteger el saldo exterior cuando tenga probabilidades de producir desocupación en el interior.

Considerada como la teoría de la empresa individual y de la distribución del producto resultante de la ocupación de una cantidad dada de recursos, la teoría clásica ha hecho una aportación al pensamiento económico que no puede impugnarse. Es imposible pensar claramente sobre el tema sin contar con esta teoría como parte de nuestro mecanismo mental. Al llamar la atención sobre el hecho de que olvidaron lo que había de valioso en sus predecesores, no debe suponerse que pongo lo anterior en tela de juicio. Sin embargo, como aportación al arte práctico de gobernar, que se ocupa del sistema económico en conjunto y de lograr la ocupación óptima de todos los recursos del sistema, los métodos de los primeros precursores del pensamiento económico en los siglos XVI y XVII, pueden haber captado fragmentos de sabiduría práctica que las irreales abstracciones de Ricardo olvidaron primero y extinguieron después. Había sabiduría en su intensa preocupación por conservar reducida la tasa de interés por medio de leyes de usura (a las que volveremos a referirnos más adelante en este capítulo), sosteniendo las existencias nacionales de dinero y desanimando las alzas en la unidad de salarios, así como en su predisposición a restaurar, como último recurso, las existencias de dinero por medio de la devaluación, cuando se habían vuelto francamente deficientes, debido a una sangría exterior inevitable, a un alza en la unidad de salarios[135] o a cualquier otra causa.

III

Los primeros precursores del pensamiento económico pueden haber encontrado sus máximas de sabiduría práctica sin haber tenido gran conocimiento de las bases teóricas subyacentes. Examinemos brevemente, por tanto, las razones que dieron, así como lo que recomendaron. Esto se facilita remitiéndose al gran trabajo del profesor Heckscher La época mercantilista,* en el que se ponen por primera vez al alcance del lector de economía las características esenciales del pensamiento económico, a través de un periodo de dos centurias. Las citas que siguen están tomadas principalmente de sus páginas.[136]

1) El pensamiento mercantilista nunca supuso que había una tendencia al ajuste automático por medio del cual la tasa de interés se establecería en el nivel adecuado. Al contrario, recalcó que una tasa indebidamente alta era el mayor obstáculo para el crecimiento de la riqueza; y los mercantilistas se daban cuenta incluso de que la tasa de interés dependía de la preferencia por la liquidez y de la cantidad de dinero. Estaban interesados tanto en disminuir esa preferencia como en aumentar la cantidad de dinero y algunos de ellos aclararon que su preocupación por elevar esta última se debía a su deseo de rebajar la tasa de interés. El profesor Heckscher resume este aspecto de su teoría como sigue:

 

 La posición de los mercantilistas más perspicaces era en este punto, como en tantos otros, dentro de ciertos límites, perfectamente clara. El dinero era, para ellos —empleando la terminología moderna—, un factor de producción, equiparado al suelo y que a veces se calificaba de riqueza “artificial” para distinguirla de la “natural”, y el interés del capital se consideraba como la renta abonada por el dinero, similar a la renta del suelo que se abonaba por la tierra. En la medida en que se indagaban los fundamentos objetivos para explicar la cuantía del tipo de interés —cosa que se hacía cada vez con mayor frecuencia, en la época del mercantilismo—, encontraron esos fundamentos en la cantidad total de dinero. De este abundante material disponible, solamente serán seleccionados los más típicos ejemplos, de manera de demostrar ante todo cuán duradera fue esta noción, cuán arraigada e independiente de consideraciones prácticas.

Ambos protagonistas en la lucha sobre la política monetaria y sobre el comercio con las Indias Orientales durante los primeros años de la década de 1620 en Inglaterra estuvieron por completo de acuerdo sobre este punto.

 Gerard Malynes declaró, dando detallada razón de su aserto, que “la abundancia de dinero decrece la usura en el precio o en la tasa de interés” (Les Mercatoria y Maintenance of Free Trade, 1622). Su truculento y un tanto falto de escrúpulos adversario… Edward Misselden replicaba que “El remedio para la usura puede ser la abundancia de dinero” (Free Trade or the Means to make Trade Florish, mismo año). De los principales escritores, medio siglo después, Child, el omnipotente director de la Compañía de las Indias Orientales, y su más hábil defensor discutió (1688) el problema de si la tasa máxima legal de interés, que él enfáticamente reclamaba, haría que “el dinero” de Holanda se retirara de Inglaterra. Encontraba el remedio para esta temida desventaja en conceder mayores facilidades para el traspaso de los títulos de deuda si se usaba a éstos como medios de circulación, pues esto, decía Child, “suplirá la falta de la mitad por lo menos de todo el dinero contante que circula en la nación”. Petty, el otro escritor que no estaba influido por la lucha de intereses, estuvo de acuerdo con el resto cuando explicó la baja “natural” en la tasa de interés del 10 por ciento al 6 por ciento debido al incremento en la cantidad de dinero (Political arithmetick, 1676) y aconsejaba los préstamos con interés como un remedio apropiado para un país con demasiada “moneda acuñada” (Quantulum cunque concerning Money, 1682).

Este razonamiento, naturalmente, de ninguna manera quedó confinado a Inglaterra. Algunos años más tarde (1701 y 1706), por ejemplo, comerciantes y estadistas franceses se quejaban de la “escasez de moneda” (disette des espèces) existente como la causa de las altas tasas de interés y se esforzaban por bajar la tasa de usura incrementando la circulación de dinero.[137]

 

El gran Locke fue, quizá, el primero en expresar, en términos abstractos, la relación entre la tasa de interés y la cantidad de dinero en su controversia con Petty.[138] Se oponía a la proposición de Petty de una tasa máxima de interés, sosteniendo que era tan impracticable como fijar una renta máxima para la tierra, desde el momento que “el valor natural del dinero, como puede dar un ingreso anual en forma de interés, depende de la cantidad total del dinero circulante en el reino, en proporción al comercio total del mismo (es decir, la salida general de todos los bienes)”.[139] Locke explica que el dinero tiene dos valores: 1) su valor en uso, que está determinado por la tasa de interés “y en esto tiene la naturaleza de la tierra, denominándose al ingreso de una renta y al del otro uso”,[140] y 2) su valor en cambio “y en esto tiene la naturaleza de un bien”, “dependiendo su valor en cambio solamente de la abundancia o la escasez de dinero en proporción a la abundancia o a la escasez de aquellas cosas y no de lo que sea el interés”. De este modo Locke fue el padre de teorías cuantitativas gemelas. En primer lugar sostuvo que la tasa de interés depende de la proporción entre la cantidad de dinero (teniendo en cuenta la velocidad de circulación) y el valor total del comercio. En segundo lugar afirmó que el valor en cambio del dinero dependía de la proporción entre la cantidad de dinero y el volumen total de bienes en el mercado. Pero —con un pie en el mundo mercantilista y el otro en el clásico—[141] se confundió en lo que concierne a la relación entre estas dos proporciones, y descuidó por completo la posibilidad de las fluctuaciones en la preferencia por la liquidez. Sin embargo, tenía empeño en explicar que una baja en la tasa de interés no tiene influencia directa sobre el nivel de precios y afecta a éstos “solamente a medida que el cambio de interés en el comercio conduce a traer o llevar dinero o bienes y así, a su tiempo, modificando la proporción aquí en Inglaterra de la que era antes”, es decir, si la reducción en la tasa de interés lleva a la exportación de efectivo o a un aumento en la producción. Pero nunca llega, en mi opinión, a una síntesis genuina.12[142]

La facilidad con que la mente mercantilista distinguía entre la tasa de interés y la eficiencia marginal del capital se pone de manifiesto en un pasaje (impreso en 1621), que Locke cita, de A Letter to a Friend concerning Usury: “El alto interés deprime el comercio. Las ventajas del interés son mayores que la ganancia del comercio, que hace a los comerciantes ricos retirarse y colocar su acervo a interés y a los comerciantes de menor importancia quebrar.” Fortrey (England’s Interest and Improvement, 1663) proporciona otro ejemplo del énfasis puesto sobre una baja tasa de interés como medio de acrecentar la riqueza.

Los mercantilistas no olvidaron la peculiaridad de que, si una excesiva preferencia por la liquidez desviara el influjo de metales preciosos hacia el atesoramiento, se perderían las ventajas para la tasa de interés. En algunos casos (por ejemplo, Mun) el objeto de acrecentar el poder del estado los llevó, sin embargo, a defender la acumulación del tesoro de estado. Pero otros se opusieron francamente a esta política:

 

Schrötter, por ejemplo, pintaba en vivos colores, con los argumentos mercantilistas usuales, cómo la circulación dentro del país se vería despojada de todo el dinero si el Tesoro público se incrementaba demasiado… De aquí que él, muy lógicamente, estableciese también un paralelo entre el atesoramiento realizado por los monasterios y la exportación del sobrante de metales preciosos, que era lo peor de todo lo que él podía imaginar. Davenant explicaba la miseria extrema de muchos pueblos orientales —entre los cuales se creía poder encontrar más oro y plata que en ningún otro lugar del mundo— diciendo que ello se debía a que los metales preciosos “habían podido estancarse en las arcas de los príncipes”. Si el atesoramiento por el estado se consideró, cuando más, una dudosa bendición y a menudo un gran peligro, no es necesario decir que el atesoramiento privado fue esquivado como la peste. Ésta fue una de las tendencias contra las cuales innumerables escritores mercantilistas despotricaron, y no creo que sea posible encontrar una sola voz disidente.[143]

 

2) Los mercantilistas advirtieron la falacia de la baratura y el peligro de que una competencia excesiva pudiera hacer que la relación de intercambio se volviera en contra de un país. Así, Malynes escribió en su Lex Mercatoria (1622): “Procurad no competir con otros malbaratando para daño de la república, con el pretexto de aumentar el comercio; porque el comercio no aumenta cuando los bienes son muy baratos, porque la baratura procede de la corta demanda y la escasez de dinero, que hace las cosas baratas; de tal manera que lo contrario aumenta el comercio, cuando hay abundancia de dinero y los bienes se vuelven más caros al ser demandados.”[144]

El profesor Heckscher resume como sigue este aspecto del pensamiento mercantilista:

 

Durante siglo y medio, este punto de vista se formuló repetidamente diciendo que aquellos países en los que existía relativamente menos dinero que en otros, tenían necesariamente que “vender barato y comprar caro”… Este punto de vista lo encontramos ya expresado en la primera edición del Discourse of the Common Wealth, o sea a mediados del siglo XVI. Hales decía, en efecto: “Si los extranjeros se contentasen con tomar solamente nuestras mercancías a cambio de las suyas propias, ¿qué iba a impedirles elevar los precios de otras cosas (entendiéndose, entre otras, aquellas que nosotros les compramos), a pesar de la baratura de las que nosotros les vendemos? De este modo, nosotros seguiríamos perdiendo y ellos nos sobrepasarían, vendiendo caro lo suyo y comprando barato lo nuestro, con lo cual se enriquecerían mientras nosotros nos empobreceríamos. Por eso, a mí me gustaría más que nosotros elevásemos los precios de nuestras mercancías al igual que ellos elevan los de las suyas, que es lo que hacemos hoy, aunque con ello salgan perdiendo algunos, pues nunca serán tantos como los que de otro modo saldrían perdiendo.” Y, en este punto, Hales obtuvo la aquiescencia sin reservas del editor de su obra, algunas décadas más tarde (en 1581). En el siglo XVII volvió a reaparecer este punto de vista, sin ningún cambio fundamental en su significado. Así Malynes consideró que esta infortunada posición era el resultado de lo que más temía sobre todas las cosas; es decir, una subvaluación extranjera de las mercancías inglesas. Este mismo criterio lo vemos reiterado constantemente. En su obra Verbum Sapienti (escrita en 1665 y editada en 1691), Petty opinaba que los violentos esfuerzos que se hacían para aumentar la masa de dinero ya no serían necesarios “si tenemos con seguridad más dinero que los Estados vecinos nuestros —por pequeños que ellos sean—, tanto en proporción aritmética como en proporción geométrica”. Y en los años que transcurrieron entre la redacción y la edición de este libro, declaró Coke: “Si nuestro tesoro fuese mayor que el de los pueblos vecinos nuestros, no me preocuparía de que sólo tuviésemos la quinta parte del tesoro que en la actualidad tenemos” (1675).[145]

 

3) Los mercantilistas fueron los creadores del “miedo a los bienes” y la escasez de dinero, como causas de la desocupación que los clásicos habían de denunciar dos centurias más tarde como un absurdo:

 

Uno de los más antiguos ejemplos de empleo del argumento del paro como móvil de las prohibiciones de importación, lo encontramos en Florencia, en el año de 1426… Pero esta idea puede seguirse más fácilmente en la legislación inglesa, en la que se remonta, por lo menos, hasta el año 1455… La ordenanza francesa, casi coetánea de aquélla, de 1466, que sentó las bases para la industria sedera de Lyon, tan famosa más tarde, ofrece menor interés, pues en realidad no se dirigía contra las mercancías de fuera. Sin embargo, también en ella se invocaba la posibilidad de dar ocupación a decenas de miles de hombres y mujeres privados de trabajo. Y esto demuestra cómo flotaba en el aire, por aquel entonces, este pensamiento.

La primera gran discusión sostenida sobre este problema, como sobre casi todos los problemas sociales y económicos, se entabló en Inglaterra a mediados del siglo XVI o un poco antes, bajo el reinado de Enrique VIII y de su hijo Eduardo VI. Hay que citar, especialmente, una colección de escritos, redactados al parecer, a más tardar, en la década de 1530, y dos de los cuales por lo menos circulaban bajo el 282 nombre de Clement Armstrong… En él, el tema se formula, por ejemplo, así: “La gran superabundancia de productos y mercancías de fuera importados todos los años en Inglaterra no sólo ha determinado una penuria de dinero, sino que, además, ha arruinado toda la industria que podría haber dado trabajo a un gran número de personas del pueblo bajo, permitiéndoles sacar de ese trabajo dinero para pagar sus alimentos y bebidas y que hoy se ven obligados a holgar o a vivir de la mendicidad y del robo.”[146]

El mejor ejemplo que yo conozco de una discusión típicamente mercantilista en torno a esta situación son los debates mantenidos en la Cámara de los Comunes de Inglaterra acerca de la “escasez de moneda” (Scarcity of Money) en 1621, al producirse una grave depresión que afectaba sobre todo a las exportaciones de paños. La situación fue descrita de un modo gráfico por uno de los hombres más influyentes del parlamento, Sir Edwin Sandys. Los agricultores y los artesanos —dijo este orador— atravesaban por una situación difícil en casi todas las regiones, los telares se hallaban parados por falta de dinero dentro del país y los campesinos veíanse obligados a rescindir sus contratos, “no (gracias a Dios) por falta de productos agrícolas, sino por falta de dinero”. La situación condujo a minuciosas investigaciones encaminadas a averiguar adónde podía haber ido a parar el dinero cuya escasez se dejaba sentir tan angustiosamente. Y se dirigían toda suerte de ataques a las personas de quienes se pensaba que habían contribuido a la exportación de los metales preciosos (superávit de exportación) o a su desaparición por un mal empleo dentro del propio país.[147]

 

Los mercantilistas se daban cuenta de que su política, como dice el profesor Heckscher, “mataba dos pájaros de un tiro”. “De una parte, se desembarazaba el país de un indeseado sobrante de mercancías, en el que, según se creía, radicaba la causa de la desocupación forzosa y, de otra parte, aumentaba la cantidad de dinero existente en el país”,[148] con las ventajas resultantes de una baja en la tasa de interés.

Es imposible estudiar las nociones a las cuales fueron arrastrados los mercantilistas por sus experiencias reales, sin percibir que la propensión a ahorrar ha tenido una tendencia crónica, a través de la historia humana, a ser mayor que el incentivo a invertir. La debilidad del aliciente para invertir ha sido en todos los tiempos la clave del problema económico. La explicación que hoy se daba de la debilidad de tal estímulo puede residir principalmente en la amplitud de las acumulaciones existentes, en tanto que antiguamente los riesgos y azares de todas clases pueden haber jugado papel importante. Pero el resultado es el mismo. El deseo de los individuos de aumentar su riqueza personal, absteniéndose del consumo, ha sido generalmente más fuerte que la inclinación del empresario a aumentar la riqueza nacional, empleando trabajo en la producción de bienes durables.

4) Los mercantilistas no se hacían ilusión alguna respecto al carácter nacionalista de sus políticas y su tendencia a promover la guerra. Era la ventaja nacional y la fuerza relativa la que ambicionaban abiertamente.[149]

 Podemos criticarlos por la aparente indiferencia con que aceptaba esta consecuencia inevitable de un sistema monetario internacional. Pero intelectualmente su realismo es con mucho preferible al confuso pensamiento de los defensores contemporáneos de un patrón oro fijo internacional y del laissez-faire en materia de crédito internacional, quienes creen que son precisamente estas políticas las que mejor promueven la paz.

Porque en una economía sujeta a contratos monetarios y costumbres más o menos fijas en un periodo apreciable, en la que el volumen de circulación y la tasa de interés internos están primordialmente determinados por la balanza de pagos, como lo estaban en Gran Bretaña antes de la guerra, las autoridades no disponen de medios ortodoxos para combatir la desocupación en casa, excepto por un exceso de exportación y una importación del metal monetario a expensas de sus vecinos. La historia no registra otro método tan eficaz como el patrón oro internacional (o, antiguamente, el de plata) para que un país obtenga una ventaja sobre sus vecinos. Porque hizo que la prosperidad interior dependiera directamente de una lucha de competencia por los mercados y de un apetito competitivo por los metales preciosos. Cuando, por venturoso accidente, las nuevas provisiones de oro y plata eran comparativamente abundantes, la lucha podía aplacarse hasta cierto punto. Pero con el crecimiento de la riqueza y la decreciente propensión marginal a consumir, ha tendido cada vez más a ser una lucha sin cuartel. El papel desempeñado por los economistas ortodoxos, cuyo sentido común ha sido insuficiente para equilibrar su deficiente lógica, ha sido desastroso en todos sus detalles; porque cuando, en su ciega lucha por encontrar una puerta de escape, algunos países se han sacudido las obligaciones que previamente hacían imposible una tasa de interés autónoma, estos economistas han enseñado que una restauración de los antiguos grilletes es un primer paso necesario para la recuperación general.

En realidad, lo cierto es lo contrario. Es la política de una tasa de interés autónoma, no estorbada por las preocupaciones internacionales, y de un programa de inversión nacional dirigido al nivel óptimo de ocupación interna, lo que viene a ser una doble bendición en el sentido de que nos ayuda a nosotros y a nuestros vecinos al mismo tiempo. Y es la prosecución simultánea de estas políticas por todos los países juntos la que es capaz de restaurar, internacionalmente, la salud y la fuerza económicas, ya sea que la midamos por el nivel de ocupación nacional o por el volumen del comercio internacional.[150]

IV

Los mercantilistas se dieron cuenta de la existencia del problema sin que fueran capaces de llevar su análisis hasta el punto de resolverlo. Pero la escuela clásica no atendió el problema por haber introducido en sus premisas condiciones que suponían su inexistencia, con el resultado de crear una hendidura entre las conclusiones de la teoría económica y las del sentido común. La proeza extraordinaria de la teoría clásica fue sobreponerse a las creencias del “hombre natural” y, al mismo tiempo, estar equivocada.

Como lo expresa el profesor Heckscher:

 

Por tanto, el hecho de que la concepción fundamental acerca del dinero y los metales de que estaba formado no se alterase durante la época que va desde las Cruzadas hasta el siglo XVIII demuestra que las ideas existentes en este punto tenían raíces muy profundas. Y tal vez estas ideas lleguen incluso más allá del indicado periodo de quinientos años, aunque no, ni mucho menos, con la fuerza con que llegó la idea del “miedo a las mercancías”… Aparte del liberalismo económico, es posible que ningún periodo histórico haya sido ajeno a este modo de pensar. Sólo la tenacidad verdaderamente única del liberalismo en materia de principios llegó a sobreponerse durante algún tiempo, en este punto, a las ideas del “hombre natural”.[151]

Hacía falta todo el fanatismo doctrinario del liberalismo para dar al traste con el fenómeno del “miedo a las mercancías”… [que] es, en la economía monetaria, la actitud más explicable que puede adoptar el “hombre natural”. El librecambio negaba las realidades que parecían manifiestas y tenía necesariamente que caer en descrédito a los ojos del hombre de la calle a partir del momento en que el liberalismo no fuera capaz de seguir manteniendo los espíritus aferrados a sus ideas.[152]

 

Recuerdo la confusa rabia de Bonar Law y su perplejidad frente a los economistas, porque negaban lo que era evidente. Le apremiaba la necesidad de encontrar una explicación. Se vuelve a la analogía entre el imán de la escuela clásica de teoría económica y el de ciertas religiones; porque es mucho más demostrativo de la potencia de una idea exorcizar lo obvio que introducir en las nociones comunes del hombre lo recóndito y remoto.

V

Relacionado con esto, aunque distinto, queda un asunto que por centurias, en realidad por varios milenios, ilustró la opinión sustentada como obvia y cierta de una doctrina que la escuela clásica ha repudiado como infantil, pero que merece rehabilitación y honores. Quiero decir la doctrina de que la tasa de interés no se ajusta por sí misma al nivel adecuado para la conveniencia social, sino que constantemente tiende a subir demasiado alto, de manera que un gobierno sensato se preocupa por doblegarla por la ley y por costumbre y aun invocando las sanciones de las normas morales.

Las disposiciones contra la usura se encuentran entre las prácticas económicas más viejas de que tenemos memoria. El exterminio del aliciente para invertir por una preferencia excesiva por la liquidez era el infortunio predominante, el primer impedimento para acrecentar la riqueza, en el mundo antiguo y en el medieval. Y esto era así naturalmente, desde que algunos de los riesgos y azares de la vida económica reducen la eficiencia marginal del capital, mientras otros sirven para aumentar la preferencia por la liquidez. Por tanto, en un mundo que nadie consideraba seguro, era casi inevitable que si no se reducía la tasa de interés por cuanto medio estuviera a disposición de la sociedad, subiría demasiado para dejar que hubiera un aliciente adecuado para invertir.

A mí se me hizo creer que la actitud de la iglesia medieval hacia la tasa de interés era intrínsecamente absurda y que los sutiles estudios cuyo objeto era distinguir el rendimiento de los préstamos monetarios del rendimiento de las inversiones activas, eran simples intentos jesuíticos para encontrar una puerta de escape práctica a una teoría necia. Pero ahora leo estos estudios como un esfuerzo intelectual honrado para conservar separado lo que la teoría clásica ha mezclado de modo inextricablemente confuso, a saber, la tasa de interés y la eficiencia marginal del capital; porque ahora se ve claramente que las disquisiciones de los eruditos escolásticos tenían por objeto dilucidar una fórmula que permitiera a la curva de la eficiencia marginal del capital ser elevada, mientras aplicaban los reglamentos, las costumbres y la ley moral para conservar baja la tasa de interés.

Hasta el mismo Adam Smith era extraordinariamente parco en su actitud hacia las leyes sobre la usura; porque comprendía perfectamente que los ahorros individuales pueden ser absorbidos, bien por la inversión o por las deudas, y que no hay seguridad de que encuentren salida en la primera. Además, favoreció una baja tasa de interés como propia para ampliar las oportunidades de que los ahorros encontraran salida en nuevas inversiones más bien que en deudas; y por esta razón, en un pasaje que le valió severa censura de Bentham,[153] defendió la moderada aplicación de las leyes sobre usura.[154] Todavía más, las críticas de Bentham se basaban principalmente en el hecho de que la preocupación escocesa de Adam Smith era demasiado severa para los “empresarios” y que la tasa máxima de interés dejaría muy poco margen para remunerar los riesgos legítimos y socialmente recomendables; porque Bentham entendió por empresarios (projectors) “todas aquellas personas que, en la prosecución de la riqueza, o aun de cualquier otro objeto, se esfuerzan, con ayuda de esta misma, por penetrar en cualquier canal de invención… todas aquellas personas que, siguiendo uno cualquiera de sus propósitos, aspiran a cualquier cosa que pudiera llamarse perfeccionamiento… La idea recae, en resumen, sobre toda aplicación de los poderes humanos, en los que la ingeniosidad necesita que la riqueza vaya en su ayuda”. Por supuesto, Bentham tiene razón al protestar contra leyes que se oponen a que se tomen en cuenta los riesgos legítimos. “Un hombre prudente —continúa Bentham— no escogerá, en estas circunstancias, los proyectos buenos de entre los malos, porque no se ocupará de ningún proyecto”. [155]

Quizá pueda dudarse si lo anterior es precisamente lo que Adam Smith quería decir con este término. ¿O será que estamos escuchando en Bentham (aunque escribiendo en marzo de 1787 en el Crichoff in White Russia) la voz de la Inglaterra del siglo XIX hablando al XVIII? Porque nada que no fuera la exuberancia de la edad de oro del aliciente para invertir podría haber hecho posible que se perdiera de vista la posibilidad teórica de su insuficiencia.

VI

Es conveniente citar aquí al raro e indebidamente olvidado profeta Silvio Gesell (1862 1930), cuyo trabajo contiene destellos de profunda perspicacia y estuvo al borde de captar la esencia del asunto. En la posguerra sus devotos me bombardearon con copias de sus trabajos; sin embargo, debido a ciertos defectos palpables de sus argumentos, no logré en absoluto descubrir sus méritos. Como ocurre con frecuencia tratándose de las intuiciones imperfectamente analizadas, su importancia no se me aclaró hasta que yo había llegado a formular mis propias conclusiones a mi manera. Entre tanto, como otros economistas académicos, juzgué que sus esfuerzos, profundamente originales, no eran mejores que los de un chiflado. Como es probable que pocos de los lectores de este libro estén familiarizados con la importancia de Gesell, le concederé un espacio que de otro modo parecería exagerado.

Gesell fue un afortunado comerciante alemán[156] de Buenos Aires, que se vio inducido al estudio de los problemas monetarios con motivo de la crisis de fines de los ochenta, que adquirió caracteres especialmente violentos en Argentina; su primer trabajo, Die Reformation im Münzwesen als Brücke zum socialen Staat, fue publicado en Buenos Aires en 1891. Sus ideas fundamentales sobre dinero se publicaron en Buenos Aires en el mismo año con el título de Nervus rerum, al que siguieron muchos libros y folletos hasta que se retiró a Suiza en 1906 como hombre de ciertos recursos, en aptitud de dedicar las últimas décadas de su existencia a las dos ocupaciones más deliciosas al alcance de quienes no tienen que ganarse la vida: ser autor y agricultor experimental.

La primera parte de su obra más característica se publicó en 1906 en Les Hauts Geneveys, Suiza, con el título Die Verwirklichung des Rechtes auf dem vollen Arbeitsertrag, y la segunda, Die neue Lehre vom Zins, en 1911, en Berlín. Las dos juntas se publicaron en Berlín y en Suiza durante la guerra (1916) y alcanzaron la sexta edición, en vida del autor, con el título de Die natürliche Wirtschaftsordnung durch Freiland und Freigeld, habiéndose denominado la versión inglesa (traducción de Philip Pye) The Natural Economic Order. En abril de 1919, Gesell formó parte del efímero gabinete soviético de Baviera como Ministro de Hacienda, habiendo sido juzgado posteriormente por un Consejo de Guerra. Pasó la última década de su vida en Berlín y en Suiza dedicado a la propaganda. Gesell, atrayendo hacia sí el fervor semirreligioso que antes había rodeado a Henry George, vino a ser el profeta reverenciado de un culto con muchos miles de discípulos en todo el mundo. El primer congreso internacional de los Freiland-Freigeld Bund suizos y alemanes y las organizaciones similares de muchos países se celebró en Basilea en 1923. Después de su muerte, acaecida en 1930, gran parte del fervor del tipo peculiar que son capaces de despertar doctrinas semejantes a las suyas, se ha desviado hacia otros profetas (en mi opinión menos eminentes). El doctor Büchi es el jefe del movimiento en Inglaterra, pero su literatura parece distribuirse desde San Antonio, Texas, residiendo su mayor fuerza en la actualidad en los Estados Unidos, donde el profesor Irving Fisher, como caso único entre los economistas académicos, ha reconocido su importancia. A pesar de las dotes proféticas con que le han decorado sus devotos, el libro más importante de Gesell fue escrito en lenguaje sereno y científico, aunque está teñido todo él por una devoción más pasional y emotiva hacia la justicia social de la que algunos encuentran que cuadra a un científico. La parte que deriva de Henry George,[157] aunque es indudablemente una causa importante de la fuerza del movimiento, tiene interés secundario en conjunto. El objeto del libro, en general, puede describirse como el establecimiento de un socialismo antimarxista, una reacción contra el laissez faire, edificada sobre bases teóricas totalmente distintas de las de Marx, porque se apoya en la repudiación más que en la aceptación de las hipótesis clásicas, y en dejar en libertad la competencia en vez de abolirla. Creo que el porvenir aprenderá más de Gesell que de Marx. El prefacio a The Natural Economic Order mostrará al lector, si lo consulta, la calidad moral de Gesell. Creo que la respuesta al marxismo se encontrará siguiendo los lineamientos de este prefacio.

La aportación específica de Gesell a la teoría monetaria y del interés es como sigue. En primer lugar, distingue claramente entre la tasa de interés y la eficiencia marginal del capital, y afirma que la primera es la que marca un límite a la tasa de crecimiento del capital real. Luego indica que la tasa de interés es un fenómeno puramente monetario y que la peculiaridad del dinero, del que emana la importancia de la tasa monetaria de interés, reside en el hecho de que su propiedad como medio de atesorar riqueza impone a quien lo tiene gastos de conservación insignificantes, y que formas de riqueza tales como las existencias de bienes que sí implican dichos gastos, de hecho dan un rendimiento debido al modelo establecido por el dinero. Cita la estabilidad comparativa de la tasa de interés a través de los tiempos como prueba de que no puede depender de caracteres puramente físicos, ya que la variación de estos últimos entre dos épocas sucesivas debe haber sido incalculablemente mayor que las modificaciones observadas en la tasa de interés; es decir (en mi terminología), la tasa, que depende de caracteres psicológicos constantes, ha permanecido estable, en tanto que las características de fluctuación amplia, que determinan primordialmente la curva de la eficiencia marginal del capital, no han determinado aquella tasa, sino la proporción según la cual la tasa de interés (más o menos) dada permite acrecer las existencias de capital real.

Pero en la teoría de Gesell hay un defecto capital. Muestra que es solamente la existencia de una tasa monetaria de interés la que permite obtener un rendimiento del préstamo de existencias de mercancías. Su diálogo entre Robinson Crusoe y un extranjero[158] es una de las mejores parábolas económicas —tan buena como cualquiera de las de su clase que se han escrito— para demostrar este aserto. Pero, habiendo expuesto las razones por las que la tasa monetaria de interés, a diferencia de la mayor parte de las tasas-mercancía de interés, no puede ser negativa, olvida por completo la necesidad de una explicación de por qué es positiva, y deja de explicar la razón de que no esté regida (como lo sostiene la escuela clásica) por el nivel establecido por el rendimiento del capital productivo. Esto se debe a que se le escapó la noción de preferencia por la liquidez. Había elaborado sólo la mitad de la teoría de la tasa de interés.

Lo incompleto de su teoría explica, sin duda, por qué su trabajo no interesó al mundo académico. Sin embargo, había llevado su teoría lo bastante lejos para permitirle llegar a una recomendación práctica, que puede contener la esencia de lo que es necesario, aunque no es viable en la forma en que la propuso. Sostiene que el crecimiento del capital real está refrenado por la tasa monetaria de interés y que, si se eliminara este freno, el crecimiento del capital real sería, en el mundo moderno, tan rápido, que probablemente se justificaría una tasa igual a cero, no inmediatamente, por supuesto, pero en un periodo comparativamente corto. De este modo la necesidad primaria consiste en reducir la tasa monetaria de interés, lo que puede lograrse, según indicó, haciendo que el dinero incurra en costos de conservación del mismo modo que las otras existencias de bienes infecundos. Esto lo llevó a la famosa prescripción del dinero “sellado”, con el que está asociado principalmente su nombre y que ha recibido la aprobación de profesor Irving Fisher. De acuerdo con su proposición, los billetes circulantes (aunque claramente necesitaría aplicarse lo mismo a algunas formas de dinero bancario, por lo menos) solamente retendrían su valor siempre que fueran sellados mensualmente, como una tarjeta de seguro social, con estampillas compradas en una oficina de correos. El costo de éstas podría fijarse, por supuesto, en una cifra conveniente. De acuerdo con mi teoría, en términos generales sería igual al excedente de la tasa monetaria de interés (fuera de las estampillas) sobre la eficiencia marginal del capital correspondiente a una tasa de nuevas inversiones compatible con la ocupación plena. El gravamen real sugerido por Gesell era del 1 por mil semanario, equivalente a 5.2 por ciento anual. Esto sería demasiado alto en las condiciones existentes, pero la cifra correcta, que habría de ser modificada de tiempo en tiempo, sólo podría lograrse por tanteo.

La idea base del dinero sellado es sólida. Es posible, ciertamente, que pudieran encontrarse medios de aplicarla en la práctica en corta escala; pero hay muchas dificultades con las que Gesell no se encaró. Especialmente, no había advertido que el dinero no es el único bien que tiene la propiedad de llevar consigo una prima de liquidez, sino que difiere solamente en grado de muchos más, derivando su importancia de la posesión de una prima de liquidez mayor que cualquier otro. En esta forma, si se había de privar a los billetes circulantes de dicha prima por el sistema de resello, habría gran cantidad de sucedáneos que le pisarían los talones —dinero bancario, deudas a la vista, dinero extranjero, alhajas y metales preciosos en general, y así sucesivamente—. Como antes dije, ha habido épocas en las que probablemente fue la sed insaciable de posesión de tierra, independientemente de su rendimiento, lo que sirvió para sostener la tasa de interés —aunque bajo el sistema de Gesell esta posibilidad habría sido eliminada por la nacionalización de la tierra.

VII

Las teorías que hemos examinado antes se refieren en esencia, al elemento formativo de la demanda real que depende de la suficiencia del aliciente para invertir. No es nuevo, sin embargo, achacar los males de la desocupación a la insuficiencia del otro elemento constitutivo, es decir, la cortedad de la propensión a consumir. Pero esta explicación alternativa de las dolencias económicas contemporáneas —igualmente impopulares con los economistas clásicos— representó un papel mucho menos importante en el pensamiento de los siglos XVI y XVII y sólo ha cobrado fuerza en épocas recientes.

Aunque la queja del subconsumo era un aspecto muy subsidiario del pensamiento mercantilista, el profesor Heckscher cita buen número de ejemplos de lo que llama la “idea tan arraigada sobre la utilidad del lujo y el daño del ahorro. En efecto, el ahorro era considerado como la causa de la desocupación, y esta concepción obedecía a dos factores: de una parte se entendía que la masa de dinero que no entraba en el cambio disminuía la renta real; de otra parte, se creía que el ahorro retiraba de la circulación el dinero ahorrado”.[159] En 1598 Laffemas (Les Trésors et richesses pour mettre l’Estat en splendeur) acusó a los impugnadores del uso de sedas francesas, sosteniendo que todos los compradores de artículos de lujo franceses creaban un modo de vivir para los pobres, en tanto que los avaros los hacían morir en la miseria.[160] En 1662 Petty justificó las “diversiones, los espectáculos suntuosos, los arcos triunfales, etc.”, apoyándose en que sus costos entraban en los bolsillos de cerveceros, panaderos, sastres, zapateros y otros. Fortrey justificó el “exceso de indumentaria”. Von Schrötter (1686) atacó los reglamentos suntuarios y declaró que desearía que hubiera todavía más exhibición de vestidos. Barbon (1690) escribió que “la prodigalidad es un vicio perjudicial al hombre, pero no al comercio… la avaricia es un vicio, perjudicial tanto al hombre como al comercio”.[161] En 1695 Cary afirmó que si todo el mundo gastara más, todos obtendrían mayores ingresos “y podrían, por tanto, vivir mejor”.[162]

 Pero como más se popularizó la opinión de Barbon, fue a través de la Fábula de las abejas de Bernard Mandeville, un libro convicto de ser una indecencia por el gran jurado de Middlesex en 1723 que se destaca en la historia de las ciencias morales por su escandalosa reputación. Solamente se tiene memoria de un hombre que haya hablado bien de él, el Dr. Johnson, quien declaró que no le dejaba perplejo, sino “le abría los ojos considerablemente a la vida real”. La naturaleza de la malignidad del libro puede apreciarse mejor por el sumario de Leslie Stephen en el Dictionary of National Biography:

 

Mandeville infirió una gran ofensa con esta obra, en la que se hizo atractivo un sistema cínico de moralidad por medio de ingeniosas paradojas… Su doctrina de que la prosperidad se aumentaba por los gastos más que por los ahorros se puso al lado de muchas falacias económicas populares todavía no extinguidas.[163] Suponiendo, con los ascetas, que los deseos humanos eran malos por esencia y que, por tanto, producían “vicios privados”, y suponiendo también, con la opinión general, que la riqueza era un “beneficio público”, demostró fácilmente que toda la civilización entrañaba el desarrollo de inclinaciones viciosas…

 

El texto de la Fábula de las abejas es un poema alegórico, “El panal rumoroso o la redención de los bribones”, en el cual se manifiesta el espantoso apuro de una comunidad próspera, en la que a todos los ciudadanos se les ocurre de repente abandonar la vida de lujo y al estado reducir los armamentos, en interés del ahorro:

 

Ya es fraude la carestía

y al más altivo le basta

la moderación que gasta;

ya ni el más necio se fía

de la torpe algarabía 290 de corredores traviesos.

¡Vayan a otra parte esos

que “por mendrugos de pan” coches y caballos dan

 y fincas y otros excesos!

¿A qué mantener galeras

y compañías armadas

en regiones alejadas y en hazañas extranjeras?

¿Qué orgullos, qué borracheras,

qué funestas vanidades

buscan gloria en las crueldades?

 Sólo es lícita la guerra

cuando defiende la tierra,

derechos o libertades.

 

La altanera Chloe

 

hoy tan sólo se atavía

con un vestido por año.

 

¿Y cuál es el resultado?

 

¡Ay, pero en este concierto

del comercio y la honradez

el panal de antigua prez

se va quedando desierto!

Pues si el vicio a chorro abierto

despilfarraba millones,

alimentaba montones

que hoy se quedan sin oficio,

y echando menos el vicio

emigran a otras regiones.

¡La propiedad despreciada,

abandonadas las glebas,

 la maravilla cual Tebas

con música edificada!

La más suntuosa morada,

 lujo de sus moradores,

con carteles delatores

se ofrece al mejor postor.

Sobran artista y pintor,

pedreros y constructores.

 

Por eso, “la moraleja” es:

 

 Porque, si bien se repara,

la insobornable virtud

no es prenda de la salud,

aunque la ayuda y prepara.

Hay que dar al alquitara

mezclas de esencia remota,

y sólo entonces borbota

la soñada Edad de Oro,

libre de usar, sin desdoro,

la honradez… o la bellota.*

 

Dos extractos del comentario que sigue a la alegoría demostrarán que lo anterior no carecía de bases teóricas:

 

Como esta prudente economía, que algunas personas llaman ahorro, es en las familias privadas el método más certero para aumentar su patrimonio, igualmente se imaginan algunos que, ya sea un país infecundo o fructífero, el mismo método (que ellos creen practicable) tendrá efectos idénticos si se practica por la generalidad en toda una nación; y que, por ejemplo, los ingleses podrían ser mucho más ricos de lo que son, si fueran tan frugales como algunos de sus vecinos. Esto a mi entender, es un error.[164]

 

Por el contrario, Mandeville concluye:

 

El gran arte para hacer que una nación sea feliz y lo que llamamos floreciente, consiste en dar a todos y cada uno la oportunidad de estar empleado; y para obtenerlo, hágase que la primera preocupación del gobierno sea promover una variedad tan grande de manufacturas, artes y oficios como la inteligencia humana pueda inventar; y la segunda, estimular la agricultura y la pesca en todas sus ramas, que se obligue a toda la tierra a esforzarse lo mismo que el hombre. La grandeza y la felicidad de las naciones deben esperarse de esta política y no de las frívolas regulaciones de la prodigalidad y la frugalidad; porque déjese que el valor del oro y de la plata suba o baje, el bienestar de todas las sociedades dependerá siempre de los frutos de la tierra, del trabajo y de la gente; cosas ambas que, acopladas, son un tesoro más cierto, más inagotable y más real que el oro del Brasil o la plata de Potosí.

 

No es extraño que sentimientos tan perversos provocaran el oprobio en dos centurias de moralistas y economistas, quienes se sentían tanto más virtuosos en posesión de su austera doctrina, por cuanto no podía descubrirse remedio eficaz, excepto en la mayor frugalidad y economía, tanto del individuo como del estado. Las “diversiones, los espectáculos magníficos, los arcos triunfales, etc.”, de Petty, cedieron el lugar a la sabiduría del centavo de las finanzas gladstonianas y a un sistema de estado que “no podía costearse” hospitales, parques públicos, edificios majestuosos, ni siquiera la conservación de sus monumentos antiguos, mucho menos el esplendor de la música y el drama, todo lo cual se dejó en manos de la caridad privada o la magnanimidad de los individuos manirrotos.

La doctrina no reapareció en los círculos respetables por todo un siglo, hasta que en la última fase de Malthus la noción de la insuficiencia de la demanda efectiva toma lugar definido como explicación científica de la desocupación. Como ya me he ocupado con bastante extensión de este asunto en mi ensayo sobre Malthus,[165] será suficiente repetir aquí uno o dos pasajes característicos que ya he citado en él:

 

Vemos en casi todas partes del mundo vastos poderes productivos que no entran en acción, y explico este fenómeno diciendo que por falta de una distribución adecuada de la producción real, no se cuenta con motivo adecuados para continuarla… Sostengo firmemente que un intento para acumular muy de prisa, que por necesidad entraña una disminución considerable del consumo improductivo, al estorbar notablemente los motivos habituales que mueven la producción, debe detener en forma prematura el progreso de la riqueza… Pero si fuera cierto que un intento para acumular muy rápidamente ocasione tal división entre el trabajo y las ganancias que casi destruya tanto el motivo como la facultad de realizar futuras acumulaciones y, en consecuencia, la facultad de mantener y emplear a una población creciente ¿no debe reconocerse que semejante intento para acumular, o que el ahorrar demasiado, puede ser realmente perjudicial a un país?[166]

 

El problema está en si este estancamiento del capital, y el subsecuente de la demanda de mano de obra que se deriva del aumento de la producción sin una magnitud adecuada de consumo improductivo por parte de los propietarios de la tierra y de los capitalistas, podría ocurrir sin perjudicar al país ni ocasionar una reducción en la felicidad y en la riqueza menor de la que se habría presentado si el consumo improductivo de los terratenientes y los capitalistas hubiera sido tan bien proporcionado a los excedentes naturales de la sociedad que hubiera mantenido ininterrumpidos los motivos de la producción y evitado, primero, una demanda no natural de trabajo y luego, una disminución necesaria y repentina de dicha demanda. Pero si esto fuera así ¿cómo podría decirse con verdad que la parsimonia, aunque posiblemente sea perjudicial a los productores, no puede serlo para el estado; o que un aumento del consumo improductivo de los terratenientes y los capitalistas puede no ser algunas veces el remedio adecuado para un estado de cosas en el que fallen las razones que impulsan la producción?[167]

 

Adam Smith ha afirmado que los capitales aumentan por la parsimonia, que todo hombre frugal es un benefactor público y que el crecimiento de la riqueza depende del excedente de la producción sobre el consumo. Que estas proposiciones son en gran parte verdaderas es perfectamente indiscutible… Pero es por completo evidente que no lo son en extensión indefinida y que los principios que sustentan el ahorro, llevados al extremo, destruirían los estímulos a la producción. Si todas las personas se satisficieran con los alimentos más simples, los vestidos más pobres y las viviendas más humildes, seguramente que no existirían otras clases de alimentos, vestidos y viviendas… Los dos extremos son obvios, de lo que se deduce que debe existir algún término medio de máximo aliento para aumentar la riqueza, tomando en cuenta tanto la capacidad productiva como la voluntad de consumir, aunque los recursos con que cuenta la economía política tal vez no sean suficientes para comprobarlo.[168]

 

De todas las opiniones expuestas por hombres capaces e inteligentes que he encontrado, la de Say, quien afirma que un produit consommé ou détruit est un débouché fermé (I, I, cap. 15) me parece ser la más directamente opuesta a la teoría acertada y la más uniformemente contradicha por la experiencia. Sin embargo, es una consecuencia directa de la nueva doctrina de que los bienes sólo deben considerarse en sus relaciones directas mutuas —y no con los consumidores—. Yo preguntaría: ¿qué sería de la demanda de bienes si todo el consumo, excepto el pan y el agua se suspendiera durante la próxima mitad del año. ¡Qué acumulación de mercancías! Quels débouchés! ¡Qué prodigioso mercado ocasionaría esto![169]

 

Ricardo, sin embargo, cerró los oídos a lo que decía Malthus. El último eco de la controversia se encuentra en la exposición de John Stuart Mill de su teoría del fondo de salarios,[170] que él consideraba una parte vital en su repulsa de la última fase de Malthus, en medio de las discusiones en que, por supuesto, se había educado. Los sucesores de Mill repudiaron su teoría del fondo de salarios, pero olvidaron el hecho de que la refutación de Mill a Malthus dependía de ella. Su método consistía en descartar el problema del corpus de la economía, no resolviéndolo, sino dejando de mencionarlo. Desapareció por entero de la controversia. El señor Cairncross, buscando su rastro recientemente entre las figuras secundarias de la época victoriana,[171] ha encontrado menos aún, quizá, de lo que podría haberse esperado.[172] Las teorías del subconsumo se limitaron a vegetar hasta la aparición de The Physiology of Industry, de J. A. Hobson y A. F. Mummery, en 1889, el primero y más importante de muchos volúmenes en los cuales, por cerca de cincuenta años, el profesor Hobson se ha pronunciado con persistente pero casi infructuoso entusiasmo y valor contra los baluartes de la ortodoxia. Aunque completamente olvidado en la actualidad, la publicación de este libro marca, en cierto sentido, una época en el pensamiento económico.[173]

The Physiology of Industry se escribió en colaboración con A. F. Mummery. Hobson ha dicho cómo llegó a escribirse el libro en la siguiente forma:[174]

 

No fue hasta mediados de los ochenta cuando mi heterodoxia económica comenzó a tomar cuerpo. Aunque la campaña de Henry George contra los valores de la tierra y la prematura agitación de varios grupos socialistas contra la visible opresión de las clases trabajadoras, unidas a las revelaciones de los dos Booths sobre la pobreza de Londres, hizo profunda impresión en mis sentimientos, no destruyeron mi fe en la economía política. Esto fue un hecho puramente accidental: cuando estaba enseñando en una escuela de Exeter, trabé relaciones personales con un hombre de negocios llamado Mummery, conocido entonces y posteriormente como un gran alpinista que había descubierto otro camino al Matterhorn y quien, en 1895, murió en un intento de escalar el famoso monte del Himalaya Nanga Parbat. Mis relaciones con él no se referían a este aspecto físico, naturalmente; pero era un alpinista mental igualmente vigoroso, con visión natural para encontrar su propio camino y tenía una sublime indiferencia por la autoridad intelectual. Este hombre me enredó en una controversia sobre el ahorro excesivo, que él consideraba responsable del subempleo de capital y trabajo en periodos malos para el comercio. Por mucho tiempo traté de contrarrestar sus razones con el uso de armas económicas ortodoxas; pero al fin y el cabo me convirtió y colaboré con él en la elaboración del argumento relativo al exceso de ahorro en un libro titulado The Physiology of Industry, que se publicó en 1889. Éste fue el primer paso que di abiertamente en mi carrera herética y no advertí en absoluto sus trascendentales consecuencias; porque precisamente por ese tiempo acababa de abandonar mi puesto escolar e iniciaba un nuevo trabajo como conferenciante de la Extensión Universitaria en Economía y Literatura. El primer choque sobrevino con una prohibición de la Junta de la Extensión de Londres que no me permitió dar cursos de economía política. Esto se debió, según supe, a la intervención de un profesor de economía que había leído mi libro y lo consideró como equivalente, en racionalidad, a un intento de probar que la tierra es plana. ¿Cómo podría haber un límite al monto del ahorro útil cuando cada partida del mismo iba a aumentar la estructura de capital y el fondo para el pago de salarios? Los economistas sensatos no podían dejar de observar con horror un argumento que trataba de cegar la fuente de todo progreso industrial.[175] Otra experiencia personal interesante me ayudó a darme cuenta de mi iniquidad. Aunque se me impidió explicar economía en Londres, me fue permitido, por la mayor liberalidad del Movimiento de Extensión Universitaria de Oxford, dar conferencias en las provincias, limitándome a problemas prácticos sobre la vida de la clase trabajadora. Ocurrió por entonces que la Charity Organization Society estaba planeando una campaña de conferencias sobre temas económicos y me invitó a preparar un curso. Yo había dicho que estaba dispuesto a emprender ese nuevo trabajo, cuando de repente y sin explicación alguna me fue retirada la invitación. Todavía me costó trabajo comprender en aquella ocasión que había cometido un pecado imperdonable al poner en duda la bondad de la frugalidad ilimitada.

 

En este primer trabajo el señor Hobson, con su colaborador, se expresó haciendo referencia más directa a la economía clásica (en la que había sido educado) que en sus escritos posteriores; por esta razón, y también porque es la primera expresión de su teoría, haré citas de la misma para demostrar cuán importantes y bien fundadas eran las críticas y las intuiciones de los autores. Señalan en su prefacio la naturaleza de las conclusiones que impugnan, en la forma siguiente:

 

El ahorro enriquece y los gastos empobrecen a la comunidad al mismo tiempo que a los individuos y puede considerarse como aserto que la ambición efectiva de dinero es la raíz de todo bienestar económico. No solamente enriquece al individuo ahorrativo, sino que eleva su salario, da trabajo a los desocupados y extiende sus beneficios por todas partes. Desde los periódicos diarios hasta el último tratado de economía, desde el púlpito hasta la Cámara de los Comunes, se reitera esta conclusión y se repite hasta que resulta positivamente impío dudar de ella. Sin embargo, el mundo educado, apoyado por la mayoría de los pensadores económicos, hasta la publicación del trabajo de Ricardo, negó enérgicamente esta doctrina y su aceptación se debió, exclusivamente y en último término, a su incapacidad para enfrentarse a la hoy desechada doctrina del fondo de salarios. El que la conclusión hubiera sobrevivido al argumento sobre el que se basaba lógicamente no puede explicarse con otra hipótesis más que la de la autoridad arrolladora de los grandes hombres que la expusieron. La crítica económica se ha aventurado a atacar la teoría en detalle, pero ha retrocedido aterrada antes de tocar sus conclusiones más importantes. Nuestro propósito es demostrar que estas conclusiones no son sostenibles, que es posible un ejercicio indebido del hábito del ahorro y que esto empobrece a la comunidad, deja sin ocupación a trabajadores, abate los salarios y esparce por todo el mundo comercial esa melancolía y postración que se conoce con el nombre de depresión de los negocios…

El objeto de la producción es proporcionar “utilidades y comodidades” a los consumidores, y el proceso es continuo desde las primeras manipulaciones de la materia prima hasta el momento en que se consume como una utilidad o una comodidad. Siendo el único uso del capital ayudar a la producción de estas utilidades y comodidades, el total que se usa variará necesariamente con el conjunto de las que se consumen diaria o semanalmente. Ahora bien, el ahorro, al mismo tiempo que aumenta la existencia global de capital, reduce el volumen de utilidad y comodidades consumidas; cualquier ejercicio indebido de este hábito debe, por tanto, ocasionar una acumulación de capital por encima del que se necesita, y el excedente se manifestará en forma de sobreproducción general.[176]

En la última parte de este pasaje aparece la raíz del error de Hobson, es decir, el supuesto de que el ahorro excesivo es el que ocasiona la acumulación real de capital por encima de la que se requiere, lo que, de hecho, es un mal secundario que sólo se produce por errores de previsión; en tanto que el inconveniente principal es la propensión a ahorrar, cuando hay plena ocupación, más del equivalente del capital necesario, impidiendo así llegue a alcanzarse ese estado de ocupación, excepto cuando hay errores en las expectativas. Sin embargo, una o dos páginas más adelante presenta, a mi modo de ver, la mitad del problema con absoluta precisión, bien que olvidando todavía el posible papel de los cambios en la tasa de interés y en la situación de la confianza de los negocios, factores que probablemente toma como dados:

 

Así llegamos a la conclusión de que las bases sobre las cuales se ha sustentado toda la enseñanza económica desde Adam Smith, a saber, que la cantidad producida cada año se determina por los volúmenes totales disponibles de agentes naturales, capital y trabajo, es errónea; y que, por el contrario, si bien no es posible que la cantidad producida exceda jamás los límites impuestos por estos agregados, puede reducirse, y de hecho se reduce, mucho más allá de este máximo, por el freno que el ahorro indebido y la consiguiente acumulación de excedentes de la oferta ejercen sobre la producción; es decir, que, en el estado normal de las comunidades industriales modernas, el consumo limita la producción y no la producción el consumo[177]

 

Finalmente observa la relación de su teoría con la validez de los argumentos del librecambio ortodoxo:

 

También notamos que el cargo de imbecilidad comercial que con tanta frecuencia hacen los economistas ortodoxos a nuestros primos los norteamericanos y a otras comunidades proteccionistas, no puede sostenerse por más tiempo por ninguno de los argumentos pro librecambismo aducidos hasta ahora, desde el momento que todos ellos están basados en el supuesto de la imposibilidad del exceso de la oferta.[178]

 

 El argumento que sigue es a todas luces incompleto; pero es la primera exposición explícita del hecho de que el capital se forma no por la propensión a ahorrar, sino como respuesta a la demanda resultante del consumo actual y el probable. La siguiente cita, reuniendo trozos dispersos, indica el sentido de la idea:

 

Debiera estar claro que el capital de una comunidad no puede aumentarse con ventaja sin un crecimiento subsecuente del consumo de mercancías… Cada aumento del ahorro y del capital requiere, para ser eficaz, una elevación correspondiente en el consumo inmediatamente futuro…[179] Y cuando decimos consumo futuro no queremos decir dentro de diez, veinte o cincuenta años, sino en un futuro muy poco alejado del presente… Si el incremento de frugalidad o de precaución induce a la gente a ahorrar más en el presente, tiene que consentir en consumir más en el futuro…[180] En cualquier momento del proceso productivo no puede existir económicamente más capital que el requerido para proporcionar bienes para el ritmo actual del consumo:…[181] Es evidente que mi frugalidad no afecta en manera alguna la frugalidad económica total de la comunidad, sino que sólo determina si una parte concreta de la frugalidad total será ejercida por mí o por algún otro. Ahora veremos cómo la frugalidad de una parte de la comunidad puede obligar a la otra a vivir gastando más de lo que sus ingresos le permiten…[182] La mayor parte de los economistas modernos niega que el consumo tenga posibilidad alguna de ser insuficiente. ¿Podemos descubrir la actuación de alguna fuerza económica capaz de incitar a una comunidad a este exceso?, y, de existir alguna de esas fuerzas ¿no proporciona el mecanismo del comercio frenos eficaces? Se demostrará, en primer lugar, que en toda sociedad industrial muy organizada actúa sin interrupción una fuerza que induce a un exceso de frugalidad; en segundo, que los obstáculos que se dice provee el mecanismo del comercio, son por completo inoperantes o inadecuados para evitar que se produzcan graves daños comerciales…[183] La breve respuesta de Ricardo a los argumentos de Malthus y Chalmers parece haber sido aceptada como suficiente por la mayoría de los economistas posteriores. “La producción se compra siempre con producción o con servicios; el dinero sólo es el medio que sirve para efectuar el cambio. En consecuencia, estando acompañado siempre su aumento por la correspondiente habilidad mayor para adquirir y consumir, no queda posibilidad alguna de sobreproducción.” (Ricardo, Prin. of Pol. Econ., p. 362.)[184]

 

Hobson y Mummery se daban cuenta de que el interés no era sino un pago por el uso del dinero.[185] Sabían, asimismo, que sus opositores alegarían que habría “una baja tal en la tasa de interés (o ganancia) que actuaría como freno sobre el ahorro y restauraría la relación propia entre la producción y el consumo”.[186] En respuesta a esto dicen que “para que una baja de la ganancia induzca a la gente a ahorrar menos, tiene que operar en una de estas dos formas: o induciéndola a gastar más o a producir menos”.[187] Respecto a lo primero, sostienen que cuando las ganancias bajan, el ingreso global de la comunidad se reduce, y que “no podemos suponer que cuando la tasa media de los ingresos va en descenso, los individuos tendrán aliciente para aumentar su ritmo de consumo por el hecho de que el premio a la frugalidad disminuye en proporción”; mientras que, para la segunda alternativa, “está tan lejos ser nuestra intención el negar que un descenso de la ganancia, debido al exceso de oferta, frenará la producción, que el admitir la influencia activa de este obstáculo constituye la esencia misma de nuestro argumento”.[188] Sin embargo, su doctrina no era completa, especialmente por carecer de una teoría independiente de la tasa de interés; con el resultado de que el señor Hobson puso demasiado énfasis (especialmente en sus últimos libros) en el subconsumo como causa de la sobreinversión, en el sentido de inversión incosteable, en vez de explicar que una propensión relativamente débil a consumir ayuda a producir desocupación porque exige y no consigue la compañía de un volumen compensador de nuevas inversiones, lo cual, aun en el caso de que ocurra algunas veces temporalmente como consecuencia de errores de optimismo, es impedido generalmente y de modo completo por la baja de las ganancias probables a nivel inferior al establecido por la tasa de interés.

A partir de la guerra ha habido un diluvio de teorías heréticas de subconsumo, de las cuales las más famosas son las del mayor Douglas. La fuerza de la tesis del mayor Douglas ha dependido considerablemente, por supuesto, de que la ortodoxia no tiene respuesta válida para buena parte de su crítica destructiva. Por otra parte, su diagnóstico detallado, particularmente el llamado teorema A + B, está en su mayor parte formado de mistificaciones. Si el mayor Douglas hubiera limitado sus partidas B a las reservas financieras de los empresarios a las que no corresponde gasto corriente en reposiciones o renovaciones, estaría más cerca de la verdad. Pero aun en ese caso es necesario dejar cierto margen para la posibilidad de que estas reservas estén contrarrestadas por nuevas inversiones en otros sentidos, así como por el aumento de los gastos en el consumo. El mayor Douglas tiene derecho a pretender, en contra de algunos de sus adversarios ortodoxos, que por lo menos no se ha olvidado de una manera tan cabal del problema más prominente de nuestro sistema económico. Sin embargo, no tiene derecho a la misma graduación —quizá pueda considerársele como soldado raso, pero no como mayor en el bravo ejército de los herejes— que Mandeville, Malthus, Gesell y Hobson, quienes siguiendo sus intuiciones, han preferido ver la verdad obscura e imperfectamente en vez de sostener un error, alcanzado ciertamente con claridad y consistencia y por medio de lógica sencilla, pero con hipótesis inadecuadas a los hechos.

 


 * 

CAPÍTULO 24

NOTAS FINALES SOBRE LA FILOSOFÍA SOCIAL A QUE PODRÍA CONDUCIR LA TEORÍA GENERAL

I

LOS PRINCIPALES INCONVENIENTES DE LA SOCIEDAD económica en que vivimos son su incapacidad para procurar la ocupación plena y su arbitraria y desigual distribución de la riqueza y los ingresos. Es evidente el nexo de la teoría anteriormente expuesta con lo primero; pero también es importante para lo segundo en dos aspectos.

Desde fines del siglo XIX se ha logrado considerable progreso en la eliminación de las grandes diferencias de riqueza y de ingresos por medio de la imposición directa — impuesto sobre los ingresos e impuestos sobre herencias—, especialmente en la Gran Bretaña. Muchos desearían llevar este proceso mucho más lejos, pero se lo impiden dos reflexiones: el temor de hacer de la evasión hábil un negocio demasiado atractivo y también de disminuir indebidamente el incentivo de correr riesgos; pero, principalmente, en mi opinión, por la creencia de que el crecimiento del capital depende del vigor de las razones que impulsan al ahorro individual y que una gran proporción de ese crecimiento depende de los ahorros que hagan los ricos de lo que les sobra. Nuestro razonamiento no afecta la primera de estas reflexiones; pero puede modificar considerablemente la actitud que asumamos hacia la segunda, pues ya hemos visto que hasta que se llegue a la ocupación plena, el crecimiento del capital no depende en absoluto de la escasa propensión a consumir, sino que, por el contrario, ésta lo estorba, y sólo en condiciones de ocupación plena, una pequeña propensión a consumir puede conducir al aumento del capital. Además, la experiencia sugiere que, en las condiciones existentes, el ahorro por medio de instituciones y de fondos de reserva es más que adecuado, y que las medidas tendientes a redistribuir los ingresos de una forma que tenga probabilidades de elevar la propensión a consumir pueden ser positivamente favorables al crecimiento del capital.

La confusión que priva en la mente del público sobre este asunto se pone de relieve por la creencia generalizada de que los impuestos sobre herencias son los responsables de la reducción de la riqueza de capital de un país. Suponiendo que el estado aplique los productos de estos impuestos a sus gastos ordinarios, de manera que los impuestos sobre ingresos y sobre el consumo se reduzcan o se eviten proporcionalmente, es claro que una política fiscal de altos impuestos sobre herencias tiene el efecto de aumentar la propensión a consumir de la comunidad. Pero como un crecimiento de la propensión habitual a consumir servirá en términos generales (es decir, excepto en condiciones de ocupación plena) para aumentar al mismo tiempo el aliciente para invertir, la inferencia que comúnmente se hace es precisamente la opuesta a la verdad.

De este modo nuestro razonamiento lleva a la conclusión de que, en las condiciones contemporáneas, el crecimiento de la riqueza, lejos de depender de la abstinencia de los ricos, como generalmente se supone, tiene más probabilidades de encontrar en ella un impedimento. Queda, pues, eliminada una de las principales justificaciones sociales de la gran desigualdad de la riqueza. No digo que no haya otras razones, inafectadas por nuestra teoría, que sean capaces de justificar cierta desigualdad en determinadas circunstancias. Pero elimina la razón más importante que hasta ahora nos ha hecho pensar en la prudencia de avanzar con cautela. Esto afecta particularmente nuestra actitud hacia los impuestos sobre herencias; porque existen ciertas justificaciones de la desigualdad de ingresos que no pueden aplicarse a la de herencias.

Por mi parte creo que hay justificación social y psicológica de grandes desigualdades en los ingresos y en la riqueza, pero no para tan grandes disparidades como existen en la actualidad. Hay valiosas actividades humanas cuyo desarrollo exige la existencia del estímulo de hacer dinero y la atmósfera de la propiedad privada de riqueza. Además, ciertas inclinaciones humanas peligrosas pueden orientarse por cauces comparativamente inofensivos con la existencia de oportunidades para hacer dinero y tener riqueza privada, que, de no ser posible satisfacerse de este modo, pueden encontrar un desahogo en la crueldad, en temeraria ambición de poder y autoridad y otras formas de engrandecimiento personal. Es preferible que un hombre tiranice su saldo en el banco que a sus conciudadanos; y aunque se dice algunas veces que lo primero conduce a lo segundo, en ocasiones, por lo menos, es una alternativa. Pero para estimular estas actividades y la satisfacción de estas inclinaciones no es necesario que se practique el juego con apuestas y riesgos tan grandes como ahora. Apuestas y riesgos mucho menores pueden servir para el caso, con el mismo resultado, tan pronto como los jugadores se acostumbren a ellos. La tarea de transmutar la naturaleza humana no debe confundirse con la de manejarla; aunque en el estado ideal los hombres pueden haber sido enseñados, inspirados o educados de manera que no se interesen en tales apuestas, aún puede ser sensato y prudente para un estadista permitir que se practique el juego, bien que sujeto a reglas y limitaciones en tanto que el común de los hombres, o por lo menos una parte importante de la comunidad, se adhiera de hecho y fuertemente a la pasión de hacer dinero.

II

Sin embargo, del argumento se puede sacar otra conclusión más fundamental, relacionada con las futuras desigualdades de riqueza; a saber, nuestra teoría del interés. Hasta aquí hemos encontrado la justificación de una tasa de interés moderadamente alta en la necesidad de dar suficiente estímulo al ahorro; pero hemos demostrado que la extensión del ahorro efectivo está determinada necesariamente por el volumen de inversión y que éste se fomenta por medio de una tasa de interés baja, a condición de que no intentemos alentarla de este modo hasta más allá del nivel que corresponde a la ocupación plena. Así, lo que más nos conviene es reducir la tasa de interés hasta aquel nivel en que haya, proporcionalmente a la curva de la eficiencia marginal del capital, ocupación plena.

No puede haber duda de que este criterio servirá para hacer bajar la tasa de interés mucho más allá del nivel que hasta ahora ha privado; y, en la medida en que pueden adivinarse las diversas curvas de eficiencia marginal del capital que corresponden a cantidades crecientes de éste, es probable que la tasa de interés se reduzca en forma sostenida, si fuera posible mantener condiciones de ocupación plena con mayor o menor fijeza —desde luego, a menos que haya una modificación excesiva en la propensión global a consumir (incluyendo al estado).

Estoy seguro de que la demanda de capital está limitada estrictamente en el sentido de que no sería difícil aumentar la existencia del mismo hasta que su eficiencia marginal descendiera a una cifra muy baja. Esto no querría decir que el uso de instrumentos de capital no costase casi nada, sino sólo que su rendimiento habría de cubrir poco más que su agotamiento por desgaste y obsolescencia, más cierto margen para cubrir el riesgo y el ejercicio de la habilidad y el juicio. En resumen, el rendimiento global de los bienes durables durante toda su vida cubriría justamente, como en el caso de los de corta duración, los costos de trabajo de la producción más un margen para el riesgo y el costo de la habilidad y la supervisión.

Ahora bien, aunque este estado de cosas sería perfectamente compatible con cierto grado de individualismo , significaría, sin embargo, la eutanasia del rentista y, en consecuencia, la del poder de opresión acumulativo del capitalista para explotar el valor de escasez del capital. Hoy el interés no recompensa de ningún sacrificio genuino como tampoco lo hace la renta de la tierra. El propietario de capital puede obtener interés porque aquél escasea, lo mismo que el dueño de la tierra puede percibir renta debido a que su provisión es limitada; pero mientras posiblemente haya razones intrínsecas para la escasez de tierra, no las hay para la de capital. Una razón intrínseca para semejante limitación, en el sentido de un sacrificio genuino que sólo pudiera originarse por la oferta de una recompensa en forma de interés, no existiría, a la larga, excepto en el caso de que la propensión individual a consumir demostrara ser de tal carácter que el ahorro neto, en condiciones de ocupación plena, terminara antes de que el capital hubiera llegado a ser lo bastante abundante. Pero aun así, todavía sería posible que el ahorro colectivo pudiera mantenerse, por medio de la intervención del estado, a un nivel que permitiera el crecimiento del capital hasta que dejara de ser escaso.

Veo, por tanto, el aspecto rentista del capitalismo como una fase transitoria que desaparecerá tan pronto como haya cumplido su destino y con la desaparición del aspecto rentista sufrirán un cambio radical otras muchas cosas que hay en él. Además, será una gran ventaja en el orden de los acontecimientos que defiendo, que la eutanasia del rentista, del inversionista que no tiene ninguna misión, no será algo repentino, sino una continuación gradual aunque prolongada de lo que hemos visto recientemente en Gran Bretaña, y no necesitará de un movimiento revolucionario.

Por tanto, en la práctica podríamos proponernos (y esto no tiene nada de imposible) lograr un aumento en el volumen de capital hasta que deje de ser escaso, de manera que el inversionista sin funciones no reciba ya bonificación alguna; y elaborar un plan de imposición directa que deje a la inteligencia, a la determinación, a la habilidad ejecutiva del financiero, al empresario et hoc genus omne (que seguramente están tan orgullosos de su función que su trabajo podría obtenerse mucho más barato que ahora) servir activamente a la comunidad en condiciones razonables de remuneración.

Al mismo tiempo debemos reconocer que sólo la experiencia puede mostrar hasta qué punto la voluntad popular, incorporada a la política del estado, debiera dirigirse al aumento y refuerzo del aliciente para invertir; y hasta qué punto es prudente estimular la propensión media a consumir, sin abandonar nuestro objetivo de privar al capital de su valor de escasez en una o dos generaciones. Puede resultar que la propensión a consumir se fortalezca con tanta facilidad por los efectos de una tasa de interés descendente, que pueda alcanzarse la ocupación plena con una tasa de acumulación poco mayor que la presente. En este caso, un plan para recargar más con impuestos a los grandes ingresos y herencias podría estar expuesta a la objeción de que llevaría a la ocupación plena con una tasa de acumulación considerablemente inferior al nivel corriente. No debe suponerse que yo niegue la posibilidad, o aun la probabilidad, de este resultado; porque en semejantes asuntos resulta temerario predecir cómo reaccionará la generalidad de los hombres ante un cambio en el medio ambiente. Sin embargo, si fuera fácil alcanzar una aproximación a la ocupación plena con una tasa de acumulación no mucho mayor que la presente, por lo menos se habría resuelto un problema de relieve, quedando pendiente para decidir por separado la proporción y los medios según los cuales es debido y razonable hacer un llamamiento a la generación actual para que restrinja su consumo, de manera que pueda lograrse, a través del tiempo, el estado de inversión completa para sus descendientes.

III

Las consecuencias de la teoría expuesta son moderadamente conservadoras en otros respectos, pues si bien indica la importancia vital de establecer ciertos controles centrales en asuntos que actualmente se dejan casi por completo en manos de la iniciativa privada, hay muchos campos de actividad a los que no afecta. El estado tendrá que ejercer una influencia orientadora sobre la propensión a consumir, a través de su sistema de impuestos, fijando la tasa de interés y, quizá, por otros medios. Por otra parte, parece improbable que la influencia de la política bancaria sobre la tasa de interés sea suficiente por sí misma para determinar otra de inversión óptima. Creo, por tanto, que una socialización bastante completa de las inversiones será el único medio de aproximarse a la ocupación plena; aunque esto no necesita excluir cualquier forma, transacción o medio por los cuales la autoridad pública coopere con la iniciativa privada. Pero fuera de esto, no se aboga francamente por un sistema de socialismo de estado que abarque la mayor parte de la vida económica de la comunidad. No es la propiedad de los medios de producción la que conviene al estado asumir. Si éste es capaz de determinar el monto global de los recursos destinados a aumentar esos medios y la tasa básica de remuneración de quienes los poseen, habrá realizado todo lo que le corresponde. Además, las medidas indispensables de socialización pueden introducirse gradualmente sin necesidad de romper con las tradiciones generales de la sociedad.

Nuestra crítica de la teoría económica clásica aceptada no ha consistido tanto en buscar los defectos lógicos de su análisis, como en señalar que los supuestos tácticos en que se basa se satisfacen rara vez o nunca, con la consecuencia de que no puede resolver los problemas económicos del mundo real. Pero si nuestros controles centrales logran establecer un volumen global de producción correspondiente a la ocupación plena tan aproximadamente como sea posible, la teoría clásica vuelve a cobrar fuerza de aquí en adelante. Si damos por sentado el volumen de la producción, es decir, que está determinado por fuerzas exteriores al esquema clásico de pensamiento, no hay objeción que oponer contra su análisis de la manera en que el interés personal determinará lo que se produce, en qué proporciones se combinarán los factores de la producción con tal fin y cómo se distribuirá entre ellos el valor del producto final. Insistimos en que si nos hemos ocupado del problema de la frugalidad de una manera diferente, no hay objeción que oponer a la teoría clásica moderna por lo que respecta al grado de conciliación entre las ventajas públicas y privadas, en condiciones de competencia perfecta e imperfecta, respectivamente. De este modo, fuera de la necesidad de controles centrales para lograr el ajuste entre la propensión a consumir y el aliciente para invertir no hay más razón para socializar la vida económica que la que existía antes.

De una manera concreta no veo razón para suponer que el sistema existente emplee mal los factores de producción que se utilizan. Por supuesto que hay errores de previsión; pero éstos no podrían evitarse centralizando las decisiones. Cuando de 10 millones de hombres deseosos de trabajar y hábiles para el caso están empleados 9 millones, no existe nada que permita afirmar que el trabajo de estos 9 millones esté mal empleado. La queja en contra del sistema presente no consiste en que estos 9 millones deberían estar empleados en tareas diversas, sino en que las plazas debieran ser suficientes para el millón restante de hombres. En lo que ha fallado el sistema actual ha sido en determinar el volumen del empleo efectivo y no su dirección.

Por eso coincido con Gesell en que al llenar los vacíos de la teoría clásica no se echa por tierra el “sistema de Mánchester”, sino que se indica la naturaleza del medio que requiere el libre juego de las fuerzas económicas para realizar al máximo toda la potencialidad de la producción. Los controles centrales necesarios para alcanzar la ocupación plena llevan consigo, por supuesto, una gran parte de las funciones tradicionales del gobierno. Además, la teoría clásica moderna ha llamado ella misma la atención sobre las variadas condiciones en que el libre juego de las fuerzas económicas puede necesitar que se las restrinja o guíe: pero todavía quedará amplio campo para el ejercicio de la iniciativa y la responsabilidad privadas. Dentro de ese campo seguirán siendo válidas aún las ventajas tradicionales del individualismo.

Detengámonos por un momento a recordar cuáles son estas ventajas. En parte lo son de eficacia —las de la descentralización y del juego del interés personal—. Desde el punto de vista de la eficacia, las ventajas de la descentralización de las decisiones y de la responsabilidad individual son mayores aún, quizá, de lo que el siglo XIX supuso; y la reacción contra el llamado al interés personal puede haber ido demasiado lejos. Pero, por encima de todo, el individualismo es la mejor salvaguarda de la libertad personal si puede ser purgado de sus defectos y abusos, en el sentido de que, comparado con cualquier otro sistema, amplía considerablemente el campo en que puede manifestarse la facultad de elección personal. También es la mejor protección de la vida variada, que brota precisamente de este extendido campo de la facultad de elección, cuya pérdida es la mayor de las desgracias del estado homogéneo o totalitario; porque esta variedad preserva las tradiciones que encierran lo que de más seguro y venturoso escogieron las generaciones pasadas, colorea el presente con las diversificaciones de su fantasía y, siendo subordinada inseparable de la experiencia, así como de la tradición y la imaginación, es el instrumento más poderoso para mejorar el futuro.

Por consiguiente, mientras el ensanchamiento de las funciones de gobierno, que supone la tarea de ajustar la propensión a consumir con el aliciente para invertir, parecería a un publicista del siglo XIX o a un financiero norteamericano contemporáneo una limitación espantosa al individualismo, yo las defiendo, por el contrario, tanto porque son el único medio practicable de evitar la destrucción total de las formas económicas existentes, como por ser condición del funcionamiento afortunado de la iniciativa individual.

Porque si la demanda efectiva es deficiente, no sólo resulta intolerable el escándalo público de los recursos desperdiciados, sino que el empresario individual que procura ponerlos en acción opera en lucha desigual contra todas las fuerzas contrarias. El juego de azar que practica está plagado de ceros, de tal manera que los jugadores, en conjunto, perderán si tienen la energía y la fe suficientes para jugar todas las cartas. Hasta ahora el crecimiento de la riqueza mundial ha sido menor que el conjunto de ahorros positivos de los individuos, y la diferencia se ha compuesto de las pérdidas de aquellos cuyo valor e iniciativa no se han completado con habilidad excepcional o desusada buena fortuna. Pero si la demanda efectiva es adecuada, bastará con la habilidad y la buena suerte ordinarias.

Los sistemas de los estados totalitarios de la actualidad parecen resolver el problema de la desocupación a expensas de la eficacia y la libertad. En verdad el mundo no tolerará por mucho tiempo más la desocupación que, aparte de breves intervalos de excitación, es asociada —y en mi opinión inevitablemente— con el individualismo capitalista de estos tiempos; pero puede ser posible que la enfermedad se cure por medio de un análisis adecuado del problema, conservando al mismo tiempo la eficiencia y la libertad.

IV

De paso he dicho que el nuevo sistema podría ser más favorable a la paz de lo que lo ha sido el viejo. Vale la pena repetir y subrayar ese aspecto.

La guerra tiene varias causas. Los dictadores y personas semejantes, a quienes la guerra ofrece, por lo menos en calidad de esperanza, una excitación placentera, no encuentran dificultad en fomentar la belicosidad natural de sus pueblos; pero, por encima de esto, facilitando su tarea de excitar la llama popular, están las causas económicas de la guerra, es decir, el empuje de la población y la competencia por los mercados. El que interesa aquí es el segundo factor, que representó papel predominante en el siglo XIX y podría volver a representarlo.

En el capítulo anterior hice ver que, bajo el sistema de laissez-faire nacional y el patrón oro internacional, que era el ortodoxo en la segunda mitad del siglo XIX, no había medio disponible de que pudiera echar mano el gobierno para mitigar la miseria económica en el interior, excepto el de la competencia por los mercados; porque se desechaban todas las medidas que pudieran ayudar a un estado de desocupación crónica o subocupación intermitente, excepto las que servían para mejorar la balanza comercial en las partidas relativas a ingresos por la exportación de mercancías y servicios.

De este modo, mientras los economistas estaban acostumbrados a aplaudir el sistema internacional que prevalecía, como el que proporcionaba los frutos de la división internacional del trabajo y armonizaba al mismo tiempo los intereses de las diversas naciones, ocultamente existía un influjo menos benigno; los estadistas que creían que si un país viejo y rico descuidaba la lucha por los mercados, su prosperidad decaería y se malograría, se encontraban bajo la influencia del sentido común y de la percepción correcta del verdadero curso de los acontecimientos. Pero si bien las naciones pueden aprender a procurarse la ocupación plena con su política interna (y, debemos añadir, si pueden lograr también el equilibrio en la tendencia de su población), no se necesita que haya fuerzas económicas importantes destinadas a enfrentar el interés de un país con el de sus vecinos. Todavía quedaría lugar para la división internacional del trabajo y para el crédito internacional en condiciones adecuadas; pero ya no existiría motivo apremiante para que un país necesite forzar sus mercancías sobre otro o rehusar las ofertas de sus vecinos, no porque esto fuese necesario para capacitarlo con el fin de pagar por lo que deseara comprar, sino con el objeto expreso de modificar el equilibrio de la balanza de pagos de manera que la balanza de comercio se inclinara en su favor. El comercio internacional dejaría de ser lo que es, a saber, un expediente desesperado para mantener la ocupación en el interior, forzando las ventas en los mercados extranjeros y restringiendo las compras, lo que de tener éxito, simplemente desplazaría el problema de la desocupación hacia el vecino que estuviera peor dotado para la lucha, y vendría a convertirse en un libre intercambio de bienes y servicios mutuamente ventajoso.

V

¿Será un esperanza visionaria la realización de estas ideas? ¿Tienen raíces insuficientes en las razones que gobiernan la evolución de la sociedad política? ¿Son más fuertes y obvios los intereses que contrarían que aquellos a los que favorecen?

No intento dar la respuesta en este lugar. Se necesitaría un volumen de carácter distinto al de éste para indicar, aun en esquema, las medidas prácticas que podrían darles cuerpo; pero, si las ideas son correctas —hipótesis sobre la cual el autor mismo tiene que basar lo que escribe—, sería un error, lo predigo, discutir su fuerza en un periodo determinado. En el momento actual, la gente está excepcionalmente deseosa de un diagnóstico más fundamental; más particularmente dispuesta a recibirlo; ávida de ensayarlo, con tal que fuera por lo menos verosímil. Pero fuera de este talante contemporáneo, las ideas de los economistas y los filósofos políticos, tanto cuando son correctas como cuando están equivocadas, son más poderosas de lo que comúnmente se cree. En realidad el mundo está gobernado por poco más que esto. Los hombres prácticos, que se creen exentos por completo de cualquier influencia intelectual, son generalmente esclavos de algún economista difunto. Los maniáticos de la autoridad, que oyen voces en el aire, destilan su frenesí inspirados en algún mal escritor académico de algunos años atrás. Estoy seguro de que el poder de los intereses creados se exagera mucho comparado con la intrusión gradual de las ideas. No, por cierto, en forma inmediata, sino después de un intervalo; porque en el campo de la filosofía económica y política no hay muchos que estén influidos por las nuevas teorías cuando pasan de los veinticinco o treinta años de edad, de manera que las ideas que los funcionarios públicos y políticos, y aun los agitadores, aplican a los acontecimientos actuales, no serán probablemente las más novedosas. Pero, tarde o temprano, son las ideas y no los intereses creados las que presentan peligros, tanto para bien como para mal.

 


 * 

APÉNDICE I

ERRATAS DE LA PRIMERA EDICIÓN EN INGLÉS (1936) que se corrigieron en la edición en inglés de MacMillan, Cambridge University Press, 1973, y que se corrigen en la presente edición en español.

 Página Línea Corrección

61 28 “su posesión” por “sus posesiones”

118 12 “23” por “19”

204 24 “producción” por “la existencia de bienes en general”

238 33 “la distinta técnica” por “nuevas técnicas”

302 17 “El pensamiento mercantilista” por “El pensamiento de los mercantilistas”

Estas erratas salieron a la luz al preparar varias ediciones extranjeras de la Teoría de la ocupación, el interés y el dinero en idiomas diferentes al inglés, al preparar también las varias versiones de los primeros borradores que se presentan en el volumen XIV de The Collected Writings of John Maynard Keynes y al estar revisando este libro para su impresión. Las correcciones no comprenden errores más substanciales, como la presentación poco satisfactoria de la oferta y la demanda agregadas en las páginas 36 y 37 o la inadecuada derivación de las ecuaciones de las páginas 270 a 271.

 


 * 

APÉNDICE II

Tomado de The Economic Journal, septiembre de 1936

FLUCTUACIONES DE LA INVERSIÓN NETA EN ESTADOS UNIDOS

 

EN MI TEORÍA GENERAL DE LA OCUPACIÓN, EL INTERÉS Y EL DINERO, capítulo 8, páginas 87 a 101, hice un breve intento por ejemplificar el amplio alcance de las fluctuaciones de la inversión neta, basándome en ciertos cálculos de Colin Clark, de Gran Bretaña, y de Kuznets, de Estados Unidos.[189]

En el caso de las cifras de Kuznets, señalé que lo que él tenía en cuenta para la depreciación y demás conceptos de la segunda partida no incluía “ninguna deducción en absoluto con respecto a las casas y otras mercancías duraderas en manos de los individuos” (p. 120), pero el cuadro que se presentaba inmediatamente después no le dejaba al lector suficientemente en claro que el primer renglón, que se relacionaba con la “formación bruta de capital”, comprendía categorías muchos más amplias de bienes de capital que el segundo renglón, relacionado con los gastos de los empresarios en depreciación y demás conceptos de la segunda partida; y yo mismo me confundí en la página siguiente, en la que expresé dudas con respecto a la suficiencia de la segunda partida en relación con la primera (olvidando que la segunda se relaciona sólo con una parte de la primera). El resultado fue que en el cuadro, tal como se imprimió, se subestimaba considerablemente la fuerza del fenómeno que me interesaba describir, pues un cálculo completo con respecto a la depreciación y demás conceptos de la segunda partida que cubriera todos los elementos del primer renglón del cuadro nos llevaría a cifras mucho mayores que las dadas en el segundo renglón. Algunas cartas intercambiadas con Kuznets me hacen posible ahora explicar esas importantes cifras en forma más completa y clara, a la luz también de información posterior.

Kuznets divide su agregado de formación bruta de capital (como él lo llama) en Estados Unidos en varias categorías, como sigue:

 

(1)  Mercancías duraderas de los consumidores

 

Esta categoría comprende los automóviles, los muebles y los artículos para la casa, así como otros artículos más o menos duraderos que compran quienes los consumen y son propiedad de estos últimos, con excepción de las casas. El que esos artículos deban o no ser incluidos en la inversión depende (en lo que se refiere a la definición) de que, cuando 311 se hizo el gasto inicial en ellos, este último se haya incluido o no en el ahorro corriente o en el gasto corriente y (en lo que se refiere a la aplicación práctica) de si en los años subsecuentes los propietarios se sienten motivados a destinar una parte de sus ingresos para la depreciación corriente, aunque no estén reemplazando o renovando esos artículos. Sin duda, no es posible trazar una línea totalmente clara, pero es probable que, en esos casos, pocos individuos consideren necesario hacer provisiones financieras para la depreciación, aparte de las reparaciones y renovaciones reales. Esto, combinado con la dificultad de obtener estadísticas adecuadas y de trazar una línea de separación clara, hace preferible, pienso, excluir ese equipo de la inversión e incluirlo en el gasto de consumo en el año en que se le desembolsa, lo cual va de acuerdo con la definición de consumo que doy en mi Teoría general, p. 54.[190]

Por lo tanto, excluiré esta categoría del cálculo final,[191] aunque tengo la esperanza de tratar de este problema en forma más completa posteriormente. Con todo, puede resultar interesante citar las estimaciones de Kuznets, que son de una magnitud considerable.

La cifra del cuadro para 1929 incluye 3400 millones de dólares para automóviles, mientras que la depreciación para ese año con respecto al mismo concepto se estimó en 2500 millones de dólares.

 

(2)  Construcción residencial

 

Esta es una categoría muy importante que fluctúa mucho y que sin duda debe ser incluida en la inversión y no en el gasto de consumo, pues por lo general se considera que las casas son compradas con los ahorros y no con el ingreso y frecuentemente son propiedad de personas que no son quienes las ocupan. En el Bulletin del que se tomaron estas cifras, Kuznets no presenta ninguna estimación de la tasa anual de depreciación y demás conceptos de la segunda partida de su cuadro; sin embargo, más recientemente, su colega Solomon Fabricant publicó las estimaciones,[192] las cuales he usado en el siguiente cuadro:

Estas cifras están calculadas en función de los costos corrientes (de reproducción). Fabricant también proporciona estimaciones basadas en el costo original, que para los años anteriores a 1932 son considerablemente más bajas.

 

(3) Capital fijo de las empresas

 

 Kuznets distingue aquí el gasto de los nuevos productores en bienes duraderos y en construcción de las empresas del cambio neto de los “inventarios de las empresas”, es decir, del capital líquido y de trabajo; por consiguiente, trataremos de este último por separado en otra sección.

El monto de las deducciones para obtener la inversión neta con respecto a las partes, reparaciones y servicio y a las reparaciones y mantenimiento de las construcciones de las empresas, a diferencia de la depreciación y el agotamiento, que no se compensan, depende, por supuesto, de si las primeras se incluyeron en la inversión bruta. Kuznets ofrece una estimación parcial de ellas, pero las cifras que se presentan más adelante excluyen esas partidas tanto de la inversión bruta como de la neta. Aunque el resultado de deducir tanto la partida de las reparaciones como la partida de la depreciación corresponde probablemente muy de cerca a mi inversión neta, tomadas por separado, esas dos deducciones no corresponden estrechamente a mis deducciones por el costo de uso y por el costo suplementario, por lo que no es posible calcular una cifra que corresponda a mi inversión (bruta) a partir de los datos de Kuznets.

En el primer renglón del cuadro siguiente se presenta “la formación de capital bruto destinado al uso de las empresas, con excepción de las partes, reparaciones y servicios y de las reparaciones y mantenimiento de las construcciones de las empresas, excluyendo los cambios de los inventarios de las empresas”, mientras que en el segundo renglón se presenta la “depreciación y el agotamiento” estimados para las mismas partidas:

 Estas cifras no se tomaron de los memoranda de Kuznets, sino de las estimaciones posteriores y revisadas de Fabricant. Como antes, se expresan en función del costo corriente (de reemplazo). Desde el punto de vista del costo original, son considerablemente menores antes de 1931 y más elevadas posteriormente.

 

(4)Inventarios de las empresas

 

Para las ganancias o pérdidas financieras que surgen por este concepto, parecen existir estadísticas bastante adecuadas en Estados Unidos, aunque no en Inglaterra. Las cifras de Kuznets son las siguientes: 

Este cuadro comprende no sólo las existencias de los industriales sino también las de los agricultores, mineros, comerciantes, agencias del gobierno, etc. Las cifras correspondientes a los años de 1929 en adelante y que se proporcionan en el memorándum de Kuznets del año 1934 resultaron imprecisas y requirieron correcciones. Las que se dan aquí son estimaciones provisionales y aproximadas, en espera de que se publiquen las cifras revisadas por el National Bureau.

 

(5) Construcción y empréstitos del sector público

 

La cifra importante de esta categoría no es tanto el gasto bruto (o neto) en la construcción cuanto el monto del gasto cubierto mediante un incremento neto de los empréstitos. Esto quiere decir que, en el caso de las autoridades públicas y sus similares, lo mejor es considerar que la inversión neta se mide mediante el aumento neto de los empréstitos: dado que cubren sus gastos mediante las transferencias obligatorias del ingreso corriente del público, dichos gastos no tienen una contrapartida en el ahorro privado, mientras que el ahorro público, si pudiéramos encontrar una definición satisfactoria para este concepto, estaría sujeto a influencias psicológicas muy diferentes de las que mueven al ahorro privado. He tratado de este problema en mi Teoría general, en la nota a la página 128, por lo tanto, propongo incluir, en lugar de las cifras de la construcción pública, el “gasto de empréstitos” de los organismos públicos.

Kuznets me ha proporcionado gentilmente cifras sobre los cambios netos del monto de la deuda pública (federal, estatal y local) pendiente de pago en Estados Unidos, cifras que, excepto por cambios menores de los saldos en efectivo de los gobiernos, representan la cantidad de gasto público que no ha sido cubierta por los impuestos y otros ingresos fiscales.[193] A continuación presento dichas cifras, con sus estimaciones del monto del gasto hecho por las autoridades públicas en la construcción. Del cuadro surge el interesante resultado de que hasta 1928 hubo una reducción neta de la deuda pública, a pesar de que se hizo un gran gasto en la construcción pública y de que, incluso hasta 1931, una parte de la construcción pública se financió con los ingresos fiscales. El exceso de empréstitos sobre la construcción en 1932 y 1933 representa, por supuesto, diversas medidas de ayuda pública.

* Véase el Bulletin de Kuznets, cuadro II, renglón 22, actualizado con base en datos más recientes. † Véase la columna 9 del cuadro de la nota a este apéndice.

 

(6) Inversión en el exterior

 

Finalmente, tenemos el cambio neto de las inversiones en países extranjeros, que según las estimaciones de Kuznets fue como sigue:

 

(7) Inversión neta agregada

 

Ya estamos ahora en posibilidad de combinar todas las partidas anteriores en un solo agregado. Este total no incluye todo, puesto que excluye la construcción por parte de los organismos semipúblicos y un monto pequeño de gasto en construcción que no es posible asignar; sin embargo, Kuznets tiene la opinión de que ambas omisiones son de poca importancia y de que no pueden afectar mucho las variaciones de la inversión neta que se presentan en el cuadro que sigue.

Es evidente que este cuadro es de primera importancia para la interpretación de las fluctuaciones comerciales en Estados Unidos. Al analizarlo detalladamente, destacan los siguientes aspectos:

(a) Los atrasos en la construcción residencial a finales de 1933 deben de haber sido enormes, ya que no se había realizado inversión neta en ese sector desde 1925. Eso no significa, por supuesto, que la situación real de la vivienda fuese tan mala como esto parece mostrar. Durante todo el periodo se continuó haciendo alguna inversión bruta en vivienda; además, el deterioro gradual del estado de los alojamientos, debido a la obsolescencia y el desgaste no compensados, no tiene un efecto inmediato de deterioro en el mismo grado sobre la vivienda realmente disponible en el mismo lapso.

(b) El papel que desempeñaron las fluctuaciones de los inventarios de las empresas fue muy marcado, en particular porque acentuaron la depresión en el punto más bajo de disminución de la actividad. Probablemente el aumento de los inventarios en 1929 tuvo como finalidad hacer frente a una demanda que no se materializó por completo, mientras que el aumento adicional en 1930 representó acumulaciones de existencias no vendidas. En 1932 y 1933, los manufactureros hicieron frente a la demanda corriente por medio de las existencias en una proporción extraordinaria, de modo que la demanda efectiva fue considerablemente menor que el consumo real, pero, por fortuna, era una situación que no podía continuar por un tiempo indefinido. No podía ocurrir un agotamiento adicional de las existencias en esa escala, puesto que ya se habían agotado. Un monto tan bajo de los inventarios de las empresas como el que se tenía en Estados Unidos a finales de 1933 casi seguramente anunciaba algún grado de recuperación. En general, un agregado de la inversión neta que se base en un incremento de los inventarios de las empresas más allá de lo normal es claramente precario; y, en retrospectiva, es fácil ver que un gran aumento de los inventarios en 1929, aunado a una disminución de la construcción residencial, era un presagio ominoso. Cuando contemos con las cifras para 1934, 1935 y 1936, resultarán muy interesantes. Sería de esperarse que la recuperación de los dos primeros años se haya basado en un retorno de los inventarios a su tasa normal y en el gasto del sector público financiado con empréstitos, pero que en 1936 la inversión en bienes duraderos haya empezado a sustituir los inventarios dentro del total. De la estabilidad continua de las dos primeras partidas del cuadro anterior en cifras no menores que las de 1925 a 1928, deberá depender la conservación de la prosperidad, y por esta razón tiene una importancia vital una tasa de interés baja en el largo plazo.

(c) La forma en que los cambios del gasto público financiado con empréstitos intervinieron para moderar las fluctuaciones, que sin ese gasto se hubieran comportado de otro modo, es muy evidente. La manera en que los empréstitos federales tomaron el lugar de los estatales y locales a partir de 1931 es muy clara, como se muestra en la nota a este apéndice. Del 30 de junio de 1924 al 30 de junio de 1930, los empréstitos del gobierno federal pendientes de pago disminuyeron de 21 mil millones a 15 mil millones, mientras que, en el mismo periodo, los empréstitos estatales y locales aumentaron de 10 mil a 16 mil millones, sin que cambiara el total. Por el contrario, del 30 de junio de 1930 al 30 de junio de 1935, los préstamos obtenidos por el gobierno federal aumentaron de 15 mil a 26 mil millones y los otros de 16 mil millones a sólo 17 mil millones. La nota a este apéndice, que proporciona las cifras de los empréstitos públicos hasta el 30 de junio de 1935, muestra —contrariamente, quizás, a la impresión general— que la deuda pública alcanzó su máximo en 1931 y que en 1934-1935 fue apenas un poco más alta que en 1929-1930.

(d) Cuando estén disponibles las cifras comparables sobre el ingreso, nos será posible hacer algunos cómputos con respecto al valor del multiplicador en las condiciones de Estados Unidos, aunque todavía hay muchas dificultades estadísticas por superar. Si, no obstante, como una prueba muy burda y preliminar, tomamos las estimaciones del ingreso calculadas por el Departamento de Comercio (sin corregir por los cambios en los precios), encontramos que, durante los grandes movimientos de los años de 1929 a 1932, los cambios de los ingresos monetarios fueron de tres a cinco veces superiores a los cambios de la inversión neta mostrados antes. En 1933, los ingresos y la inversión aumentaron ligeramente, pero los movimientos fueron demasiado limitados para permitir que se calcule la relación de los primeros con respecto a la segunda dentro de un margen de error razonable. J. M. KEYNES

 

Una nota al apéndice II

 

EMISIONES DE DEUDA PÚBLICA PENDIENTES DE PAGO TOTALES Y NETAS

 Fuente: Informe del Secretario del Tesoro para el año que finalizó el 30 de junio de 1935, p. 424.

Las emisiones pendientes de pago totales excluyen un pequeño volumen de obligaciones vencidas que no pagan interés (véase ibid., p. 379).

Las emisiones pendientes netas son iguales a las emisiones pendientes totales menos aquellas que se encuentran en fideicomisos del gobierno de Estados Unidos o que son propiedad del gobierno de Estados Unidos o de agencias gubernamentales y que están colocadas en fondos de amortización.

El cuadro anterior no incluye la deuda contingente del gobierno federal, es decir, las obligaciones garantizadas por Estados Unidos. Dichas obligaciones, que en gran medida comprenden emisiones de la Federal Farm Owners Corporation, de la Home Owners Loan Corporation y de la Reconstruction Finance Corporation, fueron las siguientes:

 

Fecha

Millones de dólares

318 30 de junio de 1934

691

31 de diciembre de 1934

3,079

30 de junio de 1935

4,151

31 de diciembre de 1935

4,525

 

(Véase Cost of Government in the United States, por la National Industrial Conference Board, publicación 223, Nueva York, 1936, cuadro 26, p. 68.)

 


 * 

APÉNDICE III

Tomado de The Economic Journal, marzo de 1939

MOVIMIENTOS RELATIVOS DE LOS SALARIOS Y LA PRODUCCIÓN REALES

UN ARTÍCULO DE J. G. DUNLOP EN ESTE JOURNAL (septiembre de 1938, vol. XLVIII, p. 413), intitulado “The Movement of Real and Money Wage Rates”, y la nota de L. Tarshis (publicada en The Economic Journal, marzo de 1939, p. 150)6[194] indican claramente que es necesario reconsiderar una idea común que yo acepté en mi Teoría general de la ocupación, en la que dije:

 

Sería interesante ver los resultados de una investigación estadística de la relación real entre los cambios de los salarios nominales y los cambios de los salarios reales. En el caso de un cambio peculiar de una industria en particular, se esperaría que el cambio de los salarios reales fuera en el mismo sentido que el cambio de los salarios nominales, pero, en el caso de los cambios de la tasa general de los salarios, se encontrará, creo, que, muy lejos de darse usualmente en la misma dirección, el cambio de los salarios reales asociado a un cambio de los salarios nominales se da casi siempre en dirección opuesta… Esto es así porque, en el corto plazo, es probable que tanto la disminución de los salarios nominales como el aumento de los salarios reales acompañen, en cada caso por razones independientes, a una disminución de la ocupación; aunque la mano de obra está más dispuesta a aceptar reducciones salariales cuando el empleo está disminuyendo, los salarios reales aumentan inevitablemente en las mismas circunstancias debido al rendimiento marginal creciente de una dotación de capital determinada cuando se disminuye la producción.

 

Pero el análisis que hace Dunlop de las estadísticas británicas parece mostrar que, cuando los salarios nominales van en aumento, por lo común también los salarios reales aumentan, mientras que, cuando los salarios nominales van en disminución, es igualmente probable que los salarios reales aumenten o disminuyan. Y Tarshis también ha llegado a resultados aproximadamente similares con respecto a los años recientes en Estados Unidos.

En la cita anterior de mi Teoría general estaba aceptando, sin tener el cuidado de comprobar los hechos por mí mismo, una opinión que ha sido sostenida ampliamente por los economistas británicos hasta hace uno o dos años. Como el material en que se basa principalmente Dunlop —esto es, los índices de los salarios reales y nominales preparados por G. H. Wood y el profesor Bowley— ha estado disponible para todos nosotros durante muchos años, es extraño que la corrección no se haya hecho antes.[195] Pero el problema implícito no es sencillo ni se puede resolver completamente mediante los estudios estadísticos mencionados.

Ante todo, es necesario distinguir entre dos problemas diferentes. En el pasaje citado antes estaba tratando de la reacción de los salarios reales a los cambios de la producción y tenía en mente situaciones en las que los cambios de los salarios reales y nominales eran un reflejo de los cambios de la tasa de ocupación causados por cambios de la demanda real. De hecho, tal es el caso que, si los entiendo correctamente, Dunlop y Tarshis tienen en mente de manera primordial;[196] pero también está el caso en que los cambios de los salarios reflejan cambios de los precios o de las condiciones que rigen la negociación de los salarios y no corresponden a cambios de las tasas de producción y ocupación, o no son fundamentalmente resultado de ellos, y no son causados por cambios de la demanda real (aunque pueden causarlos). Traté de este tema en una parte diferente en mi Teoría general (en el capítulo 19, “Modificaciones de los salarios nominales”), en donde llegué a la conclusión de que los cambios de los salarios que no se deben en primera instancia a los cambios de la producción tienen efectos complejos sobre la producción que pueden ser en cualquiera de los dos sentidos según las circunstancias y acerca de los cuales es difícil hacer generalizaciones. En lo que sigue sólo me ocuparé del primer problema.[197]

La cuestión de la influencia de los periodos de auge y depresión sobre los salarios reales tiene una larga historia, pero no es necesario remontarnos más allá del periodo de los años ochenta y noventa del siglo XIX, cuando fue objeto de investigación por varios organismos oficiales ante los cuales compareció Marshall o en cuyos trabajos participó. Mi propia educación se basó en la documentación que presentó ante la Comisión del Oro y la Plata en 1887 y el Comité de Moneda para la India en 1899.[198] No siempre queda claro si Marshall tenía en mente un aumento de los salarios nominales asociado a un aumento de la producción o uno que simplemente refleja un cambio de los precios (debido, por ejemplo, a un cambio del patrón de valor de la moneda, que era el tema particular sobre el que estaba declarando), pero en algunos pasajes es evidente que estaba tratando de los cambios de los salarios reales en épocas en que la producción se expande; sin embargo, sí queda claro que su conclusión no se fundamenta, a diferencia de argumentos posteriores, en bases a priori que se derivaran del costo marginal creciente en el corto plazo, sino sobre bases estadísticas que mostraban, así lo creyó él, que los salarios eran más rígidos en el corto plazo que los precios. En su memorándum preliminar a la Comisión del Oro y la Plata (Official Papers, p. 19), escribió: “[Durante una disminución lenta y gradual de los precios] una poderosa resistencia tiende a impedir que los salarios nominales de la mayoría de los gremios disminuyan tan rápidamente como los precios; y ello tiende casi imperceptiblemente a establecer una norma de vida más alta entre las clases trabajadoras y a disminuir las desigualdades de la riqueza. Frecuentemente suele pasarse por alto esos beneficios, pero, en mi opinión, a menudo son tan importantes como los males que resultan de una caída gradual de los precios, a la que en ocasiones se llama una depresión del comercio”; y, cuando Chaplin le preguntó: “¿Cree usted que durante un periodo de depresión las clases trabajadoras con empleo han estado obteniendo más que antes?” (op. cit., p. 99), Marshall respondió: “Más de lo que obtenían antes, en promedio”.

Subsecuentemente, como resulta de una importante carta (hasta ahora inédita) de abril de 1897 a Foxwell,[199] quien sostenía enérgicamente la opinión opuesta, la opinión de Marshall se tornó algo más tentativa, aunque el siguiente extracto se refiere más a su actitud general hacia los precios en aumento que al efecto particular de estos últimos sobre los salarios reales:

 

 ¿Sabe usted?, mis opiniones sobre este asunto a) no son muy seguras, b) no las defiendo con mucho entusiasmo, c) no las tengo desde hace mucho y d) están basadas del todo en argumentos y observaciones no académicos. En los años de 1868 a 1877 yo estaba fuertemente en favor de lo que usted ahora defiende. La observación de lo sucedido en Bristol me hizo dudar.

En 1885 o 1886, escribí un memorándum a la Comisión para la Depresión, mostrando una ligera preferencia por los precios en aumento, pero en los siguientes dos años estudié este asunto con más detalle, leí y analicé la documentación que presentaron los hombres de negocios ante dicha Comisión y, para cuando se creó la Comisión del Oro y la Plata, mi posición ya era diferente.

Desde entonces he leído mucho, pero casi exclusivamente se trató de lecturas no académicas sobre el tema; y estuve pensando sobre esto durante una gran parte de la presentación de pruebas por los hombres de negocios y los trabajadores ante la Comisión del Trabajo. He encontrado muchas cosas nuevas que fortalecen mi nueva convicción, nada que la debilite. Estoy lejos de sentirme seguro de que estoy en lo correcto. Estoy absolutamente seguro de que la documentación que se ha publicado en contra en Inglaterra y Estados Unidos (no he leído mucho sobre otros países) no prueba lo que pretende demostrar; y ni concuerda con mis argumentos ni los prevé, en la forma simple que usted parece imaginar.

 

Poco después empezó a trabajar en su testimonio para el Comité de Moneda para la India, lo que parece haber tenido el efecto de confirmarlo en su opinión previa. Su meditada opinión final está dada en la Pregunta 11,781:12[200]

 

Confesaré que, durante diez o quince años después de que empecé a estudiar la economía política, sostuve la teoría común de que un aumento de los precios era por lo general benéfico directamente para los hombres de negocios e, indirectamente, para las clases trabajadoras; pero, después de ese periodo, cambié mis opiniones y he sido confirmado en mis nuevas ideas al descubrir que son sostenidas en gran medida en Estados Unidos, que recientemente pasó por experiencias un tanto similares a las de Inglaterra a principios del siglo. Las razones para mi cambio de opinión son muchas y las expuse con cierto detalle ante la Comisión del Oro y la Plata. Creo que quizás es mejor que me contente en este momento con llamar su atención sobre el hecho de que el aspecto estadístico del asunto muestra una situación diferente hoy en día. Las afirmaciones de que un aumento de los precios aumentaba los salarios reales del trabajador estaban tan en consonancia con la opinión común de personas que no habían estudiado especialmente este asunto que se les aceptaba casi como un axioma; pero, en los últimos diez años, las estadísticas de los salarios han progresado tanto en ciertos países, especialmente en Inglaterra y Estados Unidos, que podemos someter a prueba esas afirmaciones. He recopilado un gran número de hechos, pero casi todo lo que he recopilado está implícito en este cuadro, el cual se copió de un artículo de Bowley en The Economic Journal del pasado mes de diciembre. Es el resultado de un trabajo que se ha estado llevando a cabo durante varios años y a mí me parece prácticamente decisivo. Reúne los salarios promedio en Inglaterra desde el año de 1844 hasta el de 1891, luego calcula cuál sería el poder adquisitivo que los diferentes salarios tendrían en los diferentes periodos y muestra que el aumento de los salarios reales después de 1873, cuando los precios estaban en disminución, fue mayor que antes de 1873, cuando los precios estaban en aumento.

 

 A continuación presentaba el cuadro del artículo de Bowley aparecido en The Economic Journal de diciembre de 1898. La conclusión final de Marshall cristalizó en un pasaje de Principios (libro VI, cap. VIII, §6):

 

 [Cuando los precios aumentan, el patrón], por lo tanto, tendrá más capacidad y estará más dispuesto a pagar salarios altos, y los salarios tenderán a subir; pero (ya sea que estén regidos por escalas móviles o no) la experiencia muestra que pocas veces aumentan en la misma proporción que los precios y, por lo tanto, su aumento es muy inferior a la proporción en que aumentan las ganancias.

 

Aunque las pruebas que presentó Marshall ante el Comité de Moneda para la India fueron expuestas en 1899, las estadísticas de Bowley a las que se estaba ateniendo no se refieren realmente a una fecha posterior a 1891 (o 1893, cuando mucho). Está claro, creo, que la generalización de Marshall se basaba en la experiencia de 1880 a 1886, que de hecho la apoyaba. Si dividimos los años de 1880 a 1914 en periodos sucesivos de recuperación y depresión, el resultado aproximado, dando cabida a la tendencia, parece ser el siguiente:

Salarios reales

 

De acuerdo con el cuadro, la generalización de Marshall se sostiene para los periodos de 1880 a 1884 y de 1884 a 1886, pero no para los periodos subsecuentes.[201] Parece que hemos estado viviendo todos estos años con una generalización que fue válida, por excepción, en los años de 1880 a 1886, que fue el periodo formativo del pensamiento de Marshall sobre este asunto, pero que ¡nunca más volvió a ser válida en los cincuenta años transcurridos desde que cristalizó su pensamiento! Porque el punto de vista de Marshall prevaleció en gran medida y la opinión en contrario de Foxwell fue descartada como la herejía de un inflacionista. Debo hacer notar que Marshall ofreció esta generalización simplemente como un hecho estadístico observado y que, más allá de explicarla como debida probablemente a que los salarios son más rígidos que los precios, no intentó apoyarla mediante un razonamiento a priori. El que haya sobrevivido como un dogma aceptado confiadamente por mi generación debe tener su explicación, pienso, en el apoyo más teórico que ha recibido posteriormente.

Hay, sin embargo, una importante excepción a mi afirmación de que la generalización de Marshall no se había corregido sino hasta hace poco. En su Industrial Fluctuations, publicado en 1927, el profesor Pigou señaló que “la mitad superior de los ciclos económicos ha estado, por lo general, asociada a tasas más altas de salarios reales que las mitades inferiores” (p. 217) y, para apoyar lo anterior, publicó una tabla en gran escala sobre el periodo de 1850 a 1910. Posteriormente, sin embargo, parece haber retornado a la tradición marshalliana, pues, en su Theory of Unemployment, publicada en 1933, escribe:

 

En general, la transferencia de la inercia de las tasas de los salarios reales a las tasas de los salarios nominales hace que las tasas reales se muevan de una manera no compensatoria, sino complementaria, de los movimientos de la función de la demanda real. Las tasas de los salarios reales no sólo no se reducen cuando la demanda real de mano de obra está disminuyendo sino que en realidad aumentan; y, de igual manera, cuando la demanda real de mano de obra se está expandiendo, las tasas de los salarios reales disminuyen (p. 296).

 

Por ese tiempo, Rueff había atraído mucho la atención por la publicación de estadísticas que supuestamente mostraban que un aumento de los salarios reales tendía a acompañar a un aumento de la desocupación. Pigou indica que esas estadísticas están viciadas por el hecho de que Rueff dividió los salarios nominales entre el índice de los precios al mayoreo, en lugar del índice del costo de vida, y no está de acuerdo con la afirmación de Rueff de que el aumento observado de los salarios reales fue la causa principal del aumento de la desocupación con el que se le asociaba; pero, al sopesar las diversas consideraciones, concluye, a pesar de todo, que “poca duda puede haber de que en las comunidades industriales modernas predomina esta última tendencia” (p. 300) (es decir, a que los cambios de la demanda real estén asociados con cambios en el sentido opuesto de la tasa de los salarios reales que requieren los trabajadores).

Al igual que Marshall, Pigou basó su conclusión principalmente en la rigidez de los salarios nominales con respecto a los precios, pero mi propia rapidez para aceptar la generalización predominante, en la época en que estaba escribiendo mi Teoría general, estuvo muy influida por un argumento a priori que poco tiempo antes había obtenido mucha aceptación y que se encuentra en el artículo de R. F. Kahn sobre “La relación entre la inversión en vivienda y la ocupación”, publicado en The Economic Journal de junio de 1931.[202] El hecho presuntamente empírico de que en el corto plazo los salarios reales tienden a moverse en la dirección opuesta a la tasa de producción parecía, podemos decir, estar en conformidad con las generalizaciones más fundamentales de que la industria está sujeta al costo marginal creciente en el corto plazo, de que, para un sistema cerrado en conjunto,[203] el costo marginal en el corto plazo es substancialmente el mismo que el costo marginal del salario y de que, en condiciones competitivas, los precios son regidos por el costo marginal; todo lo cual está sujeto, por supuesto, a varias salvedades en casos particulares, sin que por esto deje de ser una generalización confiable en su mayor parte.

Ahora reconozco que la conclusión es demasiado simple y que no tiene suficientemente en cuenta la complejidad de los hechos, pero sigo aferrado a la estructura principal del argumento y creo que lo que se necesita es corregirlo, en lugar de descartarlo. Decir que fui una víctima fácil de la conclusión tradicional porque se ajustaba a mi teoría sería ir en contra de la verdad. Esa conclusión era inconveniente para mi propia teoría, porque mostraba una tendencia a compensar la influencia de las principales fuerzas de las que estaba tratando y me hizo necesario introducir salvedades, de las que no habría tenido necesidad de ocuparme si hubiera podido adoptar la generalización contraria que favorecían Foxwell, Dunlop y Tarshis. En particular, la conclusión tradicional jugó una parte importante, se recordará, en la discusión de hace unos diez años acerca del efecto de las políticas expansionistas sobre la ocupación, en un momento en que no había desarrollado mi propio argumento en una forma tan completa como lo hice posteriormente. En esa época ya estaba sosteniendo que el efecto favorable de una política de inversión expansionista sobre la ocupación, hecho que nadie negaba, se debía al estímulo que proporcionaba a la demanda real. Por otra parte, el profesor Pigou y muchos otros economistas explicaban el resultado observado mediante la reducción de los salarios reales que en forma poco visible tenía su origen en el aumento de los precios que seguía al aumento de la demanda real. Se afirmaba que las políticas de inversión pública (y también una mejora del saldo del comercio exterior mediante aranceles) producían su efecto engañando, por así decir, a las clases trabajadoras para que aceptaran un salario real más bajo, ejerciendo por este medio la misma influencia favorable sobre la ocupación que, según esos economistas, habría ocurrido en el caso de un ataque más directo contra los salarios reales (por ejemplo, reduciendo los salarios nominales y, al mismo tiempo, estableciendo una política crediticia cuyo propósito hubiese sido el de hacer que los precios no cambiaran). Si se niega la tendencia de los salarios reales a disminuir en los periodos en que la demanda aumenta, esta explicación alternativa debe, por supuesto, caer por su propio peso. Dado que en esa época yo compartía la opinión prevaleciente con respecto a los hechos, no estaba en posición de oponerme a ella. No obstante, si se demuestra que es correcto adoptar la generalización contraria, sería posible simplificar considerablemente la versión más compleja de la explicación fundamental que expuse en mi Teoría general.[204] En ese caso, mis conclusiones prácticas habrían sido a fortiori. Si podemos avanzar en el camino hacia la ocupación plena más de lo que yo había supuesto con anterioridad sin afectar gravemente los salarios reales por hora o la tasa de ganancias por unidad de producción, las advertencias de los antiexpansionistas no tendrían por qué causarnos tanta ansiedad.

Con todo, sugiero que debemos dudar un poco y avanzar en nuestras investigaciones antes de descartar una gran parte de nuestras conclusiones anteriores, las cuales, sujetas a las salvedades pertinentes, tienen apoyo a priori y han sobrevivido durante muchos años al escrutinio de la experiencia y del sentido común. Por consiguiente, para la investigación estadística adicional,[205] ofrezco un análisis de los elementos del problema con la finalidad de descubrir en qué puntos surgen las debilidades del argumento anterior. Hay cinco secciones que merecen ser tratadas por separado.

I

Antes que nada, ¿son las estadísticas en que se basan Dunlop y Tarshis lo suficientemente exactas y los suficientemente uniformes en sus indicaciones para formar la base de una inducción confiable?

Por ejemplo: en una compilación tan reciente como la World Economic Survey 1937 38 de la Liga de las Naciones, preparada por J. E. Meade, la conclusión tradicional recibe apoyo, no sobre una base a priori, sino sobre la base de las estadísticas más recientes disponibles. Hago referencia al siguiente párrafo de las páginas 54 a 55:

 

Durante la gran depresión que siguió a 1929, la demanda de bienes y servicios se redujo y, en consecuencia, el precio de las mercancías disminuyó con rapidez. En la mayoría de los países, como puede verse en la gráfica de la página 52, los salarios nominales por hora se redujeron a medida que caía la demanda de mano de obra; pero en todos los casos hubo una reducción mayor de los precios, de modo que los salarios reales por hora aumentaron… [después se explica que no ocurrió lo mismo en el caso de los salarios reales semanales]… Después de la recuperación, se han observado los movimientos contrarios. En la mayoría de los países, el incremento de la demanda de bienes y servicios ha causado que los precios de las mercancías aumenten más rápidamente que los salarios nominales por hora y el salario real por hora ha disminuido... En Estados Unidos y Francia, sin embargo, el aumento de los salarios nominales fue tan rápido entre 1936 y 1937 que el salario real por hora continuó aumentando…[206] Cuando suben los salarios reales por hora —esto es, cuando el margen entre los precios de las mercancías y el costo del salario nominal se vuelve menos favorable— es probable que los patrones disminuyan la cantidad de empleos que ofrecen a los trabajadores. Si bien hubo, sin duda, otras influencias que afectaron la demanda de mano de obra, la importancia de este factor está bien ilustrada en la gráfica de la página 53. En el caso de todos los países representados para los cuales hay información disponible, la disminución de los precios de las mercancías entre 1929 y 1932 causó un incremento del salario real por hora, el cual fue acompañado por una disminución de la ocupación… (se muestra que las experiencias han sido mucho más variadas en la recuperación)…

 

Dado que su alcance es internacional, este fundamentado estudio indica que hay que aceptar con reservas las nuevas generalizaciones. En cualquier caso, aunque el diagrama de dispersión de Tarshis que se incluye más adelante [en The Economic Journal de marzo de 1939] (p. 150) muestra una preponderancia clara en los cuadrantes inferior izquierdo y superior derecho y un alto coeficiente de relación, incluye también un número considerable de casos divergentes, y la extensión absoluta de la mayor parte de la dispersión es extremadamente pequeña, con un agrupamiento marcado cerca de la línea cero en el caso de los cambios de los salarios reales; y lo mismo es cierto en el caso de la mayoría de los resultados de Dunlop. La gran mayoría de las observaciones de Tarshis se refiere a cambios de menos del 1.5 por ciento. En la introducción a su Wages and Income in the United Kingdom since 1860, Bowley señala que esa cifra es probablemente menor que el margen de error para las estadísticas de esta clase. Esta conclusión general es reforzada por el hecho de que en el contexto presente lo que importa son los salarios por hora, para los que no hay estadísticas exactas disponibles.[207] Además, en el post-scriptum de su nota, Tarshis explica que, aunque los salarios reales tienden a moverse en la misma dirección que los salarios nominales, se mueven en sentido opuesto, aunque sólo ligeramente, a la tasa de producción medida en función de las horas-hombre de ocupación; por lo cual, parece que el resultado final de Tarshis concuerda con mi supuesto original, que trata, desde luego, de los salarios por hora. Por lo tanto, parece posible, si se tienen en cuenta los resultados de Meade, que después de todo no me haya equivocado gravemente.

Además, por las razones presentadas más adelante, es importante separar las observaciones según que la tasa absoluta de ocupación sea claramente buena o solo mediocre. Puede ser que podamos analizar nuestros resultados de tal manera que demos dos generalizaciones distintas según la tasa absoluta a la que haya llegado la ocupación. Si, en la etapa actual de la investigación, hemos de hacer alguna generalización estadística única, preferiría una en el sentido de que, en el caso de las fluctuaciones dentro del intervalo que ha sido el usual en los periodos investigados, que pocas veces se aproxima a las condiciones de ocupación plena, los cambios de los salarios reales en el corto plazo son por lo común tan pequeños en comparación con los cambios de otros factores que con frecuencia no nos equivocaremos mucho si tratamos los salarios reales como si fueran substancialmente constantes en el corto plazo (una simplificación de mucha ayuda, si está justificada). La conclusión de que los cambios de los salarios reales no son por lo común un factor importante en las fluctuaciones en el corto plazo hasta que nos estamos acercando al punto de ocupación plena es una conclusión a la que ya había llegado Kalecki con base en sus propias investigaciones.[208]

II

Puede ser que hayamos subestimado el efecto cuantitativo de un factor del que siempre hemos sido conscientes. Nuestra argumentación suponía que, en general, la mano de obra es remunerada en función de su propio producto compuesto o, por lo menos, que el precio de los bienes producto del salario varía en la misma dirección que el precio de la producción en conjunto, pero nadie supuso que ese era el caso rigurosamente o que era algo mejor que una aproximación; y puede ser que la proporción de los bienes producto del salario, que no sean el producto corriente de la mano de obra de que se trate y cuyos precios no sean regidos por el costo marginal de ese producto, sea tan grande que interfiera con la confiabilidad de nuestra aproximación. Los alquileres de la vivienda y los bienes importados bajo términos de comercio variables son los principales ejemplos de este factor. Si, en el corto plazo, los alquileres son constantes y los términos de comercio exterior tienden a mejorar cuando los salarios nominales aumentan y a deteriorarse cuando estos últimos disminuyen, nuestra conclusión sería desmentida en la práctica, a pesar de que todas nuestras otras premisas siguieran siendo ciertas.

En el caso de Gran Bretaña, tenemos la costumbre de suponer que esos dos factores realmente han tendido a compensarse entre sí, aunque podría ocurrir lo contrario en el caso de los países productores de materias primas, porque, mientras que los alquileres aumentan y disminuyen menos que los salarios nominales, debido a que los alquileres son fijos en gran medida, el precio de los productos alimenticios importados tiende a aumentar más que los salarios nominales en los periodos de actividad y a disminuir más en los periodos de depresión. En todo caso, tanto Dunlop como Tarshis afirman que han demostrado que las fluctuaciones de los términos comerciales (del comercio exterior en el caso de la investigación británica de Dunlop y del intercambio entre la industria y la agricultura en la investigación de Tarshis sobre Estados Unidos) no bastan para afectar la tendencia general de sus resultados, aunque está claro que los modifican cuantitativamente en un grado considerable;[209] sin embargo, para aclarar esta cuestión, se necesita calcular por separado el efecto del gasto en partidas como alquiler, gas, electricidad, agua, transporte, etc., cuyos precios no cambian materialmente en el corto plazo. Si resultase que ese es el factor que explica los resultados, el resto de nuestras generalizaciones fundamentales permanecería inmutable. Por consiguiente, para entender la situación, es importante que los estadígrafos procuren calcular los salarios en función del producto real de la mano de obra de que se esté tratando.

III

¿Ha introducido un error importante la identificación del costo marginal con el costo marginal del salario? En mi Teoría general de la ocupación, capítulo 6 (apéndice), he argumentado que esa identificación es peligrosa porque ignora un factor al que he denominado “costo marginal de uso”; sin embargo, no es probable que esto nos pueda ayudar en el contexto presente, porque probablemente el costo marginal de uso aumente cuando la producción esté aumentando, de modo que este factor operará en dirección opuesta a la que se requiere para explicar nuestro problema actual y sería una razón adicional para esperar que los precios aumentaran más que los salarios. En términos generales, en realidad, uno esperaría que el costo marginal total aumentara más, y no menos, que el costo marginal del salario.

IV

¿Es el supuesto del costo marginal real creciente en el corto plazo el que debemos poner en duda? Tarshis encuentra parte de la explicación en este factor, mientras que Kalecki se inclina a inferir un costo marginal real aproximadamente constante;[210] pero debemos hacer una importante distinción. Todos debemos estar de acuerdo en que, si empezamos a partir de una tasa de producción muy por debajo de la capacidad, de tal modo que aun las plantas de mayor rendimiento y la mano de obra más competente sólo estén ocupadas parcialmente, se puede esperar que el costo marginal real disminuya con el aumento de la producción o, en el peor de los casos, que permanezca constante; pero con toda seguridad se llegará a un momento, mucho antes de que las plantas y la mano de obra estén plenamente ocupadas, en que habrá que poner en funcionamiento plantas de menor rendimiento y mano de obra menos competente o emplearse el personal competente más allá del grado óptimo de intensidad. Incluso si se acepta que la trayectoria de la curva del costo marginal en el corto plazo es descendente en sus primeras porciones, el supuesto de Kahn de que en algún momento posterior empezará a ascender está seguramente, con base en el sentido común, fuera de toda duda razonable; y que eso suceda, además, en una porción de la curva que tiene mucha pertinencia por razones prácticas. Ciertamente, se requerirían pruebas más convincentes que las existentes para persuadirme de que renuncie a este supuesto.

A pesar de todo, es de gran importancia práctica que los estadígrafos procuren determinar a qué tasa de ocupación y de producción empieza a dirigirse hacia arriba la curva del costo marginal en el corto plazo para el producto compuesto en conjunto y qué tan abruptamente asciende después de que se ha llegado al punto de inflexión. Este conocimiento es esencial para la interpretación del ciclo económico. Por esta razón es por la que antes sugerí que las observaciones del movimiento relativo de los salarios reales y de los nominales deben ser clasificadas por separado, de acuerdo con la tasa promedio de ocupación que se haya alcanzado.

De hecho, puede resultar que, al menos en el caso de las estadísticas que corresponden a los años recientes, la tasa de ocupación haya sido preponderantemente tan baja que hayamos estado viviendo con más frecuencia en las porciones de la curva que preceden al punto crítico de inflexión ascendente. Debe hacerse notar que las cifras de Tarshis para Estados Unidos se refieren sólo al periodo que va de 1932 a 1938 y que durante todo ese periodo existió una desocupación tan intensa en ese país, tanto de mano de obra como de plantas, que sería muy aceptable suponer que el punto crítico de la curva del costo marginal nunca fue alcanzado. Si tal ha sido el caso, es importante que lo sepamos; pero esa experiencia no debe llevarnos erróneamente a suponer que así debe ser necesariamente o a olvidar la muy diferente teoría que resulta aplicable después de que se alcanza el punto de inflexión.

Si la forma de la curva del costo marginal realmente resulta ser tal que, en las condiciones actuales, tendemos a vivir con más frecuencia hacia la izquierda que hacia la derecha de su punto crítico, la argumentación práctica en favor de una política expansionista planificada se ve considerablemente reforzada, porque, en ese caso, frecuentemente se pueden desatender muchas de las salvedades a las que debemos prestar atención después de que se ha llegado a ese punto. Al dar por hecho como mi supuesto general que a menudo estamos a la derecha del punto crítico, he estado considerando el caso en que la política práctica que he defendido requiere el manejo más cuidadoso. En particular, las advertencias hechas con toda razón por D. H. Robertson sobre los peligros que pueden surgir cuando alentamos o permitimos que la actividad del sistema avance con mucha rapidez a lo largo de las porciones ascendentes de la curva del costo marginal hacia la meta de la ocupación plena pueden dejarse de lado con mayor frecuencia, al menos por el momento, cuando se abandona el supuesto que previamente admití como normal y razonable.

V

Queda pendiente la cuestión de si el error se encuentra en la identificación aproximada del costo marginal con el precio o, más bien, en el supuesto de que para la producción en conjunto tienen una relación más o menos proporcional entre sí, independientemente de la intensidad de la producción, porque podría ocurrir que el actuar práctico de las leyes de la competencia imperfecta en el sistema moderno cuasi competitivo sea de tal manera que, cuando la producción se incrementa y los salarios nominales aumentan, los precios se elevan menos que proporcionalmente al incremento del costo marginal nominal. Quizá sea muy poco probable que la reducción de la brecha pudiera ser suficiente para impedir una disminución de los salarios reales en una fase en que el costo marginal real estaba incrementándose con rapidez, pero podría ser suficiente para compensar el efecto de un aumento modesto del costo marginal real sobre los salarios reales e incluso predominar en el caso en que la curva del costo marginal real resulte ser casi horizontal en un trayecto considerable de la porción pertinente de la misma.

Evidentemente es posible que debiera existir algún factor semejante. En cierto sentido, podría ser simplemente una extensión de la rigidez de los precios, de la que ya se trató en la sección II de este apéndice. Aparte de aquellos precios que son virtualmente constantes en el corto plazo, hay obviamente muchos otros que, por varias razones, son más o menos rígidos, pero sería particularmente probable que ese factor surgiera cuando se aumenta la producción, puesto que, al elegir sus políticas prácticas de precios y al aprovechar las oportunidades que les ofrecen las imperfecciones de la competencia, los productores se dejan influir por su costo promedio en el largo plazo y prestan menos atención que los economistas a su costo marginal en el corto plazo. De hecho, es raro que alguien que no sea un economista suponga que el costo marginal es el que rige predominantemente el precio. La mayoría de los hombres de negocios se sorprende cuando se les sugiere que lo que debe predominar en sus políticas de precios es un cálculo cuidadoso del costo marginal o del ingreso marginal en el corto plazo. Ellos sostienen que esa política llevaría rápidamente a la bancarrota a cualquiera que la practicara. Y, si fuese cierto que con mucha frecuencia producen en una escala en que el costo marginal disminuye al aumentar la producción, claramente estarían en lo correcto, porque sólo en raras ocasiones estarían cobrando algo siquiera cercano a sus gastos generales. Más allá de toda duda, el supuesto práctico del productor es que en su política de precios debe influir el hecho de que normalmente está operando sujeto a un costo promedio decreciente, aun cuando su costo marginal esté aumentando en el corto plazo. Se esfuerza por mantener los precios cuando la producción disminuye y, cuando la producción aumenta, puede aumentarlos en una menor proporción que el monto total que requiere para compensar el aumento de los costos, incluido el de los salarios. Estaría dispuesto a admitir que esto, que él considera la política razonable, prudente y previsora, se va por la borda cuando, en el punto culminante del auge, se ve abrumado por más pedidos que los que puede satisfacer; pero, aun en ese caso, está lleno de aprensiones respecto a las consecuencias últimas de verse obligado a distanciarse tanto de la política correcta y razonable de fijar sus precios con referencia a sus gastos generales en el largo plazo, así como a sus costos corrientes. La competencia debidamente metódica consiste, en su opinión, en una presión adecuada para asegurar el ajuste de los precios a los cambios del costo promedio en el largo plazo; y considera catastrófica la sugerencia de que se está convirtiendo en un monopolista peligroso y antisocial siempre que, en acuerdo tácito o manifiesto con sus competidores, trata de impedir que los precios sigan al costo marginal en el corto plazo, por mucho que éste pueda alejarse del costo promedio en el largo plazo (lo que considera particularmente injusto es la incapacidad en la última fase del “Nuevo trato” de Estados Unidos, a diferencia de la primera fase, en la que sucedió lo contrario, para distinguir entre los acuerdos de precios cuya finalidad es mantener estos últimos en una relación adecuada con el costo promedio en el largo plazo y aquellos cuyo objetivo es obtener una ganancia monopolista en exceso del costo promedio en el largo plazo).

Así, dado que la política declarada de los industriales es contentarse con una menor ganancia bruta por unidad de producción cuando esta última aumenta que cuando disminuye, no es improbable que esa política pueda ser funcional, por lo menos en parte. Sería muy interesante si los estadígrafos pudieran mostrar en detalle la manera en que la ganancia bruta por unidad de producción cambia en las diferentes industrias cuando se presenta una relación cambiante entre la capacidad de producción y la producción real. Esa investigación debería distinguir, si fuera posible, entre el efecto del incremento de la producción sobre la ganancia por unidad y el de los costos más altos consistentes en mayores salarios nominales y otros gastos. Si resultara que aumentar la producción en sí tiende a disminuir la ganancia por unidad, de ello se desprendería que la política sugerida antes no sólo es la enunciada sino también la que se sigue en realidad; sin embargo, si la disminución de las ganancias por unidad parece ser principalmente el resultado de una tendencia de los precios a compensar sólo en parte los mayores costos, independientemente de los cambios de la tasa de producción, entonces tenemos simplemente un ejemplo de la rigidez de los precios que surge de las imperfecciones de la competencia intrínsecas de las condiciones del mercado. Infortunadamente, con frecuencia es difícil o imposible distinguir con claridad entre los efectos de las dos influencias, ya que por lo general los costos nominales más altos y la producción más alta se presentan juntos.

Un fenómeno estadístico bien conocido que debió de haberme puesto en guardia confirma la probabilidad de que las ganancias por unidad de producción tiendan, antes bien que a aumentar, a ser constantes o a decrecer cuando aumenta la producción. Me refiero a la estabilidad de la proporción del dividendo nacional que corresponde a la mano de obra, independientemente, en apariencia, de la tasa de producción en conjunto y de la fase del ciclo económico. Este es uno de los hechos más sorprendentes y, sin embargo, mejor establecidos en todo el campo de la estadística económica, tanto en el caso de la Gran Bretaña como en el de Estados Unidos. Las siguientes cifras resumen brevemente lo que son, en mi opinión, hechos indiscutibles:[211]

PROPORCIÓN RELATIVA DEL TRABAJO MANUAL EN EL PRODUCTO INTERNO DE LA GRAN BRETAÑA[212]

PROPORCIÓN RELATIVA DEL TRABAJO MANUAL EN EL PRODUCTO INTERNO DE U.S.A.[213]

Las fluctuaciones de estas cifras de un año a otro parecen ser de un carácter aleatorio y ciertamente no ofrecen indicios significativos de que exista alguna tendencia a que actúen en contra de la participación de la mano de obra en los años en que la producción aumenta. Lo más notable es la estabilidad de la proporción en cada país, lo cual parece ser un fenómeno que se presenta en el largo plazo, no sólo en el corto.[214] Además, sería interesante descubrir si la diferencia entre la proporción británica y la de Estados Unidos se debe a una discrepancia en la base de cálculo adoptada en cada uno de los dos conjuntos de estadísticas, a una diferencia significativa en el grado de monopolio que predomina en cada uno de los dos países o a las condiciones técnicas.

Sea lo que fuere, esta información no apoya los supuestos que han predominado recientemente con respecto a los movimientos relativos de los salarios reales y la producción ni es congruente con la idea de que existe una marcada tendencia a que las ganancias por unidad aumenten cuando la producción aumenta. En realidad, aun a la luz de las consideraciones anteriores, el resultado sigue siendo un pequeño milagro, porque, aun cuando las políticas de precios sean tales que causen que las ganancias por unidad disminuyan en las mismas circunstancias en que el costo marginal real aumenta, ¿por qué esas dos cantidades debían estar tan relacionadas que, a pesar de otras condiciones, el movimiento de una compensa casi exactamente el movimiento de la otra? Recientemente presenté el problema de explicar esta Utopía como la hubiera llamado Edgeworth, a los estudiantes de postgrado de Cambridge. La única solución es la que ofreció Kalecki en su brillante artículo publicado en Econometrica.[215] En él, Kalecki aplica al problema de la distribución entre los factores de la producción en condiciones de competencia imperfecta una técnica de análisis muy original que puede demostrar ser un importante trabajo precursor, pero el resultado final es el que he señalado antes y, hasta donde alcanzo a entender, Kalecki no ha hecho ningún progreso definitivo para explicar por qué, cuando ocurre un cambio de la relación de la producción real a la capacidad de producción, los cambios correspondientes del grado de imperfección de la competencia deben compensar con tanta exactitud otros cambios. Tampoco explica por qué la distribución del producto entre el capital y la mano de obra debe ser estable en el largo plazo, más allá de sugerir que los cambios de un tipo siempre sirven únicamente para compensar los cambios de otro tipo; no obstante, es muy sorprendente el que, a fin de cuentas, debe de haber existido un grado constante de monopolio durante los últimos veinte años o más. Su propia explicación se basa en los supuestos de que los costos marginales reales son constantes y el grado de imperfección del mercado cambia en sentido opuesto al de la producción, pero que ese cambio es compensado con precisión por el hecho de que los precios de las materias primas básicas (compradas por el sistema en el exterior) aumentan o disminuyen en relación con los salarios nominales al aumentar o disminuir la producción; sin embargo, no existe una razón obvia por la que esos cambios deban compensarse tan estrechamente entre sí, por lo que parecería más seguro no suponer que los costos marginales reales son constantes, sino concluir que, en realidad, cuando la producción cambia, el cambio del grado de imperfección del mercado es tal que compensa los efectos combinados de los cambios de los costos marginales y los cambios de los precios de los materiales comprados afuera del sistema en relación con los salarios nominales. Se puede hacer notar que, cuando la producción aumenta más de lo esperado por Harrod en su estudio sobre el ciclo económico (The Trade Cycle), el argumento de Kalecki supone la existencia de un cambio del grado de imperfección de la competencia (o del grado en que los productores se aprovechan de ella) en el sentido opuesto. En ese estudio, Harrod espera un aumento; en este apéndice, vemos que lo que parece ocurrir es que disminuye o se mantiene constante. Dado que Harrod presenta fundamentos que son posibles prima facie para sus conclusiones, eso es una razón adicional para intentar someter el problema a una comprobación estadística más decisiva.[216]

Para enunciar el problema con más precisión, tenemos cinco factores que fluctúan en el corto plazo con la tasa de producción.

 1) El precio de los bienes producto del salario en relación con el precio del producto;

2) El precio de los bienes comprados en el exterior del sistema en relación con los salarios nominales;

3) El costo marginal del salario;

4) El costo marginal de uso (otorgo importancia a la inclusión de este factor porque ayuda a superar la discontinuidad entre un incremento de la producción hasta la capacidad en el corto plazo y un incremento de la producción que implique un aumento en exceso de la capacidad supuesta en condiciones de corto plazo); y

5) El grado de imperfección de la competencia.

Y parece que, por razones que no son del todo claras, esos factores considerados en conjunto no ejercen una influencia significativa sobre la distribución del ingreso resultante de la producción entre la mano de obra y el capital. Independientemente de lo que nos pueda ofrecer una investigación completa del problema, es evidente que Dunlop, Tarshis y Kalecki nos han dado mucho sobre lo cual meditar y han sacudido en forma importante los supuestos fundamentales sobre los cuales se ha basado hasta ahora la teoría de la distribución en el corto plazo; parece que por razones prácticas es preferible una serie de simplificaciones diferentes que las adoptadas hasta ahora. Mientras tanto, me consuela el hecho de que sus conclusiones tiendan a confirmar la idea de que las causas de las fluctuaciones en el corto plazo se deben encontrar en los cambios de la demanda de mano de obra y no en los cambios del precio de su oferta real; aunque lamento un poco que yo en particular deba ser criticado por ceder un poco ante la otra opinión al admitir que, cuando los cambios de la demanda real a los que yo mismo doy importancia han provocado un cambio de la tasa de producción, el precio de la oferta real de la mano de obra realmente cambiaba en la dirección supuesta por la teoría a la que me estoy oponiendo, como si yo hubiera sido el primero en considerar la generalización que se ha hecho durante más de cincuenta años en el sentido de que, una vez que se elimina la tendencia, el incremento de la producción va asociado por lo común a un salario real en disminución.

A pesar de lo anterior, insisto en que no debemos precipitarnos en nuestras revisiones y en que es necesaria una investigación estadística adicional antes de que tengamos una base firme de hechos sobre los cuales podamos reconstruir nuestra teoría del corto plazo. En particular, necesitamos saber:

i) Cómo cambia el salario real por hora en el corto plazo, no únicamente en relación con el salario nominal sino también en relación con el porcentaje de la producción real con respecto a la capacidad de producción;

ii) Cómo cambia el poder de compra del salario nominal industrial en función de los cambios de su propio producto cuando cambia la producción; y

iii) Cómo cambian las ganancias brutas por unidad de producción a) cuando cambian los costos nominales y b) cuando cambia la producción.

J. M. KEYNES

 


*

NOTAS


[1] “Los economistas clásicos” fue una denominación inventada por Marx para referirse a Ricardo, James Mill y sus predecesores, es decir, para los fundadores de la teoría que culminó en Ricardo. Me he acostumbrado, quizá cometiendo un solecismo, a incluir en “la escuela clásica” a los continuadores de Ricardo, es decir, aquellos que adoptaron y perfeccionaron la teoría económica ricardiana, incluyendo (por ejemplo) a J. S. Mill, Marshall, Edgeworth y el profesor Pigou.

[2] Esto, según la tradición ricardiana; porque Ricardo negó expresamente que tuviera interés el monto del dividendo nacional como hecho independiente de su distribución. Con esto fijaba correctamente el carácter de su propia teoría; pero sus sucesores, con visión menos clara, han usado la teoría clásica en estudios sobre las causas de la riqueza. Véase la carta de Ricardo a Malthus del 9 de octubre de 1820: “Ud. supone que la Economía Política es una investigación de la naturaleza y causas de la riqueza —y yo estimo que debería llamarse investigación de las leyes que determinan el reparto de los productos de la industria entre las clases que concurren a su formación. No puede enunciarse ninguna ley respecto a cantidades, pero sí con bastante exactitud para las porciones relativas. Cada día me convenzo más de que la primera investigación es vana e ilusoria y que la segunda es el verdadero objeto de la ciencia.”

[3] Por ejemplo, el profesor Pigou en su Economics of Welfare (4ª ed., p. 127) escribe (las itálicas son mías): “A través de esta discusión, excepto cuando se especifique lo contrario, se hace caso omiso de que algunos recursos se encuentren sin empleo contra la voluntad de sus propietarios. Esto no afecta a la esencia del argumento, en tanto que simplifica su exposición.” Así, mientras Ricardo rechazó expresamente cualquier intento de referirse al dividendo nacional como un todo, el profesor Pigou sostiene, en su libro que se ocupa especialmente del problema del dividendo nacional, que tal teoría es válida, tanto en los casos de desocupación involuntaria como en el de ocupación plena. * Prebisch, en la Introducción a Keynes (F.C.E., 1ª ed., 1965), traduce “desutility” como “resistencia al trabajo”. [T.] * Wage-goods, artículos que entran en el presupuesto de los asalariados; los artículos en que se gastan los salarios. [T.]

[4] La Theory of Unemployment del profesor Pigou se examina más detalladamente en el Apéndice al cap. 19.

[5] Cf. la cita anterior del profesor Pigou en la nota 2 ante.

[6] Este tema se trata detalladamente en el Apéndice al cap. 19.

* Se refiere a si existen o no las cláusulas de inclusión y exclusión en los contratos colectivos. [T.]

[7] A mi modo de ver, este argumento contiene una gran dosis de verdad, aunque los resultados completos de un cambio en los salarios nominales son más complejos, como se verá en el cap. 19.

[8] Cf. cap. 19, Apéndice.

[9] El argumento se desarrolla de este modo: de n hombres empleados, el enésimo añade un quintal diario a la cosecha y los salarios tienen un poder adquisitivo de un quintal diario. El enésimo-más-un hombre, sin embargo, añadiría solamente 0.9 de quintal por día y el empleo no puede, por tanto, aumentar a n + 1 hombres, a menos que el precio del grano suba con relación a los salarios hasta que los que se pagan diariamente tengan un poder adquisitivo de 0.9 de quintal. El total de los salarios montaría entonces a 9/10 (n + 1) quintales, en comparación con n quintales a que llegaba previamente. De este modo, el empleo de un hombre más, en caso de efectuarse, supondrá necesariamente una transferencia de ingresos de los que antes estaban empleados a los empresarios.

[10] Principles of Political Economy, Lib. III, cap. XIV, ∫ 2.

[11] El señor J. A. Hobson, después de citar el párrafo anterior de Mill, en su Phisiology of Industry (p. 102), advierte que Marshall hizo el siguiente comentario en una de sus primeras obras, Economics of Industry, p. 154: “Pero aunque los hombres tienen el poder de comprar, pueden decidir no usarlo.” “Sin embargo —continúa el señor Hobson—, no parece haber captado la importancia crítica de este hecho y al parecer limita su acción a periodos de crisis.” A mi modo de ver, este comentario es acertado, a la luz de los trabajos posteriores de Marshall.

[12] El señor J. A. Hobson, después de citar el párrafo anterior de Mill, en su Phisiology of Industry (p. 102), advierte que Marshall hizo el siguiente comentario en una de sus primeras obras, Economics of Industry, p. 154: “Pero aunque los hombres tienen el poder de comprar, pueden decidir no usarlo.” “Sin embargo —continúa el señor Hobson—, no parece haber captado la importancia crítica de este hecho y al parecer limita su acción a periodos de crisis.” A mi modo de ver, este comentario es acertado, a la luz de los trabajos posteriores de Marshall.

[13] Cf. Alfred y Mary Marshall, Economics of Industry, p. 17: “No es conveniente para el comercio tener vestidos hechos con material que se acaba pronto; porque si la gente no gastara sus medios de compra en vestidos nuevos, los gastaría en dar empleo al trabajo de alguna otra manera.” El lector notará que todavía estoy haciendo citas de los primeros trabajos de Marshall. El Marshall de los Principios se había hecho lo bastante desconfiado para ser cauto y evasivo; pero las viejas ideas nunca fueron repudiadas o extirpadas de los supuestos 44 básicos de su pensamiento.

[14] Es una virtud del profesor Robbins la de ser casi el único que sigue defendiendo un esquema sólido de pensamiento, concordando recomendaciones prácticas con su sistema teórico.

[15] En el cap. 6 se dará una definición precisa del costo de uso

[16] Que no debe confundirse (vide infra) con el precio de oferta de una unidad de producto en el sentido acostumbrado de este término.

[17] El lector observará que resto el costo de uso tanto de la producción como del precio de oferta agregada de un volumen determinado de producción, en tal forma que ambos términos deben interpretarse como netos del costo de uso; en tanto que las sumas agregadas pagadas por los compradores incluyen, por supuesto, el costo de uso. Las razones para proceder así se darán en el cap. 6. Lo esencial es que el importe de la producción agregada y el precio de la oferta agregada, limpios del costo de uso, pueden definirse en una sola forma y sin ambigüedad; en tanto que, como el costo de uso depende evidentemente tanto del grado de integración de la industria como de la extensión de las compras que realizan los empresarios entre sí, no puede haber una definición de las sumas agregadas pagadas por los compradores, incluyendo el costo de uso, el cual es independiente de estos factores. Una dificultad semejante existe en la definición de precio de oferta en el sentido habitual, para un productor individual; y en el caso del precio de la oferta agregada de la producción en conjunto, se corre el riesgo de serias dificultades de duplicación, que no siempre se han tomado en cuenta. Si el término se interpreta incluyendo el costo de uso, los inconvenientes sólo pueden vencerse haciendo supuestos especiales con respecto a la integración de los empresarios en grupos, según que su producción sea de artículos de consumo o de capital, lo que es oscuro y complicado por sí mismo y no corresponde a los hechos. No obstante, si el precio de oferta agregada se define como antes, sin el costo de uso, estas dificultades no se presentan. Se aconseja al lector, sin embargo, que espere el estudio más completo en el cap. 6 y su apéndice.

[18] Un empresario que tiene que tomar una decisión práctica respecto a la escala de su producción, no sustentará, por supuesto, una sola previsión indudable acerca de cuál será el importe por la venta de una producción determinada, sino varias previsiones hipotéticas, consideradas según los diversos grados de probabilidad y exactitud. Por su expectativa de producción quiero decir, pues, aquella que, si fuese sostenida como cierta, provocaría la misma conducta que el conjunto de las posibilidades más variadas y vagas que forman su expectativa en el momento en que llega a tomar su resolución.

[19] En el cap. 20 se designará con el nombre de función del empleo a una que está íntimamente ligada con la anterior

[20] Definida en el cap. 10.

[21] Véase Pigou, Economics of Welfare, passim y particularmente en la primera parte, cap. III.

[22] Aunque, como transacción conveniente, el ingreso real que se considera constituye el dividendo nacional se suele limitar a las mercancías y servicios que pueden comprarse con dinero.

[23] En Economics of Welfare, Parte I, cap. V, sobre “Lo que significa mantener intacto el capital”; corregido por un artículo reciente en Economic Journal de junio de 1935, p. 225.

[24] Cf., críticas del profesor Hayek, Economica, agosto de 1935, p. 247.

[25] Si X representa cualquier cantidad medida en dinero, será a menudo conveniente escribir X3 para la misma cantidad medida en unidades de salario.

[26] Esta es la principal razón por la que el precio de oferta de la producción crece con la demanda ascendente, aun cuando haya todavía un sobrante de equipo de idéntica clase al que se emplea. Si suponemos que el excedente de oferta de mano de obra forma un depósito igualmente disponible para todos los empresarios y que la empleada para un fin particular se remunera, en parte al menos, por unidad de esfuerzo y no estrictamente con relación a su eficacia en el empleo específico real (que en la mayoría de los casos es la suposición realista que debe hacerse), la eficacia descendente del trabajo empleado es un ejemplo sobresaliente del alza del precio de oferta, cuando crece la producción, que no se debe a deseconomías internas.

[27] No puedo decir de qué modo se supone que la curva de oferta, en su forma acostumbrada, sale al encuentro de la anterior dificultad, ya que quienes usan esta curva no han aclarado bastante sus supuestos. Probablemente parten de la hipótesis de que el trabajo empleado para determinado fin siempre se paga estrictamente de acuerdo con su eficacia particular; pero esto es irreal. Quizá la razón para considerar la eficacia variable del trabajo como si procediera del equipo reside en el hecho de que en la práctica los sobrantes en aumento, que son consecuencia de la mayor producción, van a dar principalmente a los propietarios del equipo y no a los trabajadores más eficaces (aunque éstos pueden obtener la ventaja de ser empleados con mayor regularidad y de ser ascendidos más pronto): es decir, los hombres de diferente productividad que trabajan en el mismo empleo rara vez son pagados fielmente en proporción a su eficacia. Sin embargo, cuando se presenta el caso, y en la medida en que aparece, de que a mayor eficacia corresponda mayor pago, mi método lo toma en cuenta, desde el momento en que calcula el número de unidades empleadas ponderando a los trabajadores individuales según su retribución. Partiendo de mis supuestos, se presentan complicaciones interesantes, como es obvio, cuando se trata de curvas particulares de la oferta, ya que su forma dependerá de la demanda del trabajo disponible para otros fines. Pasar por alto estas complicaciones nos colocaría fuera de la realidad, como ya se ha dicho, pero no necesitamos tomarlas en cuenta cuando se trata del empleo en conjunto, ya que hemos supuesto que cierto volumen de demanda efectiva se distribuye de modo particular entre los diferentes productos exclusivamente asociados con ella. Podría suceder, sin embargo, que esto no fuera válido independientemente de los motivos particulares de cambios en la demanda. Por ejemplo, un aumento en la demanda efectiva debido a un fortalecimiento de la propensión a consumir podría ser neutralizado por una función de oferta agregada diferente de aquella que compensaría un aumento igual de la demanda debido a un mayor aliciente de invertir. Todo esto, por otra parte, pertenece al análisis detallado de las ideas generales aquí apuntadas, que no me propongo explicar ahora.

[28] Respecto al método para alcanzar un equivalente de estas previsiones, expresado en importe de las ventas, véase la nota 4 de la p. 51.

[29] Aquí diaria quiere decir el intervalo más breve después del cual la empresa se encuentra en libertad de revisar su decisión respecto al volumen del empleo que quiere ofrecer. Es, por así decir, la unidad efectiva mínima de tiempo económico.

[30] No es necesario que el nivel de ocupación a largo plazo sea constante, es decir, las condiciones para los periodos largos no son estáticas necesariamente. Por ejemplo, un aumento sostenido de la riqueza o de la población puede formar parte de una previsión.

*f. Francisco Zamora, Introducción a la dinámica económica, p. 98 n., F.C.E. (1962), en donde explica su preferencia por traducir input por la palabra inducto. [T.]

[31] Este énfasis en las expectativas que se hacen cuando se decide lo que se va a producir permite responder en mi opinión, al punto de vista de Hawtrey respecto a que el insumo y el empleo están influidos por la acumulación de existencias antes de que los precios hayan bajado o que el desaliento con respecto a la producción se refleje en una pérdida sufrida con relación a las expectativas, porque la acumulación de existencias no vendidas (o el descenso de los pedidos para el futuro) es precisamente un acontecimiento de los que más probabilidades tienen de hacer que el insumo difiera de lo que las simples estadísticas respecto a los productos de las ventas de la producción previa indicarían si se proyectaran estas cifras sobre el siguiente periodo sin revisión alguna.

[32] Ver, en el Apéndice a este capítulo, observaciones más amplias sobre el costo de uso.

[33] Distinto de su ingreso neto, que definiremos después.

[34] El precio de oferta es, a mi modo de ver, un término que no está definido por entero, mientras no se fije el concepto de costo de uso. El asunto se estudia más ampliamente en el apéndice a este capítulo, en el que sostengo que la exclusión del costo de uso del precio de oferta, aunque es algunas veces correcta para el caso del precio de la oferta agregada, no lo es cuando se trata de los problemas relativos al precio de oferta de una unidad de producción para una empresa individual.

[35] Por ejemplo, supongamos que Zs = φ (N), o, a la inversa, Z = S. φ (N) es la función de oferta agregada (en la que S es la unidad de salarios S. Zs = Z). Así, como los rendimientos del producto marginal son iguales al costo marginal de los factores para cada valor de la curva de la oferta agregada tenemos:

∆N = ∆As – ∆Us = ∆Zs = ∆φ (N),

 es decir, φ′ (N) = 1: a condición de que el costo de factores mantenga relación constante con el costo de salario y que la función de oferta agregada para cada firma (cuyo número se supone constante) sea independiente del número de hombres empleados en otras industrias, de manera que los términos de la ecuación anterior, válidos para todo empresario individual, pueden aplicarse a todos en conjunto. Esto quiere decir que, si los salarios son constantes y los demás factores del costo guardan relación fija con la nómina de salarios, la función de oferta agregada es lineal con una pendiente dada por la recíproca de los salarios monetarios. *Autoridad fiscal británica encargada de recaudar los impuestos interiores (exceptuando los aranceles). [T.] *Los funcionarios que determinan el monto de ingreso gravable. [T.]

[36] Economic Journal, junio, 1935, p. 235.

[37] “The Maintenance of Capital”, Economica, agosto, 1935, pp. 241 ss.

[38] Esta forma de presentarlo depende del supuesto conveniente de que la curva del costo primo marginal es continua en toda su longitud para los cambios en la producción. De hecho, este supuesto es a menudo irreal y puede haber uno o más puntos de discontinuidad, especialmente cuando alcanzamos la producción que corresponde a toda la capacidad técnica del equipo. En este caso, el análisis marginal fracasa parcialmente y el precio puede exceder al costo primo marginal cuando éste se considera en relación con una pequeña disminución de la producción. (También, puede presentarse con cierta frecuencia una discontinuidad hacia abajo, es decir, para un descenso de la producción por debajo de cierto nivel.) Esto es importante cuando consideramos el precio de oferta a corto plazo en el equilibrio a largo plazo, ya que en tal caso debe suponerse que se encuentra en acción cualquier falta de continuidad que pueda existir y que corresponda a un punto de capacidad técnica plena. Así, el precio de oferta a corto plazo en el equilibrio a largo plazo puede tener que exceder al costo primo marginal (considerado en términos de un pequeño descenso en la producción).

[39] Desde el momento en que el costo de uso depende parcialmente de las expectativas respecto al futuro nivel de los salarios, una reducción en la unidad de salario, que se espere sea de poca duración, hará que el costo de factores y el costo de uso se desplacen en proporciones diferentes, influyendo de este modo sobre el equipo que se use y, posiblemente, sobre el nivel de la demanda efectiva, ya que el costo de factores puede formar parte de la determinación de la demanda efectiva en forma diferente que el costo de uso.

[40] El costo de uso del equipo que se utiliza primero no es independiente, por necesidad, del volumen total de la producción (véase más adelante); esto es, el costo de uso puede ser afectado en toda su extensión cuando cambia el volumen total de la producción.

[41] Será mayor cuando se espere que pueda obtenerse un rendimiento superior al normal en alguna fecha futura, la cual, sin embargo, no se cree que dure lo suficiente para justificar (o dar tiempo suficiente para) la producción de nuevo equipo. El costo de uso presente es igual al máximo de los valores descontados de los rendimientos potenciales esperados en todas las fechas posibles del futuro.

[42] Hawtrey (Economica, mayo de 1934, p. 145) ha llamado la atención sobre el hecho de que el profesor Pigou identifica el precio de oferta con el costo marginal de la mano de obra, y sostiene que los razonamientos de éste se encuentran, por tanto, seriamente viciados.

[43] Mi método en dicha obra consistía en tomar las ganancias logradas en el presente como determinantes de las expectativas corrientes acerca de las mismas.

[44] Véase el artículo de Robertson “Saving and Hoarding” (Economic Journal, septiembre de 1933, p. 399) y la discusión entre Robertson, Hawtrey y yo (Economic Journal, diciembre de 1933, p. 658).

[45] Quarterly Journal of Economics, noviembre de 1932, p. 123.

[46] Loc. cit., p. 125.

[47] Cf. cap. 14.

[48] Puede mencionarse, de paso, que el efecto de la política fiscal sobre el aumento de riqueza ha sido motivo de importante confusión, que, sin embargo, no podemos examinar adecuadamente sin el auxilio de la teoría de la tasa de interés que se dará en el Libro IV.

[49] Cf. pp. 221-2.

[50] Las cifras reales se consideran tan poco importantes que se publican con dos años o más de atraso.

[51] En el año que terminó el 31 de marzo de 1930, las autoridades locales gastaron £ 87,000,000 en bienes de capital, de los cuales £ 37,000,000 fueron proporcionados por los fondos de amortización, etc., de los gastos previos del mismo género: en el año que finalizó el 31 de marzo de 1933, las cifras respectivas fueron £ 81,000,000 y £ 46,000,000.

[52] Op. cit., pp. 117 y 138

[53] Estas referencias están tomadas de un boletín (nº 52) del National Bureau of Economic Research, en el que se dan los resultados preliminares del libro en preparación del señor Kuznets.

[54] En algunos pasajes de esta sección hemos anticipado tácitamente ideas que serán presentadas en el Libro IV.

[55] Con mayor precisión, si ee y e′e son las elasticidades de ocupación para la industria en conjunto y para las industrias de inversión respectivamente y si N y N2 son el número de hombres empleados en toda la industria y en las industrias de inversión tendremos:

Sin embargo, si no hay razón para esperar alguna diferencia sustancial relativa a las características de las funciones de oferta agregada para la industria en conjunto y para las industrias de inversión respectivamente, de tal manera que

[56] Todas las cantidades en unidades de salarios.

[57] Aunque en el caso más generalizado también es función de las condiciones físicas de la producción en las industrias de inversión y en las de consumo, respectivamente.

[58] Cf., capítulo 21, p. 269.

[59] Cf., sin embargo, adelante, en la p. 119, un cálculo norteamericano.

[60] El monto de la inversión se ha medido por el número de hombres empleados en producirla. De este modo, si hay rendimientos decrecientes por unidad de empleo a medida que éste crece, lo que es el doble del monto de la inversión en la escala anterior será menos del doble en la escala física (si es que ésta puede usarse).

[61] Más generalmente, la relación entre el cambio proporcional en la demanda total al cambio proporcional en la inversión

a medida que la riqueza aumenta dC / dY disminuye, pero también C/ Y Así, la fracción se eleva o desciende según que el consumo suba o baje en proporción menor o mayor que el ingreso

 

[62] Es conveniente a menudo usar el término “gastos de préstamos” para incluir la inversión pública financiada por préstamos particulares y cualquier otro gasto público corriente que se financie por el mismo procedimiento. En sentido estricto, esto último debiera considerarse como ahorro negativo, pero la acción oficial de esta clase no está influida por el mismo grupo de motivos psicológicos que el que gobierna el ahorro privado. Así resulta que el término “gastos de préstamos” es una expresión conveniente para los préstamos netos de las autoridades públicas en todos sentidos, ya sea por concepto de capital o para hacer frente a un déficit presupuestal. Una de las formas de gastos de préstamos actúa en el sentido de aumentar la inversión y la otra elevando la propensión a consumir.

[63] En beneficio de la sencillez de las definiciones he omitido el hecho de que nos estamos ocupando de complejos de tasas de interés y descuento correspondientes a los diversos periodos que deben transcurrir antes de que se obtengan los varios rendimientos probables del activo. Pero no es difícil volver a enunciar el argumento de manera que abarque este punto.

[64] ¿Pero no estaba equivocado al suponer que la teoría de la productividad marginal de los salarios es igualmente circular?

[65] Op. cit., p. 168.

[66] Op. cit., p. 159

[67] Op. cit., p. 155

[68] Cf. el artículo del profesor Robertson, “Industrial Fluctuations and the Natural Rate of Interest”, Economic Journal, diciembre de 1934.

[69] No completamente, porque su valor refleja en parte la incertidumbre del futuro. Más todavía, la relación entre las tasas de interés para diferentes plazos depende de las expectativas

[70] Con “muy inciertos” no quiero decir lo mismo que con “muy improbables”. Cf. mi Treatise on Probability, cap. VI, sobre “La importancia de los argumentos”

[71] En mi Treatise on Money (vol. II, p. 195) advertí que cuando las acciones de una compañía se cotizan muy alto, de manera que puede obtener más capital emitiendo nuevas acciones en condiciones favorables, esto tiene el mismo efecto que si pudiera obtener préstamos a tasa reducida de interés. Ahora describiría este hecho diciendo que una cotización alta para los valores existentes supone un aumento en la eficiencia marginal de la clase correspondiente de capital y, por tanto, tiene el mismo efecto (desde el momento que la inversión depende de una comparación entre la eficiencia marginal del capital y la tasa de interés) que una baja en la tasa de interés.

[72] Esto no es aplicable, por supuesto, a los tipos de empresa que no pueden comercializarse fácilmente, o a los cuales no corresponde estrechamente algún valor negociable. Las clases que antes quedaban comprendidas en esta excepción eran numerosas; pero considerando la proporción que guardan con el valor total de las nuevas inversiones, están perdiendo importancia rápidamente.

[73] La práctica que generalmente consideran prudente los trust de inversión o las oficinas de seguros, de calcular con frecuencia, no sólo el ingreso de su cartera de inversión, sino también la valoración de su capital en el mercado, puede igualmente tender a enfocar demasiada atención sobre las fluctuaciones a corto plazo en el mismo.

[74] Se dice que cuando Wall Street está activo, lo menos la mitad de las compras o ventas de valores de inversión se realizan con la intención, por parte del especulador, de hacer la operación contraria el mismo día. Esto es frecuentemente aplicable también a las operaciones con mercancías en los mercados de artículos distintos a los valores.

[75] Sin alterar esta definición, podemos trazar la línea divisoria entre “dinero” y “deudas” en cualquier momento que sea conveniente para manejar un problema particular. Por ejemplo, podemos considerar dinero cualquier dominio sobre un poder general de compra del que el poseedor no se desprende por un periodo mayor de tres meses, y deudas lo que sólo puede recuperarse en periodos más largos; o podemos sustituir los “tres meses” por un mes o tres días o tres horas o cualquier otro periodo; o podemos excluir del dinero cualquier cosa que no sea moneda corriente a la vista. Es conveniente con frecuencia en la práctica incluir en el dinero los depósitos a plazo en los bancos y, algunas veces, aun instrumentos tales como (por ejemplo) certificados de tesorería. Por regla general supondré como en mi Treatise on Money, que el dinero es coextensivo a los depósitos bancarios.

[76] En los estudios generales, a diferencia de los problemas concretos en que el periodo de deuda se especifica expresamente, es conveniente que la tasa de interés signifique el complejo de las varias tasas corrientes para diferentes periodos, es decir, para deudas de diversos plazos.

[77] Éste es el mismo punto que estudié en mi Treatise on Money con el nombre de las dos opiniones y de la posición intermedia entre “alcistas” y “bajistas”.

[78] Podría suponerse, del mismo modo, que si un individuo creyera que el rendimiento probable de las inversiones sería inferior al previsto por el mercado, tendría razón suficiente para conservar dinero líquido; pero no es éste el caso. Tiene motivos suficientes para guardar efectivo o deudas de preferencia a valores de rendimiento variable; pero la compra de deudas será una alternativa preferible a la de guardar dinero en efectivo, a menos que también crea que la tasa futura de interés será mayor de la que el mercado supone.

[79] Véase en el apéndice a este capítulo un resumen de lo que he podido encontrar

[80] Cf. p. 167 para un examen más amplio de este pasaje.

[81] El estudio del profesor Carver sobre el interés es difícil de seguir 1) por su inconsistencia sobre lo que quiere decir por “productividad marginal del capital”, si cantidad de producto marginal o valor del producto marginal y 2) debido a que no intenta definir la cantidad de capital.

[82] En un estudio muy reciente de estos problemas (“Capital, Tune and the Interest Rate”, por el profesor F. H. Knight, Economica, agosto, 1932), que contiene muchas observaciones profundas e interesantes sobre la naturaleza del capital, y confirma la solidez de la tradición marshalliana sobre la inutilidad del análisis de Böhm Bawerk, la teoría del interés se expone precisamente según el molde clásico tradicional. El equilibrio, en el campo de la producción de capital, quiere decir, de acuerdo con el profesor Knight, “una tasa tal de interés que los ahorros fluyen al mercado precisamente al mismo ritmo o velocidad que hacia las inversiones, produciendo la misma tasa de rendimiento neto que la pagada por su uso a quienes ahorran”.

[83] Este diagrama me fue sugerido por el señor R. F. Harrod. Cf. también un esquema, en parte similar, por el señor D. H. Robertson. Economic Journal, diciembre, 1934, p. 652.

[84] Cf. capítulo 17.

[85] La tasa de interés “neutral” de los economistas contemporáneos difiere tanto de la “natural” de Böhm Bawerk como de la “natural” de Wicksell.

[86] Véase el Apéndice a este capítulo.

[87] Es de advertir que Marshall usa la palabra “capital”, no “dinero”, y la palabra existencia (stock) no “préstamos”; sin embargo, el interés es un pago por el préstamo de dinero, y “demanda de capital” en este contexto debería significar “demanda de préstamos de dinero con el objeto de comprar una existencia de bienes de capital”. Pero la igualdad entre la existencia de los bienes de capital que se ofrecen y el volumen de los que se demandan se hará efectiva por los precios de los bienes de capital, no por la tasa de interés. Lo que la tasa iguala efectivamente es la demanda y la oferta de préstamos de dinero, es decir, de deudas.

[88] Esto supone que el ingreso no es constante; pero no se ve claro por qué un alza en la tasa de interés provocará el “trabajo extra”. ¿Acaso se sugiere que un alza de la tasa de interés tiene que considerarse como una forma de aumento de los salarios reales, que inducirá a los factores de la producción a trabajar por un salario menor, debido a que hace mayores los atractivos del trabajo como medio de ahorrar? Esto es en lo que a mi modo de ver piensa Robertson en un contexto similar. Cierto que esto “no supondría gran cosa en breve plazo”; y un intento de explicar las fluctuaciones reales del volumen de la inversión por medio de este factor sería de lo menos adecuado; absurdo, en verdad. La forma en que yo escribiría de nuevo la segunda mitad de esta frase sería: “y si un aumento considerable en la demanda de capital en general, debido a una elevación en la curva de la eficiencia marginal del capital, no está contrarrestado por un alza en la tasa de interés, el trabajo extra y el mayor nivel de los ingresos, que seguirán como resultado del aumento de la producción de bienes de capital, conducirá a una mayor espera extra, que en términos monetarios será exactamente igual al valor del aumento corriente de bienes de capital y bastará, por tanto, precisamente, para satisfacerla”.

[89] ¿Por qué no por un alza en el precio de oferta de los bienes de capital? Supongamos, por ejemplo, que “el gran aumento en la demanda de capital en general”, se debe a una baja en la tasa de interés. Yo sugeriría que la fase debería volverse a escribir así: “por tanto, en la medida que el alza considerable en la demanda de bienes de capital no pueda ser atendida inmediatamente por un aumento en la provisión total, tendrá que contenerse por lo pronto con una elevación en el precio de oferta de los bienes de capital que baste para conservar la eficiencia marginal del capital en equilibrio con la tasa de interés, sin que haya ningún cambio sustancial en la escala de inversión; en tanto que (como de costumbre) los factores de la producción adaptados para producir bienes de capital serán usados para elaborar aquellos cuya eficiencia marginal sea mayor en las nuevas condiciones”.

[90] De hecho, no puede hablarse de tal cosa en absoluto. Sólo podemos referirnos propiamente a la tasa de interés del dinero que se ha prestado con el fin de adquirir inversiones de capital, nuevo o viejo (o para cualquier otro propósito).

[91] Aquí la expresión es ambigua respecto a si debemos deducir que el aplazamiento del consumo tiene necesariamente este efecto, o si sólo pone en libertad recursos que en ese caso, o quedan sin empleo o se usan para inversiones de acuerdo con las circunstancias.

[92] Nótese que no es el volumen de dinero que podría gastar pero no gasta en consumo quien recibe el ingreso; de manera que la recompensa de la espera no es el interés, sino la cuasi-renta. Esta frase parece significar que los recursos liberados se usan por fuerza. Porque ¿cuál es la recompensa de la espera si no se aprovechan?

[93] No se nos dice en este pasaje si los ahorros netos serían iguales o no al incremento del capital, en caso de no tomar en cuenta la inversión mal dirigida, aunque consideráramos las “acumulaciones temporales de los derechos no usados a servicios en forma de dinero bancario”. Pero en Industrial Fluctuations (p. 22) el profesor Pigou pone en claro que tales acumulaciones no tienen efecto sobre lo que él llama “ahorro efectivo”.

[94] Esta referencia (op. cit., pp. 129-134) contiene el punto de vista del profesor Pigou respecto al monto en que la creación de un nuevo crédito por los bancos aumenta la corriente de capital real disponible para los empresarios. En efecto, él intenta deducir “del crédito flotante entregado a los hombres de negocios por medio de creaciones de crédito, el capital flotante que se habría proporcionado por otros medios si los bancos no hubieran intervenido”. Después de haber hecho estas deducciones, el argumento es muy oscuro. Para empezar, los rentistas tienen un ingreso de 1,500 del cual consumen 500 y ahorran 1,000; el acto de creación de crédito reduce su ingreso a 1,300, del cual consumen 500 – x y ahorran 800 + x; y x, concluye el profesor Pigou, representa el aumento neto de capital que ha quedado disponible debido a la creación de crédito. ¿Se supone que el ingreso del empresario se infla con el monto que obtiene prestado de los bancos (después de hechas las deducciones anteriores)? ¿O se aumenta con la cantidad, es decir 200, en que se reduce el ingreso de los rentistas? En cualquier caso, ¿se supone que ahorran el total de esa cantidad? ¿Es el aumento de la inversión igual a la creación de crédito menos las deducciones? ¿O es igual a x? El argumento parece terminar justamente donde debería comenzar.

[95] The Theory of Money and Credit, p. 339 y otras varias, particularmente p. 363. [Hay traducción al español.]

[96] Si nos situamos en el equilibrio a largo plazo cabría establecer supuestos especiales que podrían justificar esto; pero cuando los precios en cuestión son los que prevalecen en las depresiones, la simplificación de suponer que el empresario creerá, al elaborar sus expectativas que estos precios son permanentes, seguramente será motivo de error. Más aún, si así lo hace, los precios de la provisión existente de bienes de producción bajarán en la misma medida que los de los bienes de consumo.

[97] Economic Reconstruction, p. 233.

[98] Cf. nota de Marshall sobre Böhm-Bawerk, Principles, p. 583.

[99] Cf. nota de Marshall sobre Böhm-Bawerk, Principles, p. 583

[100] Esta relación fue señalada por primera vez por el profesor Sraffa, en el Economic Journal de marzo de 1932, p. 50.

[101] Éste es un asunto que se examinará más detalladamente en el cap. 19.

[102] Si los salarios (y los contratos) se fijaran en términos de trigo, podría ser que éste adquiriera una parte de la prima de líquidez del dinero; volveremos sobre este asunto en el párrafo que sigue.

[103] Si los salarios (y los contratos) se fijaran en términos de trigo, podría ser que éste adquiriera una parte de la prima de líquidez del dinero; volveremos sobre este asunto en el párrafo que sigue.

[104] Véase pp. 155-6.

[105] Una elasticidad de cero es condición más estricta de la que necesariamente se requiere.

[106] Cf. la nota al pie de la p. 135.

[107] El atributo de “liquidez” no es, en manera alguna, independiente de estas dos características; porque es improbable que un bien, cuya oferta puede ser fácilmente aumentada o el deseo del mismo desviado sin dificultad por un cambio en el precio relativo, posea ese atributo en la mente de los poseedores de riqueza. El dinero mismo lo pierde rápidamente si se espera que su oferta futura sufra cambios violentos.

[108] Es evidente que una hipoteca y su interés se fijan en términos monetarios; pero el hecho de que quien hipoteca tiene opción a entregar la tierra misma en descargo de su deuda —y debe hacerlo así si no puede encontrar el dinero oportunamente— ha hecho que el sistema de hipotecas se aproxime a un contrato de tierra para entrega futura contra tierra para entrega actual. Ha habido ventas de tierras a los arrendatarios contra hipotecas efectuadas por ellos, que, de hecho, se aproximaron muchos a las operaciones de este carácter.

[109] Esta definición no corresponde a ninguna de las varias del dinero neutral presentadas por escritores recientes; aunque puede, tal vez, tener alguna relación con el objetivo que éstos perseguían.

[110] Cf. cap. 20.

[111] Pasamos por alto en este momento ciertas complicaciones que surgen cuando las funciones de ocupación de los diferentes productos tienen curvaturas desiguales dentro del nivel de ocupación de que se trate. Véase el cap. 20.

[112] Definida en el cap. 20.

[113] Los efectos de los cambios en la unidad de salario serán considerados con detalle en el cap. 19.

[114] En el apéndice a este capítulo se critica en detalle la Theory of Unemployment del profesor Pigou

[115] El origen de la práctica errónea de igualar el costo marginal del salario con el costo primo marginal puede, quizá, encontrarse en una ambigüedad en el significado de costo marginal del salario. Podríamos querer decir con esto el costo de una unidad más de producción cuando no se presenta ningún otro costo adicional, excepto el de los salarios; o bien el costo adicional en salarios que exige el aumento de una nueva unidad de producción de la manera más económica, con la ayuda del equipo existente y de otros factores no empleados. En el primer caso no podemos combinar con la mano de obra adicional la más pequeña intervención del empresario, o del capital de operación o de cualquier cosa diferente del trabajo que se añadiera al costo; y no podemos siquiera permitir a esa mano de obra que desgaste el equipo más de prisa de lo que lo hubiera desgastado la menor fuerza de trabajo. Desde el momento que en el primer caso hemos impedido a cualquier elemento de costo distinto del trabajo entrar a formar parte del costo primo marginal, se deduce, por supuesto, que el costo marginal del salario y el costo primo marginal son iguales. Pero los resultados de un análisis llevado conforme a estas premisas casi no tienen aplicación, ya que el supuesto sobre el cual está basado rara vez se realiza en la práctica; porque no somos tan torpes en la realidad para negarnos a asociar con el trabajo adicional cantidades correspondientes de otros factores, en la medida que podamos disponer de ellos, y la hipótesis sólo se aplicará, por tanto, si suponemos que todos los factores distintos al trabajo, se están ya empleando a su máxima capacidad.

[116] Op. cit., f p. 252.

[117] No hay insinuación o sugestión alguna de que esto sobrevenga a través de las reacciones sobre la tasa de interés.

[118] Quienes (con razón) no sean partidarios del álgebra, perderán muy poco omitiendo la primera sección de este capítulo.

[119] Porque si psr es el precio previsto de una unidad de producción medido en unidades de salarios,

[120] Porque, ya que Dsr = psr Or, tendremos

[121] Porque, desde el momento que p = pS S y D = DS S, tendremos

[122] Esto no es idéntico a la definición usual, pero me parece que contiene la idea principal.

[123] En mi Treatise on Money, Libro IV, puede encontrarse un estudio más amplio sobre el tema anterior.

[124] Cf., capítulo 17.

[125] Cf., el dicho del siglo XIX, citado por Bagehot, de que “John Bull puede tolerar muchas cosas, pero no el 2 por ciento”.

[126] Con frecuencia es conveniente, en los contextos donde no caben malas interpretaciones, escribir “la eficiencia marginal del capital”, cuando quiere decirse “la curva de la eficiencia marginal del capital”.

[127] He mostrado antes (capítulo 8) que, aunque el inversionista privado rara vez es responsable directamente de las nuevas inversiones, sin embargo, los empresarios, que sí lo son, encontrarán financieramente ventajoso y con frecuencia inevitable, dejarse atrapar por las ideas del mercado, aunque individualmente estén mejor informados.

[128] Una parte de la argumentación de mi Treatise on Money, Libro IV, gira alrededor de este asunto.

[129] Sin embargo, en ciertos supuestos relativos a cómo se reparte la propensión a consumir en el tiempo, las inversiones que dan un rendimiento negativo podrían ser ventajosas en el sentido de que, para la comunidad en conjunto, llevarían la satisfacción al máximo.

[130] Para algunos argumentos que pueden presentarse del otro lado, véase adelante (pp. 290-1); porque si no nos deja hacer grandes cambios en nuestros métodos presentes, estaría de acuerdo en que la elevación de la tasa de interés durante un auge podría ser, circunstancias concebibles, el mal memor.

[131] Véase su Industry and Trade, apéndice D; Money, Credit and Commerce, p. 130; y Principles of Economics, apéndice I.

[132] Su punto de vista sobre ellos está bien resumido en una nota a la primera edición de sus Principles, p. 51: “Mucha atención se ha concedido, tanto en Inglaterra como en Alemania, a las opiniones medievales respecto a la relación del dinero con la riqueza nacional. En general deben considerarse confusas por falta de una idea clara de las funciones del dinero, más bien que equivocadas a consecuencia de un supuesto deliberado de que el crecimiento de la riqueza neta de una nación puede lograrse únicamente por un aumento de la provisión de metales preciosos en la misma.”

[133] The Nation and the Athenaeum, 24 de noviembre, 1923.

[134] El remedio de la unidad de salarios elástica, de manera que una depresión se contrarreste por la baja de los salarios, puede, por la misma razón, ser un recurso para beneficiarnos a costa de nuestros vecinos.

[135] La experiencia, desde los tiempos de Solón al menos, y probablemente, si tuviéramos las estadísticas, desde muchas centurias antes de él, indican lo que el conocimiento de la naturaleza humana nos conduciría a esperar, o sea, que hay una tendencia sostenida de la unidad de salarios al alza, a través de periodos largos, que solamente puede ser reducida en pleno decaimiento y disolución de la sociedad económica. Así, aparte completamente del progreso y el aumento de la población, se ha demostrado lo imperativo de un aumento gradual de la existencia de dinero.

Edición en español del Fondo de Cultura Económica. Trad. de Wenceslao Roces. México, 1943.

[136] Edición en español del Fondo de Cultura Económica. Trad. de Wenceslao Roces. México, 1943.

[137] Heckscher, Mercatilism, vol. II, pp. 200-1 (ligeramente abreviado).

[138] Some considerations of the Consequences of the Lowering of Interest and Raising the Value of Money, 1692, pero escrito algunos años antes

[139] Él añade: “no solamente de la cantidad de dinero, sino de su velocidad de circulación”.

[140] Siendo el término “uso”, por supuesto, la vieja forma inglesa para denominar el “interés”.

[141] Poco después, Hume tenía pie y medio en el mundo clásico porque inició entre los economistas la práctica de poner énfasis en la importancia de la posición de equilibrio comparada con la siempre cambiante transición hacia él, aunque todavía tenía lo bastante de mercantilista para no descuidar el hecho de que nuestra existencia real se encuentra en la transición: “Solamente en este intervalo o situación intermedia entre la adquisición de dinero y un alza de precios es favorable a la industria el aumento en la cantidad de oro y plata… No tiene la menor importancia que el dinero exista en mayor o menor cantidad, con relación a la felicidad de un estado. La buena política del magistrado consiste solamente en conservarlo, si es posible, todavía en aumento; por ese medio mantiene vivo el espíritu industrial en la nación y eleva la situación del trabajo, en la que consiste todo poder y riqueza real. Una nación cuyo dinero disminuye, es realmente, en ese momento, más débil y miserable que otra nación que no posea más dinero pero que esté en vías de aumentarlo.” (Ensayo On Money, 1752.)

[142] Ilustra la forma consumada en que desparecido el punto de vista mercantilista de que el interés significa interés sobre el dinero (el punto de vista que es, como ahora me parece, indudablemente correcto), que el profesor Heckscher, como buen economista clásico, resume su descripción de la teoría de Locke en el comentario de que “su argumentación sería irreprochable, en efecto, si el interés constituyese el precio del dinero prestado”; como no es así, esto es totalmente irrelevante. (Op. cit., vol. II, p. 204).

[143] Heckscher, op. cit., vol. II, pp. 210-1.

[144] Heckscher, op. cit., vol. II, p. 228

[145] Heckscher, op. cit., vol. II, p. 235

[146] Heckscher, op. cit., vol. II, p. 122.

[147] Heckscher, op. cit., vol. II, p. 223.

[148] Heckscher, op. cit., vol. II, p. 178.

[149] “En el interior de la nación es indudable que el mercantilismo perseguía fines dinámicos. Pero esta concepción se enlazaba con una idea estática en cuanto a la economía mundial vista en conjunto, lo cual creaba aquella desarmonía fundamental que servía de fermento para las interminables guerras comerciales… Esta fue la tragedia del mercantilismo. Tanto la Edad Media con su ideal estático universal, como el laissez-faire con su ideal dinámico universal, evitan esta consecuencia. (Heckscher, vol. II, pp. 25, 26.)

[150] La sólida apreciación de esta verdad por la Oficina Internacional del Trabajo, primero bajo la dirección de Albert Thomas y luego bajo la del señor H. B. Butler, se ha destacado en forma conspicua entre las declaraciones de numerosas sociedades internacionales de la posguerra.

[151] Heckscher, op. cit., vol. II, pp. 176-7.

[152] Op. cit., vol. II, p. 335.

[153] En su Letter to Adam Smith anexa a su Defense of Usury. [Hay traducción al español.]

[154] Riqueza de las Naciones, Libro II, cap. 4.

[155] Habiendo empezado a citar a Bentham en relación con esto, debo recordar al lector su mejor pasaje: “La carrera del arte, la gran senda que recibe los pasos de los empresarios, puede considerarse como una vasta, y quizá ilimitada, llanura plagada de fauces semejantes a aquellas en que fue engullido Curtis. Cada una reclama que una víctima humana caiga en ella antes de cerrarse, pero cuando se cierra, lo hace para no volverse a abrir más, y de este modo, gran parte del camino es seguro para los que siguen.”

[156] Nacido cerca de la frontera de Luxemburgo, de padre alemán y madre francesa.

[157] Gesell difería de George en recomendar el pago de la compensación cuando se nacionaliza la tierra.

[158] The Natural Economic Order, pp. 297 ss.

[159] Heckscher, op. cit., vol. II, p. 208.

[160] Op. cit., vol. II, p. 290.

[161] Op. cit., vol. II, p. 291.

[162] Op. cit., vol. II, p. 209.

[163] En su History of English Thought in the Eighteenth Century, Stephen escribió (p. 297) al hablar del “sofisma hecho célebre por Mandeville”, que “la completa refutación del mismo está en la doctrina —tan raramente entendida que su completa comprensión es, quizá, la mejor prueba para un economista— de que la demanda de bienes no es demanda de trabajo”. * Traducción de Alfonso Reyes.

[164] Compárese con Adam Smith, el precursor de la escuela clásica, quien escribió: “Lo que es prudencia en la conducta de toda familia privada, escasamente puede ser insensatez en la de un gran Reino”; probablemente refiriéndose al anterior pasaje de Mandeville

[165] Essay in Biography, pp. 139-47

[166] Una carta de Malthus a Ricardo, fechada el 7 de julio de 1821.

[167] Una carta de Malthus a Ricardo, fechada el 16 de julio de 1821.

[168] Prefacio a los Principles of Political Economy de Malthus, pp. 8, 9.

[169] Principles of Political Economy de Malthus, nota al pie de la p. 363.

[170] Principios de Economía Política de J. S. Mill, libro I, cap. V. Hay una discusión más importante y penetrante de este aspecto de la teoría de Mill en la Physiology of Industry de Mummery y Hobson, pp. 38 et seq., y particularmente de su doctrina (que Marshall, en su muy insatisfactoria discusión de la Teoría del Fondo de Salarios trató de explicar) de que “una demanda de bienes no es una demanda de trabajo”.

[171] “The Victorians and Investmen”, Economic History, 1936.

[172] El folleto de Fullarton, On the Regulation of Currency (1844), es la más interesante de sus referencias.

[173] The Fallacy of Saving, de J. M. Robertson, publicado en 1892, apoyó la herejía de Mummery y Hobson; pero no es un libro de gran valor o importancia, careciendo por completo de las penetrantes intuiciones de The Physiology of Industry.

[174] En una conferencia denominada Confessions of an Economic Heretic, sustentada en la Sociedad Ética de Londres, en Conway Hall, el domingo 14 de julio de 1935. Hago la reproducción aquí con permiso del señor Hobson.

[175] Hobson escribió irreverentemente en The Physiology of Industry, p. 26: “La parsimonia es la fuente de la riqueza nacional y cuanto más frugal es una nación más rica se vuelve. Esto es lo que comúnmente enseñan casi todos los economistas; muchos de ellos asumen un tono de dignidad ética al defender el infinito valor de la frugalidad; ésta es la única nota de todos sus cánticos que ha cautivado el favor del oído público.”

[176] Hobson y Mummery, Physiology of Industry, pp. III-V.

[177] Hobson y Mummery, Physiology of Industry, pp. VI

[178] Op. cit., p. IX.

[179] Op. cit., p. 27.

[180] Op. cit., pp. 50, 51.

[181] Op. cit., p. 69.

[182] Op. cit., p. 113.

[183] Op. cit., p. 100.

[184] Op. cit., p. 101.

[185] Op. cit., p. 79.

[186] Op. cit., p. 117

[187] Op. cit., p. 130.

[188] Hobson y Mummery, Physiology of Industry, p. 131.

[189] Publicados en el Bulletin 52 del National Bureau of Economic Research, Nueva York, 15 de noviembre de 1934.

[190] Véase también op. cit., pp. 62-63, donde debí aclarar mejor que lo más conveniente es considerar la compra de una casa como un acto empresarial.

[191] Se incluyó (incongruentemente) en las cifras de formación bruta de capital que se dan en mi Teoría general, pp. 98-99.

[192] Measures of Capital Consumption (1919-33)”, National Bureau of Economic Research, Bulletin 60.

[193] Los detalles de la compilación de Kuznets se dan en la nota al final del apéndice.

[194] Cf. también su artículo “Real Wages in the Unites States and Great Britain”, publicado en The Canadian Journal of Economics, agosto de 1938.

[195] Cf., no obstante, la referencia que se hace en la p. 399 [del original de Keynes] a Industrial Fluctuations, del profesor Pigou.

[196] Véase, sin embargo, el post-scriptum a la nota de Tarshis a la que hago referencia más adelante.

[197] En su Essays in the Theory of Economic Fluctuations, al que tendré oportunidad de referirme posteriormente, Kalecki se ocupa de la relación entre los salarios reales y la producción, en el ensayo “The distribution of the National Income”, pero es el otro problema el que constituye su principal interés en el ensayo intitulado “Money and Real Wages”.

[198] Acostumbrábamos considerar que las aportaciones de Marshall a las investigaciones oficiales de 1886 a 1903 constituían, junto con los Principios, su obra más importante y valiosa. Al releer hoy en día su obra Official Papers, me confirmo en esa idea; sin embargo, Official Papers, publicada por la Real Sociedad Económica en 1926 (que todavía pueden obtener los socios por 5 chelines), tiene una circulación muy limitada en comparación con cualquier otra de sus obras.

[199] Con la siguiente anotación de Foxwell: “Marshall, una carta muy característica sobre el problema de los precios en aumento y en disminución, entre otros asuntos”.

[200] Official Papers, pp. 284-288

[201] Compilé este cuadro, como una comprobación, independientemente del cuadro de Dunlop, loc. cit., p. 419, pero sólo sirve para confirmar su versión, que es más exacta. Según él, eliminada la tendencia, los salarios reales disminuyeron el 3% en la recuperación que culminó en 1883 o 1884 y aumentaron el 2.75% en la depresión de 1884 a 1886.

[202] Passim; véase particularmente las pp. 178 y 182. Kahn fue el primero que abordó la relación entre la tasa general de los precios y los salarios de la misma manera en que siempre se había tratado la de los precios de un bien en particular, es decir, como un problema de demanda y oferta en el corto plazo, más que como un resultado que deba derivarse de factores monetarios.

[203] Más adelante se trata de las condiciones requeridas en caso de que el sistema no sea cerrado

[204] Particularmente el capítulo 2, que es la parte de mi libro que más necesita ser revisada.

[205] Para ampliar el útil resumen de Dunlop al final de su artículo (loc. cit., pp. 431-433).

[206] [En el caso de EE.UU., probablemente como resultado del “Nuevo trato” (New Deal).] El caso de Francia se explicó como una consecuencia de la semana de 40 horas.

[207] Es posible que Meade haya tenido más éxito que Dunlop al utilizar los salarios por hora y que eso explique algunas discrepancias entre las conclusiones de esos autores.

[208] The Determinants of Distribution of the National Income”, Econometrica, abril de 1938, p. 102, reimpreso ahora en su Essays in the Theory of Economic Fluctuations.

[209] Cf. Dunlop, loc. cit., p. 417.

[210] Loc. cit.

[211] Las cifras británicas están basadas en National Income Outlay, de Colin Clark, y las cifras de Estados Unidos, en The National Income and its Purchasing Power, 1909-1928, de King, y National Income and Capital Formation, 1919-1935, de Kuznets, pero en ambos casos he utilizado versiones ligeramente ajustadas de las cifras preparadas por Kalecki y presentadas en su Essays in the Theory of Economic Fluctuations, pp. 16 y 17.

[212] Excluidos los empleados de ventas de las tiendas.

[213] Incluidos los empleados de ventas de las tiendas.

[214] Bowley dio una cifra del 41.4 para la Gran Bretaña en 1880. El Dr. Kalecki me dice que, si dicha cifra se ajustara para que fuera comparable con las cifras que se presentan en los cuadros anteriores, sería de aproximadamente 42.7, lo que mostraría una estabilidad extraordinaria de la proporción durante un periodo de por lo menos 55 años, durante el cual casi todo lo demás cambió en forma impresionante.

[215] “The Determinants of Distribution of National Income”, abril de 1938, reimpreso ahora en el libro mencionado antes.

[216] La conclusión del dr. Kalecki está en concordancia con el argumento del prof. Pigou en su Industrial Fluctuations, libro I, cap. XVIII, en donde se dan razones para esperar un mayor grado de imperfección de la competencia durante las depresiones.